Диссертация (1105795), страница 26
Текст из файла (страница 26)
50%
40%
30%
20%
10%
0%
2004 2005 2006 2007 2008 2009 2010 2011 2012
1-й ребѐнок 2-й ребѐнок 3-й ребѐнок 4-й ребѐнок 5-й ребѐнок
Рисунок 2.9.26. Самарская область
90%
80%
70%
60%
50%
40%
30%
20%
10%
0%
2004 2005 2006 2007 2008 2009 2010 2011 2012
1-й ребѐнок 2-й ребѐнок 3-й ребѐнок 4-й ребѐнок 5-й ребѐнок
Рисунок 2.9.30. Удмуртская Республика
100% 90%
80%
70%
60%
50%
40%
30%
20%
10%
0%
2004 2005 2006 2007 2008 2009 2010 2011 2012
1-й ребѐнок 2-й ребѐнок 3-й ребѐнок 4-й ребѐнок 5-й ребѐнок
Рисунок 2.9.27. Санкт-Петербург
100%
90%
80%
70%
60%
50%
40%
30%
20%
10%
0%
2004 2005 2006 2007 2008 2009 2010 2011 2012
1-й ребѐнок 2-й ребѐнок 3-й ребѐнок 4-й ребѐнок 5-й ребѐнок
Рисунок 2.9.31. Челябинская область
100% 90%
80%
70%
60%
50%
40%
30%
20%
10%
0%
2004 2005 2006 2007 2008 2009 2010 2011 2012
1-й ребѐнок 2-й ребѐнок 3-й ребѐнок 4-й ребѐнок 5-й ребѐнок
Рисунок 2.9.28. Томская область
90%
80%
70%
60%
50%
40%
30%
20%
10%
0%
2004 2005 2006 2007 2008 2009 2010 2011 2012
1-й ребѐнок 2-й ребѐнок 3-й ребѐнок 4-й ребѐнок 5-й ребѐнок
Рисунок 2.9.32. Ярославская область
100% 90%
80%
70%
60%
50%
40%
30%
20%
10%
0%
2004 2005 2006 2007 2008 2009 2010 2011 2012
1-й ребѐнок 2-й ребѐнок 3-й ребѐнок 4-й ребѐнок 5-й ребѐнок
Источник: рассчитано автором по данным Федеральной службы государственной статистики.
Приложение 3.1
Практика выплаты регионального материнского (семейного) капитала в некоторых регионах России
Приложение 3.1. Продолжение.
Приложение 3.1. Продолжение.
Приложение 3.1. Продолжение.
Приложение 3.1. Продолжение.
Приложение 3.1. Продолжение.
Приложение 3.1. Продолжение.
Приложение 3.1. Продолжение.
Приложение 3.1. Продолжение.
Источник: Составлено автором.
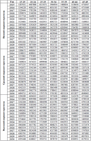
Прогноз Федеральной службы государственной статистики: численность женщин репродуктивного возраста (15-49 лет), Россия, 2015-2030 гг., пятилетние возрастные группы
Источник: Демографический прогноз Федеральной службы государственной статистики. Режим доступа: http://www.gks.ru/free_doc/new_site/population/demo/progn3a.xls, (дата обращения 10.09.2014)
Прогноз Федеральной службы государственной статистики: суммарный коэффициент рождаемости по субъектам Российской Федерации, всѐ население, 2013-2030 гг.
Приложение 3.3.1
Средний вариант прогноза
Источник: Данные Федеральной службы государственной статистики. Предположительная численность населения Российской Федерации до 2030 года - обновлено 07.06.2013г. Режим доступа: http://www.gks.ru/free_doc/doc_2013/bul_dr/progn_12.rar (дата обращения - 05.07.2014)
Приложение 3.3.2
Высокий вариант прогноза
Источник: Предположительная численность населения Российской Федерации до 2030 года - обновлено 07.06.2013 г. Режим доступа: http://www.gks.ru/free_doc/doc_2013/bul_dr/progn_12.rar (дата обращения - 05.07.2014)
















