продолжение приложения В (1094756)
Текст из файла
Д
ипломник: студент Бикташев Олег Фаритович 10-УИ-к-С-9 уч. группы
Руководитель: кандидат технических наук, Смирнов Валерий Евгеньевич
Тема: Программное средство исследования динамики движения автомобиля
Цель: Разработать программное средство для исследования динамики движения автомобиля
Задачи дипломного проектирования:
-
анализ влияния параметров автомобиля на динамику бокового и продольного движения;
-
разработка аналитической модели динамики бокового и продольного движения;
-
разработка структуры программы;
-
разработка алгоритмов модулей;
-
интерфейса пользователя;
-
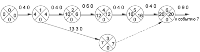
разработка сетевого графика выполнения работ и оценка экономической эффективности;
-
анализ условий труда специалиста и разработка мероприятий по обеспечению безопасных условий труда
| Наименование показателей | Единица измерения | Варианты | Проектный вариант к базовому в % | |
| Базовый | Проектный | |||
| 1. Трудоемкость разработки | чел.дни | 90 | ||
| 2.Продолжительность разработки | кал.дни | 294 | ||
| 3. Затраты на разработку | руб. | 85220 | ||
| 4. Стоимость | руб. | 32452 | ||
| 5. Количество работников | кол.чел. | 3 | 2 | 70 |
| 6.Дополнительные капитальные вложения | руб. | - | ||
| 7. Годовые текущие затраты | руб. | 311527 | 212524 | 30 |
| 8. Годовая экономия текущих затрат | руб. | 565207 | ||
| 9.Годовой экономический эффект | руб. | 567207 | ||
Характеристики
Тип файла документ
Документы такого типа открываются такими программами, как Microsoft Office Word на компьютерах Windows, Apple Pages на компьютерах Mac, Open Office - бесплатная альтернатива на различных платформах, в том числе Linux. Наиболее простым и современным решением будут Google документы, так как открываются онлайн без скачивания прямо в браузере на любой платформе. Существуют российские качественные аналоги, например от Яндекса.
Будьте внимательны на мобильных устройствах, так как там используются упрощённый функционал даже в официальном приложении от Microsoft, поэтому для просмотра скачивайте PDF-версию. А если нужно редактировать файл, то используйте оригинальный файл.
Файлы такого типа обычно разбиты на страницы, а текст может быть форматированным (жирный, курсив, выбор шрифта, таблицы и т.п.), а также в него можно добавлять изображения. Формат идеально подходит для рефератов, докладов и РПЗ курсовых проектов, которые необходимо распечатать. Кстати перед печатью также сохраняйте файл в PDF, так как принтер может начудить со шрифтами.















