Бухгалтерский учет в кредитных организациях (методические указания) (1094370), страница 3
Текст из файла (страница 3)
Очень часто договоры сопровождаются дополнительными соглашениями, которые уточняют и дополняют их содержание.
Кредитный договор
Договор на предоставление банком кредитов различным категориям заемщиков на условиях возвратности, срочности и платности (проценты за кредит).
Не менее важными, чем сам кредитный договор, являются приложения к нему:
-
обеспечение: договор залога, договор гарантии (поручительства), страховой полис;
-
технико-экономическое обоснование использования кредита – смета затрат и получение дохода от взятого кредита, планы размещения объектов, счета и т.д.;
-
договор пролонгации кредита в случае задержки заемщиком платежей по полученному кредиту (сам кредит и проценты по нему).
Договор на расчетно-кассовое обслуживание (договор банковского счета)
Предмет договора
Открытие расчетных и текущих счетов клиентам, а также корреспондентских счетов банкам и осуществление их расчетно-кассового обслуживания.
Рассмотрим договор на расчетно-кассовое обслуживание клиентов-организаций как наиболее часто встречающийся в банковской практике.
Обязанности сторон
Банк обязуется вести все расчеты по счету клиента (выполнение поручений клиента о перечислении денежных сумм; прием расчетных документов, предназначенных клиенту; выдача клиенту выписок о состоянии его лицевого счета). Банк обязуется выполнять также кассовое обслуживание клиента (выдача клиенту наличных денег на выплату заработной платы или другие цели, прием от клиента наличных денег в качестве выручки или в качестве других взносов). Банк может также выполнить для клиента различные дополнительные услуги: услуги овердрафта – краткосрочный льготный кредит в случае недостатка средств на расчетном счете клиента; почтовые и телеграфные услуги по безналичным платежам клиента; оказание юридических услуг; услуг по эксплуатации программы «клиент-банк»; различных консультаций, связанных с использованием средств клиента.
Клиент обязан оплачивать услуги банка по своему расчетному и кассовому обслуживанию по утвержденным в банке тарифам. Клиент обязан отвечать за подлинность документов, предоставленных в банк, как расчетных, так и юридических.
Клиент обязан осуществлять платежи в пределах остатка на его расчетном счете. При желании закрыть расчетный счет в банке, он должен предупредить об этом банк заблаговременно (не менее, чем за один месяц до момента закрытия счета).
В случае изменения своего правового статуса, изменения в уставе и т.д. клиент обязан предоставить в банк необходимые юридические документы, подтверждающие это. Клиент обязан также не реже одного раза в квартал предоставлять в банк свой баланс, а также кассовый план.
Стоимость услуг и порядок расчетов (приложение к договору)
Банк берет с клиента плату за открытие ему расчетного или текущего счета по действующим тарифам. Эта плата вносится в кассу или перечисляется платежным поручением. Клиент обязан вносить плату за банковское обслуживание своих безналичных расчетов. Она может быть установлена в процентах от дебетового оборота по счету клиента за определенный срок (например, за месяц), от количества операций, прошедших по счету клиента (например, за месяц), твердый месячный тариф, определенная плата за одну операцию и т.д. по усмотрению банка.
Кассовое обслуживание оплачивается клиентом в процентах от суммы, которая берется им из кассы банка. При этом на заработную плату действует минимальный процент, на остальные цели – более высокий. Кроме того, за деньги, выдаваемые клиенту сверх кассового плана, предусмотрен повышенный процент, который берется за срочность взятия денег из кассы банка.
Стоимость дополнительных услуг банка указывается либо в том же приложении наряду с прочими тарифами, либо в приложении к отдельному договору на конкретные дополнительные услуги.
В целях стимулирования больших остатков на счетах клиентов банк может выплачивать им проценты, например, ежемесячно при наличии на их счетах, например, сумм, больших или равных миллиону рублей.
Кроме того, при невыполнении или при неправильном исполнении своих обязательств банк несет ответственность перед своими клиентами. Например, при просрочке отправления платежных документов по назначению, просрочке зачисления и списании средств по счету клиента, банк, обычно, платит в пользу клиента штраф в размере 0,1 % от суммы, указанной в платежном документе, за каждый день просрочки.
Клиент также платит в пользу банка штраф за предоставление заранее неверной информации, по своему счету, например, при предоставлении поддельных юридических или платежных документов.
Депозитный договор (договор о банковском вкладе)
Предмет договора
Вкладчик помещает в банк свои деньги в виде вклада, на который банк начисляет денежный доход в виде процентов.
Права и обязанности сторон
Вкладчик имеет право получить назад свой вклад вместе с начисленными процентами в виде наличных денег или безналичным путем (для физических лиц, а для юридических лиц – только безналичным путем), доверить распоряжаться своим вкладом другому лицу. Банки, как привило, имеют право изменять размер процентной ставки в случае изменения конъюнктуры рынка, а также при изменении ставки рефинансирования Банка России, что, обычно, указывается в условиях депозитного договора. Существует два вида договора о банковском вкладе: срочный и до востребования. Второй вид является более рисковым для банка и по нему выплачивается меньшая процентная ставка, чем по срочному вкладу. Кроме того, могут быть вклады с капитализацией процентов (т.е. с присоединением суммы процентов к самому вкладу) и без капитализации процентов.
Договоры о сотрудничестве
Заключаются либо с другими банками, либо с другими фирмами. Направлены на осуществление взаимовыгодных услуг: оказание взаимовыгодных консультаций, маркетинговых услуг, инкассаторских услуг, юридических услуг, услуг по эксплуатации вычислительной техники и программных продуктов и т.д.
Расчет процентов по операциям банка по привлечению и размещению средств
Расчет процентов в банке по кредитным, депозитным и расчетным операциям производится исходя из условий соответствующего договора. При этом банк руководствуется Положением № 39 – П от 26.06.28 «О порядке начисления процентов по операциям, связанным с привлечением и размещением денежных средств банками, и отражение указанных операций по счетам бухгалтерского учета». Уплата (получение) процентов по привлеченным и размещенным денежным средствам осуществляется юридическими лицами только в безналичном порядке, а физическими лицами – как в безналичном порядке, так и наличными деньгами.
Расчет процентов осуществляется в днях. За базу принимается число дней в году (365 или 366). При расчете процентов учитывается фактическое число календарных дней в месяце.
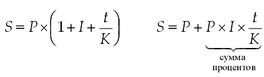
Формула расчета простых процентов выглядит следующим образом:
где S - сумма денежных средств, причитающихся к возврату (получению), равная первоначальной сумме привлеченных (размещенных) средств плюс начисленные проценты;
Р - первоначальная сумма привлеченных (размещенных) денежных средств по договору;
I - годовая процентная ставка;
Т - количество дней начисления процентов по привлеченным (размещенным) денежным средствам;
К - количество дней в календарном году.
Формула расчета сложных процентов используется для расчета процентов при условии их капитализации:
где j - количество календарных дней в периоде, по итогам которого производится капитализация начисленных процентов;
п - количество операций по капитализации начисленных процентов в течение общего срока привлечения (размещения) денежных средств.
При неуплате заемщиком процентов за кредит в установленный в договоре срок просроченная задолженность в конце рабочего дня, являющегося днем погашения процентов, должна быть перенесена банком на счета учета просроченных процентов. В дальнейшем банк должен организовать учет просроченных процентов и на внебалансовых счетах.
2.3. Виды бухгалтерских проводок
Существует две большие группы бухгалтерских проводок, используемых в коммерческих банках: целевые и исправительные.
Целевые проводки отражают выполнение различных банковских операций. Например: перечисление некоторой денежной суммы клиентом банка – коммерческой организацией, находящейся в федеральной собственности (счет 40502), своему партнеру – клиенту этого же банка, негосударственной коммерческой организации (счет 40702):
или операция по предоставлению банком кредита сроком до 30 дней своему клиенту, негосударственной некоммерческой организации:
Исправительные проводки – это проводки, исправляющие целевые. Они делятся на: обратные и проводки типа «красное сторно ».
Обратные проводки исправляют целевые путем замены «Д» на «К», а «К» наоборот на «Д» в двух корреспондирующихся между собой счетах. Например:
-
целевая проводка;
-
исправительная проводка.
Проводки типа «красное сторно » не меняют «Д» на «К», а формируются путем вычитания из суммы неправильной целевой проводки такой же суммы для получения нулевого результата по этим операциям. Например:
-
целевая проводка;
-
проводка типа «красное сторно» (исправленная).
Есть счета, где применение обратных исправительных проводок нарушает правила ведения бухгалтерского учета в банках. К ним относятся, например: счет 30102 «Корреспондентские счета кредитных организаций в Банке России», 20202 «Касса кредитных организаций», счета подразделов 701 «Доходы», 702 «Расходы», 703 «Прибыль», 704 «Убытки», 705 «Использование прибыли».
Поэтому в практической деятельности коммерческих банков целесообразно пользоваться преимущественно исправительными проводками типа «красное сторно».
ТЕМА 3. СИСТЕМА МЕЖБАНКОВСКИХ БЕЗНАЛИЧНЫХ РАСЧЕТОВ РФ
3.1. Общие положения организации безналичных расчетов в РФ
Безналичные расчеты – это расчеты, осуществляемые путем перечисления средств со счета плательщика на счет получателя с использованием подтверждающих эти операции документов (платежных поручений, платежных требований и др.), а не наличных денег.
Безналичные расчеты осуществляются, в основном, через расчетную сеть Банка России и через корреспондентские счета типа «ЛОРО» и «НОСТРО» прямых расчетов между коммерческими банками.
Участники системы межбанковских безналичных расчетов
Организация и проведение безналичных расчетов на территории России регламентируется «Положением о безналичных расчетах в РФ» (ЦБ РФ № 2-П от 12.04.2001). Здесь обозначены основные участники этих расчетов – коммерческие банки и их филиалы, в которых клиенты открывают расчетные и текущие счета, а также документация, на основании которой осуществляются все расчеты.
Организация безналичных расчетов основана на следующих основных принципах:
-
все предприятия и организации независимо от их организационно-правовой формы, обязаны иметь счета в банках, через которые обязаны вести все свои расчеты;
-
клиенты могут самостоятельно выбирать банк для ведения своих расчетов, а также пользоваться услугами нескольких банков;
-
платежи по счетам клиентов осуществляются только при наличии средств на этих счетах;
-
все расчеты совершаются только по распоряжению владельца счета, он может также самостоятельно выбирать формы своих безналичных расчетов (платежными поручениями, платежными требованиями, аккредитивами и т.д.) и очередность расчетов (например, по каким документам осуществлять платежи в первую очередь, а по каким – во вторую);
-
банки несут материальную ответственность перед своими клиентами за нарушения при выполнении их расчетных операций.
Безналичные расчеты должны осуществляться в максимально короткие сроки, поскольку увеличение скорости оборачиваемости средств отвечает интересам как самих банков, так и их клиентов.
3.2. Централизованные расчеты (через расчетно-кассовый центр Банка России)
Основным организатором системы межбанковских безналичных расчетов является Банк России. Он выполняет следующие функции:
-
осуществляет контроль за масштабами денежного оборота и денежной эмиссии (в наличной и безналичной формах);
-
является единым расчетным центром страны;
-
разрабатывает единую методологию по правилам расчетов, учета и отчетности, действующей на всей территории РФ.
В связи с этим, Банк России концентрирует на себе все межбанковские расчеты, которые осуществляются через сеть своих территориальных учреждений – расчетно-кассовых центров (РКЦ), оснащенных парком электронно-вычислительного оборудования и каналами связи.
Для осуществления безналичных централизованных расчетов каждый коммерческий банк после получения лицензии на совершение банковских операций обязан открыть корреспондентский счет в одном из РКЦ. Открытие корреспондентского счета оформляется договором о корреспондентских отношениях (договор корреспондентского счета). Для его заключения коммерческий банк должен направить в РКЦ соответствующее заявление и представить свой устав, учредительный договор, карточку с образцами подписей и оттиска печати, справки из различных фондов о постановке на учет, свидетельство о государственной регистрации, информацию об учредителях банка и его будущих руководителях.
















