ЛР №3 - Анализ фактического состояния условий труда (1094357)
Текст из файла
Московский Государственный Вечерний
Металлургический Институт
(МГВМИ)
Лабораторная работа № 3.
Тема: "Анализ фактического состояния условий труда".
Группа: МО-97
Студент:
Преподаватель: Черных В. В.
Москва 2000 г.
"Анализ фактического состояния условий труда".
Цель работы:
1. Ознакомление с классификацией условий труда.
2. Ознакомление с нормами и требованиями к оптимальным условиям труда.
Задачи работы:
1. Бальная оценка состояния факторов условий труда.
2. установка общей оценки условий труда в целом на рабочем месте.
3. Характеристика состояния и характер травматизма.
| № п/п | Фактор производственной среды | Количественная характеристика | Абсолютная еденица измерения | Бальная оценка фактора производственной среды |
| Исходные: | ||||
| 1 | Инфрокрасное излучение | 1,2 | Квт/м2 | 4 |
| 2 | Энергозатраты | 160 | Дж/сек | 1 |
| 3 | Монотонность | 95 | К-во оп. вч. | 2 |
| 4 | Зрительный разряд | VII | 1 | |
| 5 | Освещенность | В 1,3 р. больше | Кратность отклонения от нормы СНиП | 1 |
| После корректирования: | ||||
| 1 | Инфрокрасное излучение | До 0,35 | Квт/м2 | 3 |
| 2 | Энергозатраты | До 385 | Дж/сек | 3 |
| 3 | Монотонность | До 180 | К-во оп. вч. | 3 |
| 4 | Зрительный разряд | IV | 3 | |
| 5 | Освещенность | В 2р. меньше | Кратность отклонения от нормы СНиП | 3 |
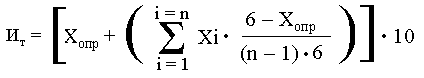
Х
опр – определяющий элемент условий труда, получивший количественную оценку балов;
Хi – сумма количественной оценки биологически активных условий труда без учета Хопр, в баллах;
n – количество элементов условий труда;
Расчетная категория тяжести труда: 3
Заданная категория тяжести труда: 2
Среднесписочный состав: 21650 человек
Травматизм: 9
Сумма дней нетрудоспособности: 75
Кч =
Кт =
| Категория тяжести. | Категория Работы. | Условия труда. | Признаки качественного состояния организма. | Длительность периода постановления физических показателей по окончании рабочего дня. | Производственный травматизм и производственно-обусловленные заболевания. | ||||
| Состояние организма. | Эффект Сеченова в конце рабочего дня. | Феномен растормаживания дифференцировок. | Парадоксальные реакции. | ||||||
Характеристики
Тип файла документ
Документы такого типа открываются такими программами, как Microsoft Office Word на компьютерах Windows, Apple Pages на компьютерах Mac, Open Office - бесплатная альтернатива на различных платформах, в том числе Linux. Наиболее простым и современным решением будут Google документы, так как открываются онлайн без скачивания прямо в браузере на любой платформе. Существуют российские качественные аналоги, например от Яндекса.
Будьте внимательны на мобильных устройствах, так как там используются упрощённый функционал даже в официальном приложении от Microsoft, поэтому для просмотра скачивайте PDF-версию. А если нужно редактировать файл, то используйте оригинальный файл.
Файлы такого типа обычно разбиты на страницы, а текст может быть форматированным (жирный, курсив, выбор шрифта, таблицы и т.п.), а также в него можно добавлять изображения. Формат идеально подходит для рефератов, докладов и РПЗ курсовых проектов, которые необходимо распечатать. Кстати перед печатью также сохраняйте файл в PDF, так как принтер может начудить со шрифтами.
















