Изучение работы тарельчатой ректификационной (1093607), страница 2
Текст из файла (страница 2)
(3.2)
где Gм - мольный расход паровой фазы, (кг моль)/ч; ук, ун - конечная и начальная концентрации легколетучего компонента в паровой фазе на тарелке, мол.доля; Fб - площадь барботажа тарелки, м2; kу - коэффициент массопередачи (кг моль)/(м2 ч).
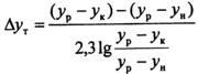
Средняя движущая сила для тарелки Т составляет
(3.3)
где ур - концентрация легколетучего компонента в паровой фазе, находящейся в равновесии с жидкой фазой состава хк, мол. доли (рис. 3.2). Данные парожидкостного равновесия для смеси этанол-вода приведены в табл. 3.
5. ПОРЯДОК ПРОВЕДЕНИЯ ЭКСПЕРИМЕНТА И ОБРАБОТКА ОПЫТНЫХ ДАННЫХ
После выхода колонны на стационарный режим проводят замеры основных технологических параметров, значения которых сводят в табл. 1 и 2.
| Температура, °С | Расход охлаждающей воды (ротаметр Г), W0 | Расход флегмы, (ротаметр Б), L0 | ||||
| входящей воды в дефлегматор, tввх | уходящей воды из дефлегматора, tв ух | флегмы, tФ | л/ч | кг/ч | л/мин | кг/ч |
Таблица 2
| Температура жидкости на тарелке, °С | t2 | t3 | t4 | t5 | t6 | t7 | t8 | t9 | tl0 |
| Концентрация жидкости, уходящей с тарелки, мол.доля. | х2 | х3 | х4 | х5 | х6 | х7 | х8 | х9 |
В табл. 2 записывают значения х, определяемые по t (график x = f(t), рис. 3.4).
По данным табл. 1 и 2 проводят следующие расчеты.
1. Проверяют сходимость теплового баланса дефлегматора,
Q1=Q2, где Q1 - тепловой поток, получаемый водой в дефлегматоре
Q1=Wc(tв ух - tв вх) (3.4)
а Q2 - тепловой поток, отдаваемый конденсирующимся паром и охлаждаемым дистиллятом
Q2=rL+Lcд(t10-tф). (3.5)
В уравнениях (3.4) и (3.5) W, L - массовые расходы охлаждающей воды и флегмы, кг/ч;
с=4,19 кДж/(кгК) - теплоемкость воды;
Сд=2,95 кДж/(кгК) - теплоемкость дистиллята (70-80 % мас. этанола в воде);
r =1365 кДж/кг - теплота парообразования дистиллята (70-80% маc. этанола в воде),
t10 - температура на 10-й тарелке, °С.
2. По значениям х2 х3...х8 строят в координатах Y-X кинетическую линию процесса. Предварительно наносят равновесную кривую и рабочую линию (Y-X), являющуюся диагональю квадрата диаграммы Y-X (рис.3.5).
Рис. 3.5
3. Для одной, двух (или трех) тарелок по уравнению (3.2) определяют коэффициенты массопередачи kу (с указанными размерностями входящих в расчетное уравнение величин). При этом мольный расход паровой фазы Gм составит (L=G)
Gм = L/Mср (3.6)
Мср =Мэх9+ Мв(1-х9), (3.7)
где Мэ Мв - молекулярные массы этанола и воды.
5. СОДЕРЖАНИЕ ОТЧЕТА О ЛАБОРАТОРНОЙ РАБОТЕ
1. Цель лабораторной работы
2. Схема установки.
3. Элементы теории.
4. Табл. 1 и 2 экспериментальных данных.
5. Тепловой баланс дефлегматора.
6. Диаграмма Y-X c построенными равновесной, рабочей и кинетической линиями.
7. Результаты расчета коэффициентов массопередачи.
| Концентрация этилового спирта в жидкой фазе, Х,%мол. | Концентрация этилового спирта в паровой фазе, Y,%мол. | |
| 1,44 | 13,5 | |
| 2,46 | 21,2 | |
| 5,19 | 31,8 | |
| 8,71 | 40,6 | |
| 14,3 | 48,7 | |
| 20,6 | 53,0 | |
| 25,5 | 55,2 | |
| 34,5 | 59,1 | |
| 43,0 | 62,6 | |
| 50,6 | 66,1 | |
| 54,5 | 67,3 | |
| 66,3 | 73,3 | |
| 73,5 | 77,6 | |
| 80,4 | 81,5 | |
| 91,7 | 90,6 | |
Таблица 3
ВОПРОСЫ ДЛЯ САМОКОНТРОЛЯ
1) Назначение и определение процесса ректификации?
2) Чем обусловлена возможность разделения жидкой смеси на составляющие её компоненты ректификацией?
3) Что является движущей силой процесса ректификации?
4) Какими параметрами определяется величина потока, переносимого из фазы в фазу?
5) Какими факторами определяется кинетический коэффициент процесса ректификации?
6) Как устроена тарельчатая колонна?
7) Аппаратурное оформление схемы ректификационной установки? Назначение кипятильника и дефлегматора?
8) Что означает режим работы ректификационной колонны при R = ∞ ? Чем отличается этот режим от режима работы ректификационной колонны при конечном значении флегмового числа?
9) Какую модель потоков фаз на тарелке принимают при расчете тарельчатых колонн?
10) Что характеризует для бинарных смесей линия равновесных составов?
11) Что характеризует для бинарных смесей рабочая линия
процесса?
12) Что выражает для бинарных смесей кинетическая линия
процесса?
13) Чем определяется положение кинетической линии процесса?
14) Что выражает коэффициент массопередачи?
15) Для чего необходимо построение кинетической линии процесса при расчете тарельчатых ректификационных колонн?
16) Как условно изображается одна тарелка на диаграмме X-Y?
Библиографический список
1. Плановский А.Н., Николаев П.И. Процессы и аппараты химической и нефтехимической технологии. -М.: Химия, 1987.-496 с.
2. Павлов К.Ф., Романков П.Г., Носков А.А. Примеры и задачи по курсу процессов и аппаратов химической технологии. - Л.:Химия, 1987. - 576 с.
















