Курсовая работа. Вариант №4. (1093386)
Текст из файла
Московский Государственный Университет
Инженерной Экологии
Кафедра:
«ТКА сектор МАСК»
Курсовая работа
по дисциплине метрология, стандартизация и сертификация
Вариант № 4
Студент: Шепетовский М.Д.
Группа: К-33
Преподаватель: Гальцова Г.А.
Москва, 2006г.
Словарь терминов.
Концентрация - величина, выражающая относительное количество данного компонента (независимой составной части) в физико-химической системе (смеси, растворе, сплаве).
Технологический процесс (от греч. téchne — искусство, мастерство, умение и ...логия), совокупность приёмов и способов получения, обработки или переработки сырья, материалов, полуфабрикатов или изделий, осуществляемых в различных отраслях промышленности, в строительстве и т. д.; научная дисциплина, разрабатывающая и совершенствующая такие приёмы и способы. Т.П. называются также сами операции добычи, обработки, переработки, транспортирования, складирования, хранения, которые являются основной составной частью производственного процесса. В состав современной Т.П. включается и технический контроль производства. Т.П. принято также называть описание производственных процессов, инструкции по их выполнению, технологические правила, требования, карты, графики и др.
Оптико–акустический газоанализатор «КЕДР»
Н
азначение
Микропроцессорный газоанализатор «КЕДР» является автоматическим и непрерывно действующим прибором, предназначенным для определения концентрации одного из компонентов в сложной газовой смеси.
«КЕДР» может быть использован для:
• технологического контроля различных производств, в т.ч. производств аммиака, ацетилена, метанола
• оптимизации процессов горения по данным о составе дымовых газов
• контроля содержания оксида углерода в отходящих газах топливосжигающих установок различных типов - водогрейных котлов, ТЭЦ, асфальтовых заводов
• научных исследований и др.
Принцип действия:
Избирательное поглощение инфракрасного излучения определяемым компонентом анализируемой газовой смеси.
Диапазон измерений средства измерений - область значений величины, в пределах которой нормированы допускаемые пределы погрешности средства измерений.
Классы точности средств измерений, обобщённая характеристика средств измерений, служащая показателем установленных для них государственными стандартами пределов основных и дополнительных погрешностей и др. параметров, влияющих на точность. Введение К. т. облегчает стандартизацию средств измерений и их подбор для измерений с требуемой точностью.
Выходной сигнал – реакция объекта на входной сигнал (возмущение, управление).
Абсолютная погрешность средства измерений - погрешность средства измерений, выраженная в единицах измеряемой физической величины.
Предел допускаемой погрешности средства измерений - наибольшее значение погрешности средства измерений, устанавливаемое нормативно-технических документом для заданного типа средств измерений, при котором оно еще признается годным к применению.
При превышении установленного предела погрешности средство измерений признается негодным для применения в данном классе точности
Статической характеристикой называется зависимость значенья параметра на выходе от значения параметра на входе.
Элементы теории.
Все средства измерений, независимо от их конкретного исполнения, обладают рядом общих свойств, необходимых для выполнения ими их функционального назначения. Технические характеристики, описывающие эти свойства и оказывающие влияние на результаты и на погрешности измерений, называются метрологическими характеристиками. Перечень важнейших из них регламентируется ГОСТ «Нормируемые метрологические характеристики средств измерений». Комплекс нормируемых метрологических характеристик устанавливается таким образом, чтобы с их помощью можно было оценить погрешность измерений, осуществляемых в известных рабочих условиях эксплуатации посредством отдельных средств измерений или совокупности средств измерений, например автоматических измерительных систем.
О
дной из основных метрологических характеристик измерительных преобразователей является статическая характеристика преобразования (иначе называемая функцией преобразования или градуировочной характеристикой). Она устанавливает зависимость информативного параметра у выходного сигнала измерительного преобразователя от информативного параметра х входного сигнала.
С
татическая характеристика нормируется путем задания в форме уравнения, графика или таблицы. Понятие статической характеристики применимо и к измерительным приборам, если под независимой переменной х понимать значение измеряемой величины или информативного параметра входного сигнала, а под зависимой величиной – показание прибора.
Если статическая характеристика преобразования линейна, т.е. , то коэффициент К называется чувствительностью измерительного прибора (преобразователя). В противном случае под чувствительностью следует понимать производную от статической характеристики.
Важной характеристикой шкальных измерительных приборов является цена деления, т.е. то изменение измеряемой величины, которому соответствует перемещение указателя на одно деление шкалы. Если чувствительность постоянна в каждой точке диапазона измерения, то шкала называется равномерной. При неравномерной шкале нормируется наименьшая цена деления шкалы измерительных приборов. У цифровых приборов шкалы в явном виде нет, и на них вместо цены деления указывается цена единицы младшего разряда числа в показании прибора.
В
ажнейшей метрологической характеристикой средств измерений является погрешность.
П
од абсолютной погрешностью меры понимается алгебраическая разность между ее номинальным Xн и действительным Xд значениями:
</DIV>
а под абсолютной погрешностью измерительного прибора – разность между его показанием Xп и действительным значением Xд измеряемой величины:
<DIV align=center>
</DIV>
А
бсолютная погрешность измерительного преобразователя может быть выражена в единицах входной или выходной величины. В единицах входной величины абсолютная погрешность преобразователя определяется как разность между значением входной величины X, найденной по действительному значению выходной величины и номинальной статической характеристике преобразователя, и действительным значением Xд входной величины:
<DIV align=center> .</DIV>
Однако в большей степени точность средства измерений характеризует относительная погрешность, т.е. выраженное в процентах отношение абсолютной погрешности к действительному значению измеряемой или воспроизводимой данным средством измерений величины:
<DIV align=center>
<
/DIV>
Обычно <<1 , поэтому в формулу (3) вместо действительного значения часто может быть подставлено номинальное значение меры или показание измерительного прибора.
Если диапазон измерения прибора охватывает и нулевое значение измеряемой величины, то относительная погрешность обращается в бесконечность в соответствующей ему точке шкалы. В этом случае пользуются понятием приведенной погрешности, равной отношению абсолютной погрешности измерительного прибора к некоторому нормирующему значению XN:
<DIV align=center>
</DIV>
В качестве нормирующего значения принимается значение, характерное для данного вида измерительного прибора. Это может быть, например, диапазон измерений, верхний предел измерений, длина шкалы и т.д.
Погрешности измерительных средств принято подразделять на статические, имеющие место при измерении постоянных величин после завершения переходных процессов в элементах приборов и преобразователей, и динамические, появляющиеся при измерении переменных величин и обусловленные инерционными свойствами средств измерений.
Согласно общей классификации, статические погрешности измерительных средств делятся на систематические и случайные.
Систематические погрешности являются в общем случае функцией измеряемой величины, влияющих величин (температуры, влажности, напряжения питания и пр.) и времени. В функции измеряемой величины систематические погрешности находят при поверке и аттестации образцовых приборов, например, измерением наперед заданных значений измеряемой величины в нескольких точках шкалы. В результате строится кривая или создается таблица погрешностей, которая используется для определения поправок. Поправка в каждой точке шкалы численно равна систематической погрешности и обратная ей по знаку, поэтому при определении действительного значения измеряемой величины поправку следует прибавить к показанию прибора. Систематическую погрешность в функции измеряемой величины можно представить в виде суммы погрешности схемы, определяемой самой структурной схемой средства измерений, и технологических погрешностей, обусловленных погрешностями изготовления его элементов.
Как те, так и другие виды погрешностей можно рассматривать в качестве систематических лишь при измерении постоянной величины с помощью одного экземпляра измерительного прибора. Между погрешностями схемы и технологическими погрешностями средств измерений существует принципиальная разница. Если первые накладывают свой отпечаток на характер изменения по шкале суммарной погрешности всех средств измерений данного типоразмера, то технологические погрешности индивидуальны для каждого экземпляра, т. е. их значения в одних и тех же точках шкалы различны для различных экземпляров приборов. Технологические погрешности в большой степени искажают реальную статистическую характеристику.
Результатом их проявления является:
а) поступательное смещение статической характеристики относительно характеристики идеального прибора и возникновение погрешности, постоянной в каждой точке шкалы; эта погрешность называется аддитивной;
б) поворот статической характеристики и появление погрешности, линейно возрастающей или убывающей с ростом измеряемой величины и называемой мультипликативной погрешностью;
в) нелинейные искажения статической характеристики;
г) появление погрешности обратного хода, выражающейся в несовпадении статических характеристик прибора при увеличении и уменьшении измеряемой величины.
<DIV align=center></DIV>
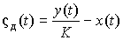
Д
инамические погрешности обусловливаются инерционными свойствами средств измерений и появляются при измерении переменных во времени величин. Типичным случаем является измерение с регистрацией сигнала, изменяющегося со временем. Если x(t) и y(t) – сигналы на входе и на выходе средства измерений с чувствительностью К, то динамическая погрешность
<DIV align=center>
</DIV>
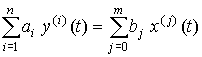
Д
ля средств измерений, являющихся линейными динамическими системами с постоянными во времени параметрами, наиболее общая характеристика динамических свойств – это дифференциальное уравнение. В этом случае уравнение линейное с постоянными коэффициентами:
<DIV align=center>
</DIV>
где
и
– i-e и j-e производные входного и выходного сигналов; ai и bj – постоянные коэффициенты, n и m – порядок левой и правой частей уравнения, причем n < m. Дифференциальное уравнение является метрологической характеристикой средств измерения, поскольку позволяет при известном сигнале на входе x(t) найти выходной сигнал y(t) и после подстановки их в выражение (1) вычислить динамическую погрешность.
Для нормирования динамических свойств средств измерения часто указывают на дифференциальное уравнение, а другие, производные от него динамические характеристики, находятся экспериментальным путем. Сюда относятся передаточная функция, амплитудная и фазовая частотные характеристики, переходная и импульсная переходная функции.
Характеристики
Тип файла документ
Документы такого типа открываются такими программами, как Microsoft Office Word на компьютерах Windows, Apple Pages на компьютерах Mac, Open Office - бесплатная альтернатива на различных платформах, в том числе Linux. Наиболее простым и современным решением будут Google документы, так как открываются онлайн без скачивания прямо в браузере на любой платформе. Существуют российские качественные аналоги, например от Яндекса.
Будьте внимательны на мобильных устройствах, так как там используются упрощённый функционал даже в официальном приложении от Microsoft, поэтому для просмотра скачивайте PDF-версию. А если нужно редактировать файл, то используйте оригинальный файл.
Файлы такого типа обычно разбиты на страницы, а текст может быть форматированным (жирный, курсив, выбор шрифта, таблицы и т.п.), а также в него можно добавлять изображения. Формат идеально подходит для рефератов, докладов и РПЗ курсовых проектов, которые необходимо распечатать. Кстати перед печатью также сохраняйте файл в PDF, так как принтер может начудить со шрифтами.
















