Шпаргалка по физике для печати (1092684)
Текст из файла
Абсолютно чёрное тело — физическая абстракция, применяемая в термодинамике, тело, поглощающее всё падающее на него электромагнитное излучение во всех диапазонах и ничего не отражающее. Несмотря на название, абсолютно чёрное тело само может испускать электромагнитное излучение любой частоты и визуально иметь цвет. Спектр излучения абсолютно чёрного тела определяется только его температурой. Первый закон излучения Вина :
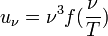
где uν — плотность энергии излучения , ν — частота излучения , T — температура излучающего тела , f — функция, зависящая только от частоты и температуры. Второй закон излучения Вина:
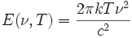
где uν — плотность энергии излучения , ν — частота излучения , T — температура излучающего тела,C1,C2 — константы. Позже Макс Планк показал, что второй закон Вина следует из закона Планка для больших энергий квантов, а также нашёл постоянные C1 и C2. С учётом этого, второй закон Вина можно записать в виде:
где uν — плотность энергии излучения, ν — частота излучения, T — температура излучающего тела, h — постоянная Планка , k — постоянная Больцмана, c — скорость света в вакууме. закон Рэлея — Джинса:
. Закон излучения Кирхгофа — отношение излучательной способности любого тела к его поглощательной способности одинаково для всех тел при данной температуре для данной частоты и не зависит от их формы, химического состава и проч. Квантовая гипотеза Макса Планка состояла в том, что любая энергия поглощается или испускается только дискретными порциями, которые состоят из целого числа квантов с энергией ε таких, что эта энергия пропорциональна частоте ν с коэффициентом пропорциональности, определённым по формуле:
, где h — постоянная Планка.
ПИРОМЕТРИЯ ОПТИЧЕСКАЯ-совокупность методов определения высоких темп-р (выше 1000 °C), основанных на измерении интенсивности излучения света нагретым телом. Методы П.о. не требуют непосредств. контакта аппаратуры с исследуемым телом, позволяют измерять высокие темп-ры (более 3000 °C), темп-ры удалённых тел. Фотоэффе́кт — это испускание электронов веществом под действием света (и, вообще говоря, любого электромагнитного излучения). В конденсированных веществах (твёрдых и жидких) выделяют внешний и внутренний фотоэффект. В результате исследований были установлены три закона фотоэффекта.
1. Сила тока насыщения прямо пропорциональна интенсивности светового излучения, падающего на поверхность тела.
2. Максимальная кинетическая энергия фотоэлектронов линейно возрастает с частотой света и зависит от его интенсивности.
3. Если частота света меньше некоторой определенной для данного вещества минимальной частоты, то фотоэффекта не происходит. По теории Эйнштейна фотоэффект имеет следующее объяснение: поглощая квант света, электрон приобретает энергию. При вылете из металла энергия каждого электрона уменьшается на определенную величину, которую называют работой выхода (Авых). Работа выхода — это работа, которую необходимо затратить, чтобы удалить электрон из металла. Максимальная энергия электронов после вылета (если нет других потерь) имеет вид:
. Это уравнение носит название уравнения Эйнштейна.
Внешний фотоэффект
Фотоэлектронная эмиссия
Внешний фотоэффект - испускание электронов из вещества под действием электромагнитного излучения.
Внешний фотоэффект наблюдается в металлах, полупроводниках и диэлектриках и подчиняется законам фотоэффекта.
Внутренний фотоэффект
Фотопроводимость
Внутренний фотоэффект - увеличение электропроводности полупроводников или диэлектриков под действием света. Причиной фотопроводимости является увеличение концентрации носителей заряда (электронов) в зоне проводимости и дырок в валентной зоне.
Давление света-давление, производимое светом на отражающие или поглощающие тела
где
— количество лучистой энергии, падающей нормально на 1 м² поверхности за 1 с;
— скорость света,
— коэффициент отражения. Эффект Комптона (Комптон-эффект) — явление изменения длины волны электромагнитного излучения вследствие рассеивания его электронами.
Тормозное излучение — электромагнитное излучение, испускаемое заряженной частицей при её рассеянии (торможении) в электрическом поле. КОРПУСКУЛЯРНО-ВОЛНОВОЙ дуализм, заключается в том, что любые микрочастицы материи (фотоны, электроны, протоны, атомы и другие) обладают свойствами и частиц (корпускул) и волн. Корпускулярно-волновой дуализм света означает, что свет одновременно обладает свойствами непрерывных электромагнитных волн и свойствами дискретных фотонов. Этот фундаментальный вывод был сделан физиками в XX века и вытекал из предшествующих представлений о свете.
Опыты Резерфорда. Формула Резерфорда
(*)
где ds/dW сечение рассеяния в единичный телесный угол, J — угол рассеяния, m = m1m2l(m1+ m2) — приведённая масса (m1 и m2 — массы сталкивающихся частиц), u — относительная скорость (разность скоростей частиц), Z1e и Z2e — электрические заряды частиц, е — элементарный электрический заряд. Р. ф. справедлива как в классической, так и в квантовой теориях.
Формула (*) была использована Резерфордом при интерпретации опытов по рассеянию a-частиц тонкими металлическими пластинками на большие углы (J > 90°). В результате этих опытов Резерфорд пришёл к выводу, что почти вся масса атома сконцентрирована в малом положительно заряженном ядре. Этим открытием были заложены основы современных представлений о строении атома. Планетарная модель атома - модель атома, согласно которой в центре атома находится положительно заряженное ядро, в котором сосредоточена практически вся масса атома. Вокруг ядра движутся электроны, удерживаемые у ядра силами кулоновского притяжения. Совокупность электронов образует оболочку атома, которая своим отрицательным зарядом компенсирует заряд ядра. Постулаты Бора - основные допущения, введенные без доказательства Н.Бором и положенные в основу его модели атомного ядра:
-1- постулат существования в атоме стационарных состояний (орбит движения электронов), не изменяющихся во времени без внешнего воздействия;
-2- постулат испускания или поглощения одного кванта энергии при переходе атома из одного стационарного состояния в другое стационарное состояние. Опыт Франка — Герца — опыт, явившийся экспериментальным доказательством дискретности внутренней энергии атома. опыт Франка - Герца показал, что спектр поглощаемой атомом энергии не непрерывен, а дискретен, минимальная порция (квант электро-магнитного поля), которую может поглотить атом Hg, равна 4,9 эВ. Значение длины волны λ = 253,7 нм свечения паров Hg, возникавшее при V > 4,9 В, оказалось в соответствии со вторым постулатом Бора. Спектральные серии-группы спектральных линий в спектрах атомов, подчиняющиеся определённым закономерностям. Линии данной С. с. в спектрах испускания возникают при всех разрешенных квантовых переходах с различных начальных верхних энергетических уровней энергии атома на один и тот же конечный нижний уровень (в спектрах поглощения — при обратных переходах). Волновые числа линий С. с. подчиняются определённым закономерностям и сходятся к границе серии .Наиболее четко С. с. выделяются в спектрах водорода и водородоподобных атомов, гелия, щелочных металлов (серии Лаймана, Бальмера, Пашена, Брэкета, Пфаунда и Хамфри для Н; главная, диффузная и резкая серии для щелочных металлов. Постоянная Ридберга — величина, введённая Ридбергом, входящая в уравнение для уровней энергии и спектральных линий.Постоянная Ридберга обозначается как R. Если считать массу ядра атома бесконечно большой по сравнению с массой электрона (то есть считать, что ядро неподвижно), то постоянная Ридберга будет определяться как
(система СГС), где m и e — масса и заряд электрона, c — скорость света, а
— постоянная Дирака или приведённая постоянная Планка
R = 109737,316 см-1.
Штерна—Герлаха опыт-опыт, экспериментально подтвердивший, что атомы обладают магнитным моментом, проекция которого на направление внешнего магнитного поля принимает лишь определённые значения (пространственно квантована). Характеристический спектр – линейчатый рентгеновский спектр, возникающий при переходах электронов верхних оболочек атома на более близко расположенные к ядру K-, L-, M-, N – оболочки. Частоты линий характеристического спектра химических элементов подчиняется закону Мозли.
Закон Мозли – линейная зависимость квадратного корня из частоты характеристического рентгеновского излучения от атомного номера химического элемента.. Закон Мозли – основа рентгеновского спектрального анализа.
где R — Ридберга постоянная, Sn —постоянная экранирования, n —главное квантовое число.
Тормозное рентгеновское излучение (рентгеновские лучи) с непрерывным энергетическим спектром - коротковолновое электромагнитное (фотонное) излучение. Диапазон частот, 3·1016 – 3·1019 Гц, диапазон длин волн 10-8 – 10-12 м. Образуется при уменьшении кинетической энергии (торможении, рассеянии) быстрых заряженных частиц, например, при торможении в кулоновском поле ускоренных электронов. Существенно для легких частиц электронов и позитронов. Спектр тормозного излучения непрерывен, максимальная энергия равна начальной энергии частицы. При больших энергиях тормозящихся заряженных частиц, тормозное рентгеновское излучение переходит в энергетический диапазон – излучения.
Рентгеновское излучение - невидимое электромагнитное излучение с длинной волны 0.06 - 20 ангстрем; образуется в результате торможения движущихся электронов в веществе, а так же при некоторых переходах электронов в облачках атомов.
Гипотеза Де-Бройля
не только свет, но и все тела в природе должны обладать и волновыми, и корпускулярными свойствами одновременно. Длина волны
, присущая частицам вещества, получила название длины волны де Бройля, а сами такие волны – волны де Бройля. Опыт Штерна - опыт, в котором впервые непосредственно измерены скорости теплового движения молекул.Опыт явился одним из первых практических доказательств состоятельности молекулярно-кинетической теории строения вещества. В нём были непосредственно измерены скорости теплового движения молекул и подтверждено наличие распределения молекул газов по скоростям. Время полёта, через которое нашёл скорость движения молекул:
где s — смещение полосы, l — расстояние между цилиндрами, а u — скорость движения точек внешнего цилиндра.
Границы применимости классической механики
В настоящее время известно три типа ситуаций, в которых классическая механика перестаёт отражать реальность.
-
Свойства микромира не могут быть поняты в рамках классической механики. В частности, в сочетании с термодинамикой она порождает ряд противоречий Адекватным языком для описания свойств атомов и субатомных частиц является квантовая механика. Подчеркнём, что переход от классической к квантовой механике — это не просто замена уравнений движения, а полная перестройка всей совокупности понятий (что такое физическая величина, наблюдаемое, процесс измерения и т. д.)
-
При скоростях, близких к скорости света, классическая механика также перестаёт работать, и необходимо переходить к специальной теории относительности Опять же, этот переход подразумевает полный пересмотр парадигмы, а не простое видоизменение уравнений движения. Если же, пренебрегая новым взглядом на реальность, попытаться всё же привести уравнение движения к виду F = ma, то придётся вводить тензор масс, компоненты которого растут с ростом скорости. Эта конструкция уже долгое время служит источником многочисленных заблуждений, поэтому пользоваться ей не рекомендуется.
-
Классическая механика становится неэффективной при рассмотрении систем с очень большим числом частиц (или же большим числом степеней свободы). В этом случае практически целесообразно переходить к статистической физике.
-
Волнова́я фу́нкция— комплекснозначная функция, используемая в квантовой механике для описания чистого состояния квантовомеханической системы, имеющей протяжённость в пространстве.
-
Правило нормировки:
Правило выражает тот факт, что вероятность обнаружить частицу с данной волновой функцией во всем пространстве равна единице. -
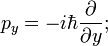
Импульс частицы в каждом из направлений
пропорционален первой производной, а именно
Характеристики
Тип файла документ
Документы такого типа открываются такими программами, как Microsoft Office Word на компьютерах Windows, Apple Pages на компьютерах Mac, Open Office - бесплатная альтернатива на различных платформах, в том числе Linux. Наиболее простым и современным решением будут Google документы, так как открываются онлайн без скачивания прямо в браузере на любой платформе. Существуют российские качественные аналоги, например от Яндекса.
Будьте внимательны на мобильных устройствах, так как там используются упрощённый функционал даже в официальном приложении от Microsoft, поэтому для просмотра скачивайте PDF-версию. А если нужно редактировать файл, то используйте оригинальный файл.
Файлы такого типа обычно разбиты на страницы, а текст может быть форматированным (жирный, курсив, выбор шрифта, таблицы и т.п.), а также в него можно добавлять изображения. Формат идеально подходит для рефератов, докладов и РПЗ курсовых проектов, которые необходимо распечатать. Кстати перед печатью также сохраняйте файл в PDF, так как принтер может начудить со шрифтами.















