Чертов А.Г., Воробьев А.А. - Задачник по физике (1092347)
Текст из файла
Чертов А. Г., Воробьев А. А. Задачник по физике: Учеб. пособие для студентов вту- втузов.— 5-е изд., перераб. и доп.— М.: Высш. шк., 1988.— 527 с: ил.
216501-25623.doc
12.1. В сосуде вместимостью V= 10 л находится азот массой m=0,25 кг. Определить: 1) внутреннее давление р' газа: 2) собственный объем V молекул.
1 По справочным данным определим молекулярную массу азота
µN2=28,026 кг/кмоль
2 Вычислим газовую постоянную азота, используя значение универсальной газовой постоянной R=8,314 КДж/кмоль К
RN2=R/µN2=0,297 КДж/кг К
3 Запишем уравнения состояния для обеих точек термодинамического процесса
p1V1=M RN2T1, откуда T1=p1V1/(M RN2)=8418 К (это очень много - но извините данные Ваши!)
p2V2=M RN2T2 поскольку p2=p1 имеем T2/T1=V2/V1=1,8
4 По справочным данным определим массовую теплоемкость азота при постоянном давлении, например при температуре 2500°С (теплоемкостью азота при более высоких температурах не располагаю- думаю ошибка в исходных данных)
Cрm=1214,2 Дж/кг К
5 Определим изменение энтропии в процессе 1-2
ΔS12=Cрm х M х ln(T2/T1)=2,856 Дж/ К
Чертов А. Г., Воробьев А. А. Задачник по физике: Учеб. пособие для студентов вту- втузов.— 5-е изд., перераб. и доп.— М.: Высш. шк., 1988.— 527 с: ил.
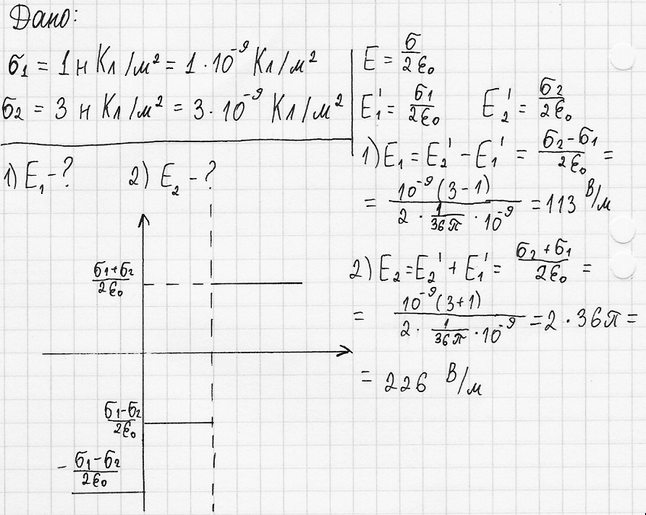
14.22. Электрическое поле создано двумя бесконечными параллельными пластинами, несущими равномерно распределенный по площади заряд с поверхностными плотностями о1=1 нКл/м2 и о2— =3 нКл/м2. Определить напряженность Е поля: 1) между пластинами; 2) вне пластин. Построить график изменения напряженности вдоль линии, перпендикулярной пластинам.
ТРОФИМОВА Т.И., ПАВЛОВА З.Г. Сборник задач по курсу физики с решениями: Учеб. Пособие для вузов. - М.: Высш. Шк., 1999.
216501-25623.doc
Электростатическое поле создается положительно заряженной бесконечной нитью с постоянной линейной плотностью _. Какую скорость приобретет электрон, приблизившись под действием поля к нити вдоль линии напряженности с расстояния _ до _?
Характеристики
Тип файла документ
Документы такого типа открываются такими программами, как Microsoft Office Word на компьютерах Windows, Apple Pages на компьютерах Mac, Open Office - бесплатная альтернатива на различных платформах, в том числе Linux. Наиболее простым и современным решением будут Google документы, так как открываются онлайн без скачивания прямо в браузере на любой платформе. Существуют российские качественные аналоги, например от Яндекса.
Будьте внимательны на мобильных устройствах, так как там используются упрощённый функционал даже в официальном приложении от Microsoft, поэтому для просмотра скачивайте PDF-версию. А если нужно редактировать файл, то используйте оригинальный файл.
Файлы такого типа обычно разбиты на страницы, а текст может быть форматированным (жирный, курсив, выбор шрифта, таблицы и т.п.), а также в него можно добавлять изображения. Формат идеально подходит для рефератов, докладов и РПЗ курсовых проектов, которые необходимо распечатать. Кстати перед печатью также сохраняйте файл в PDF, так как принтер может начудить со шрифтами.
















