Конкурентоспособность товара и маркетинг (1088323), страница 2
Текст из файла (страница 2)
На первом этапе выбирается база сравнения. В качестве базы для сравнения может служить лучший из уже существующих на целевом рынке или в мире товаров-конкурентов, или более совершенный образец, появление которого ожидается в ближайшем будущем, или некоторый абстрактный эталон. Если разбить товары на три группы, а именно:
-
имеющие аналоги и уже выведенные на рынок;
-
имеющие аналоги и находящиеся на стадии разработки;
-
не имеющие аналогов,
то получаем, что первый вариант базы сравнения лучше использовать для первой группы, второй – для группы 2, третий – для группы 3.
На втором этапе выделяются наиболее значимые для потребителя критерии. Они делятся на две группы: потребительские и экономические. Первые включают в себя качественные характеристики товара (производительность, габариты, экологическая безопасность, надежность и т.д.), вторые – цену товара, затраты на транспортировку, монтаж и эксплуатацию, что в целом составляет цену потребления. Значение критерия у базисной модели обозначим РБ, а у сравниваемого образца – Р.
На третьем этапе по каждому критерию рассчитывается единичный показатель конкурентоспособности (qi). Если увеличение значения критерия влечет за собой повышение качества, то
qi = Pi/PБi, (1)
а если снижение, то
qi = PБi/Pi, (2)
На четвертом этапе внутри каждой группы критериев производят ранжирование показателей по степени их значимости для потребителя и в соответствии с этим присваивают им вес: апi – для потребительских и аэi – для экономических показателей. Причем
где n и m – количество потребительских и экономических параметров соответственно.
Необходимость соблюдения этого равенства обоснуем ниже.
На пятом этапе проводится расчет группового показателя как сводного параметрического индекса конкурентоспособности:
где Qп и Qэ – сводные параметрические индексы конкурентоспособности по потребительским и экономическим свойствам соответственно.
3.2 Метод интегрального показателя
Экономический смысл интегрального показателя конкурентоспособности заключается в том, что на единицу затрат потребитель получает К единиц полезного эффекта. Если К > 1, то уровень качества выше уровня затрат и товар является конкурентоспособным, если К < 1 – неконкурентоспособным на данном рынке.
Данный метод имеет ряд недостатков:
1) во всех случаях предполагается линейная зависимость конкурентоспособности от значения критерия, то есть по всем параметрам эластичность спроса равна 1;
2) не учитывается то, что для некоторых критериев существуют ограничения, объективные или субъективные, при нарушении которых конкурентоспособность товара стремится к нулю;
3) при сравнении нескольких товаров необходимо проведение расчетов для каждой пары в отдельности;
4) сложно устанавливать весовые значения aij, особенно для большого количества критериев;
5) невозможно оценить степень влияния на конкурентоспособность товара факторов, не поддающихся количественной оценке;
6) данным методом рассчитывается конкурентоспособность одного объекта относительно другого, а не уровень конкурентоспособности объекта вообще;
7) существует определенная сложность выбора базы сравнения, особенно в случаях, когда в качестве таковой необходимо принять лучший из существующих образцов. Возникает вопрос: как определить, какой товар является лучшим? Поэтому либо необходимо предварительно сравнивать образцы между собой, либо имеет место интуитивный выбор. Можно брать в качестве базы сравнения лидера по продажам, но эта информация часто закрыта, субъективна и трудно собираема, особенно когда речь идет о товарах широкого потребления, которые распространяются по многим каналам сбыта, имеющим несколько уровней.
Собственно, указанные недостатки являются и ограничениями применения традиционного метода конкурентоспособности товара.
Интегральный показатель рассчитывается следующим образом:
К = Qп/Qэ, (6)
3.3 Метод определения конкурентоспособности с использованием функции желательности.
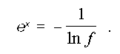
Функция желательности (f) определяется следующим образом:
где е – основание натурального логарифма; х – приведенное значение исследуемого параметра объекта.
Функция определена в интервале 0…1 и используется в качестве безразмерной шкалы, названной шкалой желательности, для оценки уровней параметров сравниваемых объектов (изделий).
С помощью шкалы желательности оцениваются параметры объектов или изделий с точки зрения их пригодности к использованию, или желательности, по отношению к какому-либо практическому применению. Каждому фактическому значению функции желательности придается конкретный экономический смысл, связанный с уровнем конкурентоспособности исследуемого объекта или изделия. Причем значение функции желательности, равное 0, соответствует неприемлемому уровню параметра, при значении которого изделие непригодно для выполнения стоящих перед ним задач; значение функции желательности, равное 1,00, соответствует полностью приемлемому уровню параметра, либо такому значению параметра, при котором дальнейшее улучшение нецелесообразно или невозможно. Промежуточные значения функции желательности, их экономическая характеристика приведены в табл. 1.
Для выполнения дальнейших расчетов и графических построений необходимо получить значения приведенного параметра изделия, соответствующие узловым точкам шкалы желательности (табл. 1).
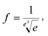
Из формулы, приведенной выше, определим нужное значение. С этой целью прологарифмируем обе части уравнения:
Повторное логарифмирование позволяет получить следующую зависимость:
x = – ln [–ln f], (10)
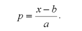
С целью обеспечения возможности использования функции желательности для оценки параметров различной размерности и порядка производится приведение параметров изделия р к значениям приведенного параметра x функции желательности f. Для этого по известным значениям x и р на границах интервалов функции желательности строится аппроксимирующая функция и определяются ее параметры (коэффициенты). Наиболее простая – это линейная функция вида
х = a х р + b, (11)
где a, b – коэффициенты аппроксимации.
Таблица 1 – Параметры функции желательности
Процедура получения оценки уровня параметра изделия по шкале (функции) желательности f включает следующие этапы:
а) определение значений приведенного параметра х, соответствующих узловым точкам шкалы желательности f;
б) определение значений параметра p, соответствующих границам интервалов шкалы желательности f (согласно условиям (критериям), приведенным в табл. 1);
в) определение коэффициентов аппроксимации по данным х и р;
г) вычисление значения x для конкретного значения оцениваемого параметра p;
д) определение значения функции желательности f для оцениваемого параметра.
Очевидно, что результаты сравнительной оценки конкурентоспособности различных изделий-аналогов будут в значительной степени зависеть от того, какие конкретные значения на шкале параметров будут поставлены в соответствие границам интервалов шкалы желательности f. Если заранее неизвестны требования конкретных потребителей, данный метод рекомендует придерживаться следующих правил:
а) за f = 1,00 принимается уровень параметра, превышающий лучший мировой, или максимально возможный уровень, или уровень, улучшать который не имеет смысла;
б) за f = 0,80 принимается лучший мировой уровень, то есть наилучшее значение параметра среди всех рассматриваемых изделий;
в) за f = 0,20 принимается самый низкий уровень среди всех рассматриваемых изделий;
г) за f = 0,00 принимается наиболее низкий уровень значения исследуемого параметра изделия, который можно себе представить;
д) интервал на шкале параметров, соответствующий значениям функции желательности f = 0,20…0,80, следует разбить равномерно. При этом значения параметра p в точках, соответствующих значениям функции желательности 0,37 и 0,63, определяются из уравнения аппроксимации:
В качестве критериев оценки могут быть приняты как количественные, так и качественные измерители. В последнем случае оценки качественного параметра могут быть также сделаны в соответствии с рекомендациями, приведенными в табл. 1.
Имея оценки уровней отдельных параметров изделия, рассчитываем уровень конкурентоспособности всего изделия с помощью обобщенной функции желательности F:
где f – значение функции желательности для i‑го параметра изделия; n – количество анализируемых параметров изделия.
Сравнивая значение F различных изделий, определяем изделие, обладающее в данное время наилучшей совокупностью потребительских свойств. Этому изделию будет соответствовать наибольшее значение обобщенной функции желательности.
Данный метод страдает также рядом недостатков, а именно:
1) при расчете конкурентоспособности не учитывается различное влияние разных параметров на конкурентоспособность продукции;
2) для каждого из параметров предлагается определять только одну аппроксимирующую функцию.
3.4 Методика рейтинговой оценки
Цель рейтинговой оценки – дать представление о конкурентоспособности предприятия на основе показателей (факторов), определяющие успешность функционирование предприятия, таких, как: качество продукции, цена, соблюдение сроков поставок, сбытовая сеть, менеджмент.
Рейтинг предприятия определяется на основе расчёта их итогового балла в результате оценки. Итоговый балл отдельного предприятия выводится по формуле:
ИБ=∑(Бi*Bi), (14)
где ИБ – итоговый балл предприятия по результатам рейтинговой оценки;
Бi – балл предприятия по i‑му показателю хозяйственной деятельности, включаемому в модель составления рейтинга;
Bi – вес i‑го показателя, присвоенный ему при включении в модель проведения рейтинговой оценки;
ИБ=∑(Бi*Bi) – сумма произведений баллов отдельных показателей рейтинговой оценки и их весов.
Методологически проведение рейтинговой оценки начинается с выбора показателей, включаемых в модель, и присвоения им весов, учитывающих относительную существенность того или иного показателя как фактора, необходимых для оценки конкурентоспособности.
Для этого составляется бальная шкала абсолютных значений отдельных показателей. Допустим, что значения показателей могут оцениваться по пятибалльной шкале (в иных случаях могут использоваться другие значения):
– «хорошо» (хор.) –2 балла;















