метода Simulink (1087392), страница 8
Текст из файла (страница 8)
Рис. 9.4.3. Использование блока Zero-Order Hold для согласования работы дискретных блоков.
9.4.3. Блок экстраполятора первого порядка First-Order Hold
Назначение:
Блок задает линейное изменение выходного сигнала на каждом такте дискретизации, в соответствии с крутизной входного сигнала на предыдущем интервале дискретизации.
Параметры:
Sample time – Величина шага дискретизации по времени.
Пример экстраполяции синусоидального сигнала этим блоком показан на рис. 9.4.4.
Рис. 9.4.4. Использование блока First-Order Hold
9.4.4. Блок дискретного интегратора Discrete-Time Integrator
Назначение:
Блок используется для выполнения операции интегрирования в дискретных системах.
Параметры:
Integration method – Метод численного интегрирования:
Forward Euler - Прямой метод Эйлера.
Метод использует аппроксимацию T/(z-1) передаточной функции 1/s. Выходной сигнал блока рассчитывается по выражению:
y(k) = y(k–1) + T*u(k–1),
y – выходной сигнал интегратора,
u – входной сигнал интегратора,
T – шаг дискретизации,
k – номер шага моделирования.
Backward Euler – Обратный метод Эйлера.
Метод использует аппроксимацию T*z/(z–1) передаточной функции 1/s. Выходной сигнал блока рассчитывается по выражению:
y(k) = y(k–1) + T*u(k).
Trapeziodal – Метод трапеций.
Метод использует аппроксимацию T/2*(z+1)/(z–1) передаточной функции 1/s. Выходной сигнал блока рассчитывается по выражению:
x(k) = y(k–1) + T/2 * u(k–1).
Sample time — Шаг дискретизации по времени.
Остальные параметры дискретного интегратора те же, что и у блока аналогового интегратора Integrator (библиотека Continuous).
На рис. 9.4.5 показан пример демонстрирующий все три способа численного интегрирования блока Discrete-Time Integrator. Как видно из рисунка изображение блока меняется в зависимости от выбранного метода интегрирования.
Рис. 9.4.5. Выполнение интегрирования блоками Discrete-Time Integrator, реализующими разные численные методы.
9.4.5. Дискретная передаточная функция Discrete Transfer Fсn
Назначение:
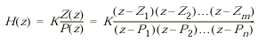
Блок Discrete Transfer Fcn задает дискретную передаточную функцию в виде отношения полиномов:
,
где
m+1 и n+1 – количество коэффициентов числителя и знаменателя, соответственно.
num – вектор или матрица коэффициентов числителя,
den – вектор коэффициентов знаменателя.
Параметры:
Numerator — Вектор или матрица коэффициентов числителя
Denominator – Вектор коэффициентов знаменателя
Sample time — Шаг дискретизации по времени.
Порядок числителя не должен превышать порядок знаменателя.
Входной сигнал блока должен быть скалярным. В том случае, если коэффициенты числителя заданы вектором, то выходной сигнал блока будет скалярным (также как и входной сигнал). На рис. 9.4.6 показан пример использования блока Discrete Transfer Fcn. В примере рассчитывается реакция на единичное ступенчатое воздействие дискретного аналога колебательного звена: .
Шаг дискретизации выбран равным 0.5 с.
Рис. 9.4.6. Использование блока Discrete Transfer Fcn
9.4.6. Блок дискретной передаточной функции Discrete Zero-Pole
Назначение:
Блок Discrete Zero-Pole определяет дискретную передаточную функцию с заданными полюсами и нулями:
,
где
Z – вектор или матрица нулей передаточной функции,
P – вектор полюсов передаточной функции,
K – коэффициент передаточной функции, или вектор коэффициентов, если нули передаточной функции заданы матрицей. При этом размерность вектора K определяется числом строк матрицы нулей.
Параметры:
Zeros – Вектор или матрица нулей.
Poles – Вектор полюсов.
Gain – Скалярный или векторный коэффициент передаточной функции.
Sample time — Шаг дискретизации по времени.
Количество нулей не должно превышать число полюсов передаточной функции.
В том случае, если нули передаточной функции заданы матрицей, то блок Discrete Zero-Pole моделирует векторную передаточную функцию.
Нули или полюса могут быть заданы комплексными числами. В этом случае нули или полюса должны быть заданы комплексно-сопряженными парами полюсов или нулей, соответственно.
Начальные условия при использовании блока Discrete Zero-Pole полагаются нулевыми.
На рис. 9.4.7 показан пример использования блока Discrete Zero-Pole. С помощью рассматриваемого блока моделируется дискретный аналог передаточной функции
.
Шаг дискретизации выбран равным 0.5 с.
Рис. 9.4.7. Использование блока Discrete Zero-Pole.
9.4.7. Блок дискретного фильтра Discrete Filter
Назначение:
Блок дискретного фильтра Discrete Filter задает дискретную передаточную функцию от обратного аргумента (1/z):
,
m+1 и n+1 – количество коэффициентов числителя и знаменателя, соответственно.
num – вектор или матрица коэффициентов числителя,
den – вектор коэффициентов знаменателя.
Параметры:
Numerator — Вектор или матрица коэффициентов числителя
Denominator –Вектор коэффициентов знаменателя
Sample time — Шаг дискретизации по времени.
На рис. 9.4.8 показан пример использования блока Discrete Filter. С помощью рассматриваемого блока моделируется дискретный аналог передаточной функции:
.
Шаг дискретизации выбран равным 0.5 с.
Рис. 9.4.8. Использование блока Discrete Filter.
9.4.8. Блок модели динамического объекта Discrete State-Space
Назначение:
Блок создает динамический объект, описываемый уравнениями в пространстве состояний:
,
где
x – вектор состояния,
u – вектор входных воздействий,
y – вектор выходных сигналов,
A, B, C, D - матрицы: системы, входа, выхода и обхода, соответственно,
n – номер шага моделирования.
Размерность матриц показана на рис. 9.4.9 (n – количество переменных состояния, m – число входных сигналов, r – число выходных сигналов).
Рис. 9.4.9. Размерность матриц блока Discrete State-Space
Параметры:
A –Матрица системы.
B – Матрица входа.
C – Матрица выхода
D – Матрица обхода
Initial condition – Вектор начальных условий.
Sample time — Шаг дискретизации по времени.
На рис. 9.4.10 показан пример моделирования динамического объекта с помощью блока Discrete State-Space. Матрицы блока имеют следующие значения:
Рис. 9.4.10. Пример использования блока Discrete State-Space.
9.5. Nonlinear - нелинейные блоки
9.5.1. Блок ограничения Saturation
Назначение:
Выполняет ограничение величины сигнала.
Параметры:
Upper limit - Верхний порог ограничения.
Lower limit - Нижний порог ограничения.
Treat as gain when linearizing (флажок) - Трактовать как усилитель с коэффициентом передачи равным 1 при линеаризации.
Выходной сигнал блока равен входному если его величина не выходит за порог ограничения. По достижении входным сигналом уровня ограничения выходной сигнал блока перестает изменяться и остается равным порогу. На рис. 9.5.1 показан пример использования блока для ограничения синусоидального сигнала. На рисунке приводятся временные диаграммы сигналов и зависимость выходного сигнала блока от входного.
Рис. 9.5.1. Пример использования блока Saturation
9.5.2. Блок с зоной нечувствительности Dead Zone
Назначение:
Реализует нелинейную зависимость типа "зона нечувствительности (мертвая зона)".
Параметры:
Start of dead zone - Начало зоны нечувствительности (нижний порог).
End of dead zone - Конец зоны нечувствительности (верхний порог).
Saturate on integer overflow (флажок) - Подавлять переполнение целого. При установленном флажке ограничение сигналов целого типа выполняется корректно.
Treat as gain when linearizing (флажок) - Трактовать как усилитель с коэффициентом передачи равным 1 при линеаризации.
Выходной сигнал блока вычисляется в соответствии со следующим алгоритмом:
Если величина входного сигнала находится в пределах зоны нечувствительности, то выходной сигнал блока равен нулю.
Если входной сигнал больше или равен верхнему входному порогу зоны нечувствительности, то выходной сигнал равен входному минус величина порога.
Если входной сигнал меньше или равен нижнему входному порогу зоны нечувствительности, то выходной сигнал равен входному минус величина порога.
На рис. 9.5.2 показан пример использования блока Dead Zone
Рис. 9.5.2. Пример использования блока Dead Zone
9.5.3. Релейный блок Relay
Назначение:
Реализует релейную нелинейность.
Параметры:
Switch on point - Порог включения. Значение, при котором происходит включение реле.
Switch off point - Порог выключения. Значение, при котором происходит выключение реле.
Output when on - Величина выходного сигнала во включенном состоянии.
Output when off - Величина выходного сигнала в выключенном состоянии.
Выходной сигнал блока может принимать два значения. Одно из них соответствует включенному состоянию реле, второе - выключенному. Переход их одного состояния в другое происходит скачком при достижении входным сигналом порога включения или выключения реле. В том случае если пороги включения и выключения реле имеют разные значения, то блок реализует релейную характеристику с гистерезисом. При этом значение порога включения должно быть больше, чем значение порога выключения.
На рис. 9.5.3 показан пример использования блока Relay. На временных диаграммах видно, что включение реле происходит при достижении входным сигналом величины 0.5, а выключение при - 0.5.
Рис. 9.5.3. Пример использования блока Relay
9.5.4. Блок ограничения скорости изменения сигнала Rate Limiter
Назначение:
Блок обеспечивает ограничение скорости изменения сигнала (первой производной).
Параметры:
Rising slew rate - Уровень ограничения скорости при увеличении сигнала.
Falling slew rate - Уровень ограничения скорости при уменьшении сигнала.
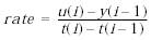
Вычисление производной сигнала выполняется по выражению:
,
где
u(i) - значение входного сигнала на текущем шаге,
t(i) - значение модельного времени на текущем шаге,
y(i-1) - значение выходного сигнала на предыдущем шаге,
t(i-1) - значение модельного времени на предыдущем шаге.
Вычисленное значение производной сравнивается со значениями уровней ограничения скорости Rising slew rate и Falling slew rate. Если значение производной больше, чем значение параметра Rising slew rate, то выходной сигнал блока вычисляется по выражению:
,
где R - уровень ограничения скорости при увеличении сигнала.
Если значение производной меньше, чем значение параметра Falling slew rate, то выходной сигнал блока вычисляется по выражению:
,
где F - уровень ограничения скорости при уменьшении сигнала.
Если значение производной лежит в пределах между нижним и верхним уровнями ограничения, то выходной сигнал блока равен входному:
.
На рис. 9.5.4 показан пример использования блока Rate Limiter, при подаче на его вход прямоугольного периодического сигнала.
Рис. 9.5.4. Пример использования блока Rate Limiter
















