Ответы на экзаменационные вопросы (1085983), страница 7
Текст из файла (страница 7)
в) сигнал подтверждения приёма данных;
г) сигнал "приёмник занят" – приём данных невозможен.
2) группа необязательных сигналов
а) "конец бумаги";
б) сигнал включения принтера;
в) сигнал "перевод строки";
г) сигнал "ошибка принтера";
д) сигнал "выбор принтера".
Принтер имеет восьмиразрядную ШД, пятиразрядную шину сигнала состояния, четырёхразрядную шину управления сигналов. Для использования данного интерфейса, стандартный порт должен иметь следующие регистры:
1) 8-разрядный регистр данных (РД) – для фиксирования входных данных;
2) 5-разрядный регистр признаков (РП) – отображает состояние принтера;
3
) 4-разрядный регистр управления (РУ) – обеспечивает задание направления передачи данных, задание режима прерывания, программное управление принтером.
***структура интерфейса***
***строб разрешает передачу данных***
Данный режим осуществляется по принципу квитирования.
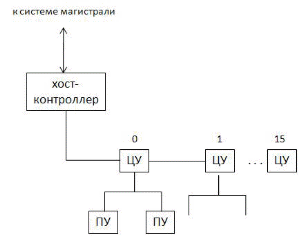
71. Интерфейс SCSI
Предназначен для подключения устройств памяти, последовательных устройств, стримеров, оптических дисков, принтеров, сканеров и т.д. – интерфейс широкого использования. (Первая версия стандартизированная в 1986г. – ANSI).
Структура интерфейса предполагает наличие нескольких типов устройств:
1. хост-контроллер – для связи подключаемых устройств с внутренней шиной компьютера;
2. целевое устройство – адаптер предназначен для подключения оконечных устройств к шине SCSI. Первый хост-контроллер может поддерживать до 16 целевых устройств;
3. каждое целевое устройство поддерживает до 8 оконечных устройств – передача информации может осуществляться тремя версиями сигналов:
a. линейная передача сигнала – соответствует ТТЛ уровню;
b. низковольтный дифференциальный способ передачи информации;
c. высоковольтный дифференциальный способ обмена информации.
Л
инейный способ: параллельная передача – 1÷2,4V; перпендикулярная передача – 0÷0,4V.
Дифференциальный способ:
Характеристики стандартных версий SCSI
Д
анный интерфейс может поддерживать очередь команд до 256 команд и обеспечивать независимость работы устройств друг от друга.
72. Последовательная версия интерфейса SCSI, которая называется SAS
Отличия:
1) меньшее количество сигнальных линий;
2) используется соединение точка-точка – устройства соединены между собой выделенным каналом – могут работать параллельно;
3) поддерживает большее число внешних устройств – max интерфейс может поддерживать до 16,5 тыс. устройств;
4) скорость передачи данных до 4Гб/с;
5) система команд совместима с командами SCSI;
6) электрически совместим с интерфейсом SATA;
7) нет необходимости выравнивания скорости – передача данных в параллельных линиях.
73. Последовательный интерфейс представлен портом SP, длина линий до нескольких сотен метров. Особенности: использует не ТТЛ уровни – единица кодируется в интервале -5÷-12V, логический ноль - +5÷+2V. Интервал -3÷5 – диапазон нечувствительности.
Обмен информацией осуществляться:
В синхронном режиме, в котором последовательность начинается с синхробайта, затем поток данных. Длительность определяется объёмом данных. Если данных нет, то синхронный интервал заполняется синхросигналами.
RS-232C – длина линий 15м, скорость передачи данных – 20 кб/с.
RS-485 – длина линий до 1200м, скорость передачи данных – 100 кб/с; используется дифференциальный способ передачи данных.
Интерфейс RS-232C
И
спользуется для подключения аппаратуры передающей или принимающей данные к оконечной аппаратуре каналов данных (модем).
Интерфейс токовая петля
Для кодирования информации используется не потенциал, а ток двухпроводной линии, соединяющий приёмник и передатчик и информацию кодирования уровня тока. (Логическая единица – ток 20 мА, логический ноль – отсутствие тока). Используется в измерительных системах – (разработан для измерительных устройств, для ядерных устройств).
В асинхронном режиме – информация передаётся побайтно по 8 разрядов. Блоку
данных предшествует стартовый бит, который запускает генератор тактового
импульса; обеспечивает синхронизацию передачи данных: имеется счётчик,
обнуляющийся задним фронтом стартового импульса. После передачи байта
формируется стоп-бит.
*
** временная диаграмма ***
В формате посылке может присутствовать бит контроля, используется контроль по
чётности или по нечётности. Стандартизированная скорость передачи данных – в
диапазоне 50 бит/с ÷ 115 кб/с.
Определяет стандарты:
- RS 232C (стык С2), длиной до 15 метров;
- RS 422, длиной до нескольких сотен метров (при 120 м. обмен до 1Мбит/с);
- RS 423А, при длине 1200 м. обмен до 1Кбит/с;
- RS 485.
74. USB интерфейс.
Общие требования:
1. Внешнее размещение портов;
2. Универсальный кабель с поддержкой питания;
3. Возможность подключения до 127 устройств;
4. Возможность безопасного подключения и извлечения устройств к компьютеру;
5. Поддержка устройств реального времени.
6. Скорость передачи не ниже 480 Мбит/с
7. Возможность реализации древовидного подключения устройств;
8. Кабель имеет 4 провода – 2 для передачи данных, другие 2 для питания – +5V и земля.
Соединение происходит по 4 жилам: две для передачи данных дифференциальным способом (парафазным кодом – одновременно прямым и обратным кодом), для облегчения считывания обмен осуществляется кадрами каждую ms.
Типы кадров:
1. Управляющие сигналы;
2. От устройств реального времени (непрерывный поток данных);
3. Кадры прерываний;
4. Кадры больших объёмов данных.
Структура USB подразумевает применение трёх типов устройств:
1. HOST – устройства, хозяева интерфейсов;
2. Разветвитель – HUB;
3. Обслуживаемое устройство.
*** структурная схема по архитектуре «звезда»***
Х
ост организует передачу команд и данных по шине, имеет две точки подключения и расположен на системной плате.
Функции хост-контроллера:
- подключение и удаление USB-устройств;
- управление потоком команд и данных между контроллером и устройствами;
- анализ состояния подключения устройств;
- электропитание устройств.
Контролер и ПО поддерживают следующие варианты взаимодействия:
1. Конфигурирование устройства;
2. Опрос состояния;
3. Синхронный и асинхронный обмен данными;
4. Управление питанием.
Хаб – является кабельным концентратором. Обеспечивает:
a. преобразование одного входа точки подключения в несколько входных – имеет один выходящий порт и несколько нисходящих;
b. подключение либо к корневому узлу, либо к хабу верхнего уровня. Функции хаба
1) распознавание подключение устройства к портам или отключение от них;
2) управление питания нисходящих хабов;
3) нисходящий хаб может быть разрешён, запрещён и сконфигурирован на полную или ограниченную скорость.
Обслуживаемое устройство обеспечивает приём и передачу данных. Это устройство IO, мышь, планшет, клавиатура, сканер, световое перо, принтеры, внешняя память, звуковые устройства.
75. Физические характеристики USB шины
1. Передача информации осуществляется дифференциальным способом – одновременно передаются прямой и инверсный сигналы;
*** структурная схема ***
2. Напряжение питание +5В, логические уровни соответствуют ТТЛ логике;
3. Приёмники должны выдерживать перепады -0,5В +4В;
4. Передатчики с автовыключением от линий (переходящие в третье, высокоимпедансное состояние, высокое входное сопротивление);
И
нтерфейс поддерживает следующие состояния:
- режим передачи;
- выход из ждущего режима;
- сигнал начала пакета данных;
- сигнал конца передачи данных;
- сигнал подключения/отключения устройства от порта;
- сигнал общего сброса.
5. Скорость передачи данных:
- порядка 12Мбит/с, при длине 5 метров;
- порядка 1,5Мбит/с, при длине 3 метра;
68. Ускоренный графический AGP
Я
вляется расширением шины PCI для обеспечения обработки больших массивов данных 3-хмерной графики. Обеспечивает прямое соединение графической подсистемы и системы памяти.
Интерфейс обеспечивает пропускную способность порядка 2Гб/с.
Представляет собой 32-разрядную шину, работающую на частоте 66/133 МГц, за счёт чего обеспечивает пропускную способность.
Высокоскоростной обмен данных:
1. конвейеризация операции обращении к памяти последовательных адресов, что позволяет получить непрерывный поток ответов. Очередь может составлять до 256 адресов;
2. демультиплексирование (D-MX) ША и ШД;
-
сдвоенная или учетверённая передача данных.
21. Растровый способ формирования монохромного и цветного изображения на экране ЭЛТ. Разрешающая способность монитора. Параметры дисплея, определяющие его разрешающую способность. Структура и назначение видеоадаптера. Расчет параметров видеосистемы.
Дисплеи могут быть двух типов:
1) на базе электронно-лучевых трубок (ЭЛТ);
2) на базе матрицы жидких кристаллов.
Характеристики дисплеев :
1. Диагональ экрана.
2. Максимальное разрешение экрана – суммарное количество пикселов, выводимых на экран.
3. Межпиксельное расстояние/размер зерна (0,25 мм).
4. Частота регенерации изображения/частота смены кадров.
5. Частота строчной развёртки.
6. Полоса пропускания видеосигнала – максимальное значение частоты строчного сигнала, воспринимаемое системой.
7. Способ формирования кадров:
-- из двух полукадров – сначала чётные, затем нечётные строки кадра;
-- FullFrame – вывод кадра полностью, в один период.
78. Строение ЭЛТ дисплеев.
Для ЭЛТ изображение формируется попиксельно. Цветное изображение формируется методом слияния электролучей, падающих на 3 разных светящихся покрытия – RGB.
Чтобы луч попадал в нужную точку, экран покрывается опертурной решёткой. Размер "дырки" определяется размером пикселя. Формат изображения = число точек в строке
(например 1024х768, где 1024 – количество точек, а 768 – число строк).
Для ЭЛТ необходимо учесть время перемещения со строки на строку:
Время возврата луча по строкам = время возврата одной строки*N-1 – Tвозвр. строк = tвозвр.стр.*(N-1)
Время формирования кадра суммы = M*время пикселя*N + время возврата по одной строке*(N-1) + время возврата по кадру
Tр.к. = M*tпикс.*N + tвозвр. 1стр.*(N-1) + tвозвр. по кадру
Время выборки из видео ЗУ должно быть не больше, чем Tр.к.
Пример. Расчёт времени формирования кадра.
Формат = N * M
Время формирования кадра t пикс
Время обратного хода луча по строке t стр
Время обратного хода луча по экрану t обр
Формирование кадра T кадра = t пикс * N * M + t стр (N-1) + t обр
79. Режимы работы и получение цветного изображения.
Формирование кадра осуществляется смешением составляющих цвета RGB. Поэтому применяется 3 электронные пушки и 3 слоя люминофора основных цветов.
















