книга2 с254-338 (1085854), страница 11
Текст из файла (страница 11)
307
В области прочности сварных соединений и элементов конструкций имеются примеры использования ЭВМ, работающих в поисково-информационном режиме. В ИЭС им. Е. О. Патона разработана система хранения и использования экспериментальных данных о разнообразных механических свойствах металлов и сварных соединений. Информация заранее накапливается в памяти маши-
Рис. 23.1. Треугольные элементы в методе конечных элементов
ны по мере поступления экспериментальных данных, а в случае необходимости машина выдает при запросе данные о механических свойствах конкретного металла или металла, близкого к нему по химическому составу.
Важна роль ЭВМ в решениях задач, которые не могут быть
осуществлены без их использования. Это относится, например,
к методу конечных элементов для определения напряженно-
деформированного состояния сложных по форме тел в упругой или
пластической стадии их нагружения. В этом методе тело разбива
ется на части, часто на треугольники, размер которых принимает
ся тем меньше, чем больше ожидается градиент напряжений в дан
ной зоне тела. Например, в брусе вблизи надреза (рис. 23.1,а) тре
угольники имеют наименьший размер. Поле напряжений и дефор
маций в пределах каждого треугольника принимается обычно од
нородным, т. е. во всех точках треугольника напряжения и дефор
мации одинаковы. -
.На рис. 23.1,6 показан отдельный треугольный элемент с узлами (вершинами)
по сторонам которого действуют некоторые поверхностные нагрузки
создающие внутри треугольного элемента напряжения
Образно можно представить, что стороны треугольника
являются жесткими балками, ко-308
торые прикреплены к телу треугольника. Тогда действие сил
может быть заменено действием сосредоточенных сил, приложенных по концам этих балок,
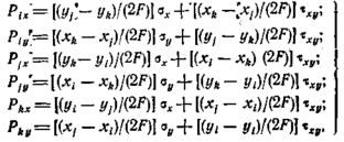
(рис. 23.1,в). Если силы Q в каждом узле сложить, а затем разложить по осям х и у, то получим систему сил Р (рис. 23.1,г). Силы Р и напряжения
при условии, что толщина треугольного элемента равна единице, связаны между собой следующими зависимостями:
— площадь треугольника
" При нагружении тела внешними силами, например
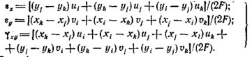
..., Р5 (рис. 23.1,а), треугольные элементы деформируются, а их узловые точки перемещаются. Тогда
имеет перемещение
в направлении оси х и перемещение
в направлении оси у. Соответственно узлы
и
имеют перемещения
Зная перемещения узловых точек, можно вычислить деформации треугольного элемента:
(23.2)
По
деформациям
можно вычислить также напряже-
ния
, В стадии упругой деформации для плоского напря-
где Е — модуль упругости;
—коэффициент Пуассона.
Если известны перемещения всех узловых точек, то можно по формулам (23.2) и (23.3) определить деформации и напряжения во всех элементах (треугольниках) тела. Векторная сумма сил в каждой узловой точке равна нулю. Суммы внутренних сил в узловых точках 1,...,5 (рис. 23.1,с), к которым приложены внешние силы, равны соответственно силам
, ...,
, Если число узловых точек М, то число неизвестных компонентов перемещений и и v будет 2N. Можно составить 2N уравнений равновесия для
309
,, -t
N узлов, проецируя силы на оси х и у. Для узловых точек без внешних сил правая часть уравнений будет равна нулю; для точек /, 2, 3, 4, 5 в правой части уравнений равновесия будут внешние силы.
Если в формулы (23.1) вместо
и вместо
подставить их значения из формул (23.1) и (23.2), то силы Р могут быть выражены через перемещения узлов и координаты их точек. Для N узлов имеем систему 2N уравнений равновесия для определения неизвестных перемещений. При решении практических задач число неизвестных и число уравнений могут оказаться большими. Решение таких систем уравнений выполняют методом Гаусса на мощных ЭВМ.
При решении упругопластических задач методом конечных элементов процедура получения решений значительно удлиняется
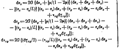
вследствие нелинейной зависимости между напряжениями и деформациями. Это не позволяет пользоваться соотношениями (23.3). Связь между перемещениями и деформациями в пластической области, та же, что и в упругой, по формуле (23.2). Соотношения (23.1) также остаются без изменений. Если состояние какого-либо треугольного элемента соответствует точке А (рис. 23.2,а), то лишь на бесконечно малом участке АВ зависимость между
может
рассматриваться как линейная. Бесконечно малые приращения напряжений
находятся в линейной зависимости от
где
модуль упрочнения, содержание которого понятно из рис. 23.2,а, б;
— напряжения в конечном элементе, достигнутые к рассматриваемому моменту времени;
—среднее напряжение, равное
для плоского напряженного состояния.
Процесс нагружения должен быть разбит на большое число шагов приращения нагрузки. Нагрузка прикладывается порциями
которые вызывают небольшие приращения деформаций
На каждом шаге задача решается аналогично упругой, но каждый раз с новыми значениями
в отдельных
треугольных элементах. Продолжительность решения пластических задач обычно в десятки раз больше, чем упругих. Если рассматривать диаграмму
для идеального упругопластического металла, то
—предел текучести металла. При исследовании напряженно-деформированного состояния пластин при сварке задача усложняется тем, что механические свойства металла зависят от температуры. Это приводит к некоторому видоизменению выражений (23.4).
ЭВМ широко используется и для решения других задач, например определения общей и местной устойчивости с учетом и без учета остаточных напряжений, исследования релаксации напряжений при высоких температурах в связи с ползучестью металла, определения упругопластических деформаций элементов сварных конструкций при сложении рабочих и остаточных напряжений, расчетах сварочных напряжений при разнообразных условиях выполнения сварных соединений.
§ 2. Задачи оптимизации параметров проектируемых конструкций
Задача оптимального проектирования отдельной конструкции включает в себя комплекс различных оптимизационных проблем. Сюда входит проблема выбора конструктивной схемы, определение рациональных геометрических размеров, оптимальный подбор элементов, составляющих конструкцию, и, наконец, подбор сечений, расчет стыков и узлов.
Примеры оптимизационных задач:
-
Оптимизация сечений двутавра, швеллера, уголка.
-
Рациональное распределение материала в конструкциях статически неопределимых ферм. В этих фермах изменение сечений элементов влечет за собой перераспределение усилий между стержнями. Нужно выяснить, как распорядиться сечениями стержней, чтобы при удовлетворении условий прочности и устойчивости масса фермы оказалась минимальной.
-
Оптимизация основных геометрических размеров конструкций. При заданной нагрузке минимизируется теоретический вес
311
конструкции путем выбора соответствующей структуры конструкций, построенной из стандартных элементов.
4. Оптимизация технико-экономических показателей и выбор параметров конструкции и ее элементов с точки зрения оптимального расхода металла.
Для решения любой задачи оптимизации важна типизация элементов конструкции. Простейшими задачами унификации и типизации являются задачи о выборе ряда оптимальных параметров для серии однотипных конструкций.
В задаче оптимизации определяется совокупность средств и действий, необходимых для достижения поставленной цели. Поиск путей достижения цели составляет основную задачу теории исследования операций.
Под операцией понимается совокупность мероприятий, направленных на решение задачи. Одной из особенностей исследования операций является системный подход к рассмотрению предмета исследования. При системном подходе элементы системы (изделия) рассматриваются во взаимосвязи друг с другом. При этом выявляются наиболее характерные факторы. Затем намечают план исследования, в частности устанавливаются последовательность и средства для решения задачи.
Основной принцип методологии исследования операций состоит в создании модели операции и проведении исследований на этой модели. Математические модели описывают структуру изучаемой системы в количественных терминах. При разработке модели всегда возникают два противоречивых требования: как можно точнее описать в модели исследуемый объект и одновременно получить модель достаточно простую, позволяющую решить задачу до конца. Обычно операционные модели имеют вид уравнения, выражающего общий критерий функционирования системы. Количественно критерий зависит от учитываемых факторов, которые принято делить на две группы: неуправляемые, иначе их называют параметрами системы, — они обычно известны, и управляемые— переменные факторы, регулируя значения которых можно улучшить значение общего критерия функционирования системы. Иногда в системе учитывают случайные и не полностью определенные факторы. Задача исследования состоит в установлении значений управляемых факторов таким образом, чтобы общий критерий функционирования достиг наилучшего значения. В модель операции могут входить ограничения на управляемые переменные. Очень часто, если в задаче оптимизируется несколько критериев, требуется получить решение, не безупречно оптимальное по каждому критерию, а приемлемое сразу по нескольким критериям. Существенной частью исследования операций является поиск и принятие решения, разработка программных алгоритмов, реализующих группу численных методов решения оптимизационных задач. Оптимизационная задача представляется как задача минимизации целевой функции многих переменных.
Пусть дана непрерывная и дважды дифференцируемая в неко-
312
торой области функция п переменных
Требуется















