книга2 с254-338 (1085854), страница 17
Текст из файла (страница 17)
Ребра располагаются на своих носителях, являющихся линиями пересечения соседних поверхностей — носителей граней. Упорядоченные последовательности ребер объединяются в граничные контуры
Таким образом, вся поверхность детали расчленяется на грани. Связи между гранями определяются с помощью ребер и вершин. Следовательно, если возможно математически описать эти элементы, то возможно получить математическую модель геометрического образа детали. Иерархию элементов в модели можно представить в виде некоторого графа рис.
а. Висячим вершинам
графа соответствуют понятия базовых, нерас-члененных элементов — вершин, носителей граней и ребер. Промежуточным вершинам графа
соответствуют понятия сложных расчленяемых элементов — ребер,
337
граничных контуров, граней. Для многогранников структура графа упрощается, так как все ребра прямолинейные и можно исключить понятие носителя ребра (рис. 23.12,6).
Носителями граней большинства машиностроительных изделий служат плоскости, поверхности второго порядка — конус, цилиндр, сфера. Иногда встречаются поверхности четвертого порядка — тор, поверхности вращения. Уравнения перечисленных поверхностей возможно представить в аналитической форме:
или
R=r(u, v).
Если рассматривать конкретные точки тела, то из этих уравнений могут быть получены уравнения ребер, координаты вершин ребер. Для обработки в ЭВМ наиболее удобно эти зависимости представить в виде кортежа коэффициентов, входящих в уравнение носителя. Например, в уравнении плоскости
кортежем коэффициентов является
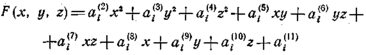
Для поверхности второго порядка
кортежем коэффициентов является
. В обоих записях
коэффициенту
отведена роль кодирования носителя
т. е. его выделяют специальным индексом из группы остальных носителей. В уравнении прямой
кор-
теж коэффициентов запишем так: (код
, В описании
вершины V кортежем является тройка координат точки
Сокращенная запись математических моделей носителя грани, ребра, вершины через кортеж коэффициентов соответственно имеет вид
:. С учетом моделей носителя возможно записать математические модели (ММ) ребра и грани:
= 1, 2, ..., где 5Рр и SPr — системные параметры (указатели начальной и конечной точек ребра, указатели последовательности ребер
, образующих граничные контуры грани); Мн.р — ММ носителя ребра;
—ММ начальной и конечной точек ребра; ОР — код ориентации (положительной или отрицательной) незамкнутого ребра, принадлежащего замкнутому криволинейному носителю;
— ММ носителя грани
—ММ ребер
1, 2, ..., s= 1, 2, ...). В памяти ЭВМ математическая модель изделия (детали) записывается в виде массивов информации, полученных с помощью иерархической списковой структуры данных. В эти данные входят параметры главной системы координат изделия, кортежи ММ вершин, носителей граней и ребер. Подробные сведения о подготовке данных для ЭВМ по ММ машиностроительного изделия изложены в работе [39]. 338















