Схема с общим эмиттером (1085133)
Текст из файла
| Схема с общим эмиттером. Схема усилителя представлена на рисунке 3.6. Назначения элементов аналогичны представленной ранее схемы. |
| Расчет по постоянному току. Режим работы усилителя по постоянному току определяется элементами EК, RК, RБ и параметрами транзистора VT.
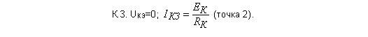
По выходным характеристикам транзистора, с учетом ограничений (см. Рис. 3.7), выбирают положение нагрузочной линии по постоянному току. ЕК рекомендуют брать порядка (0.8 – 0.9)UКэmax. Нагрузочную линию строят по двум точкам (Х.Х. и К.З.) Из уравнения (1): Х.Х. IК=0; UКЭ=ЕК, (точка 1);
Для маломощных транзисторов значения сопротивлений RК и RБ составляют ориентировочно единицы и десятки кОм соответственно. |
| Расчет по переменному току.
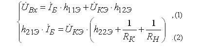
Описав эту модель уравнениями в соответствии с законами электротехники определяют: |
| Определение входного сопротивления
|
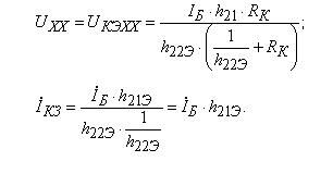
| Определение коэффициента усиления по напряжению
Предположим, что входное и выходное напряжения синфазны (пусть (+) по отношению к общей шине распложен как показано на Рис. 3.10). источник тока или ЭДС выходной цепи направлен так, чтобы обеспечить на выходе (+), в данном случае вверх. Теперь уточним направление источника тока (Iб·h21Э). В соответствии с физическими принципами работы транзистора. Входное напряжение получило (+) приращение на базу относительно эмиттера. Следовательно транзистор закрывается и ток коллектора будет уменьшатся, т.е. приращение тока коллектора будет отрицательным, и направленным от коллектора к эмиттеру. Поскольку это противоречит формально проставленному направлению источника тока, то для соответствия необходимо изменить знак перед током (-Iб·h21Э). Если противоречия нет – знак перед значением источника тока остается положительным. Формула для коэффициента усиления усилителя, в соответствии с этой методикой, дает знак "+" или "-", что указывает на фазовые соотношения усилителя.
|
| Определение коэффициента усиления по току.
|
| Определение выходного сопротивления.
|
Характеристики
Тип файла документ
Документы такого типа открываются такими программами, как Microsoft Office Word на компьютерах Windows, Apple Pages на компьютерах Mac, Open Office - бесплатная альтернатива на различных платформах, в том числе Linux. Наиболее простым и современным решением будут Google документы, так как открываются онлайн без скачивания прямо в браузере на любой платформе. Существуют российские качественные аналоги, например от Яндекса.
Будьте внимательны на мобильных устройствах, так как там используются упрощённый функционал даже в официальном приложении от Microsoft, поэтому для просмотра скачивайте PDF-версию. А если нужно редактировать файл, то используйте оригинальный файл.
Файлы такого типа обычно разбиты на страницы, а текст может быть форматированным (жирный, курсив, выбор шрифта, таблицы и т.п.), а также в него можно добавлять изображения. Формат идеально подходит для рефератов, докладов и РПЗ курсовых проектов, которые необходимо распечатать. Кстати перед печатью также сохраняйте файл в PDF, так как принтер может начудить со шрифтами.















