042.D - Триггер (1085117)
Текст из файла
D - Триггер |
Начало формы
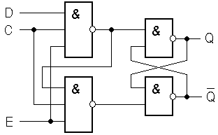
| D - триггер имеет таблицу состояния в которой отсутствует состояние соответствующее режиму хранения.
D - триггеры бывают только синхронными и в соответствии с таблицей состояния они после поступления синхросигнала устанавливаются в состояние Qn+1 = D. Это выражение является характеристическим уравнением D - триггера. D - триггер выполняет функцию задержки информации поступающей на единственный управляющий вход D на один период синхросигнала (такт машинного времени). В микроэлектронной аппаратуре широко используются как D - триггеры синхронизируемые фронтом так и уровнем. D - триггер на элементах "И-НЕ"; "ИЛИ-НЕ": Часто используют D - триггер с дополнительным управляющим входом Е: |
Характеристики
Тип файла документ
Документы такого типа открываются такими программами, как Microsoft Office Word на компьютерах Windows, Apple Pages на компьютерах Mac, Open Office - бесплатная альтернатива на различных платформах, в том числе Linux. Наиболее простым и современным решением будут Google документы, так как открываются онлайн без скачивания прямо в браузере на любой платформе. Существуют российские качественные аналоги, например от Яндекса.
Будьте внимательны на мобильных устройствах, так как там используются упрощённый функционал даже в официальном приложении от Microsoft, поэтому для просмотра скачивайте PDF-версию. А если нужно редактировать файл, то используйте оригинальный файл.
Файлы такого типа обычно разбиты на страницы, а текст может быть форматированным (жирный, курсив, выбор шрифта, таблицы и т.п.), а также в него можно добавлять изображения. Формат идеально подходит для рефератов, докладов и РПЗ курсовых проектов, которые необходимо распечатать. Кстати перед печатью также сохраняйте файл в PDF, так как принтер может начудить со шрифтами.















