Лабораторная работа3 (1083767)
Текст из файла
Лабораторная работа №3
Сравнительный анализ различных методов восстановления
непрерывных сигналов по их дискретным отсчетам
Цель работы:
- изучение и сравнительный анализ методов восстановления непрерывных сигналов по их дискретным отсчетам;
- приобретение навыков использования методов восстановления сигналов;
- закрепление навыков работы на ПК.
Содержание работы:
Восстановление различных сигналов с использованием:
- ряда Котельникова;
- интерполяционного многочлена Лагранжа;
- интерполирующих сплайн – функций локального типа 1-4 степени гладкости.
Ход работы:
1. Исследование базисных функций различных методов интерполяции
N=4
N=8
N=16
2
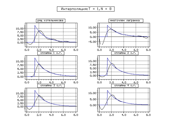
. Восстановление прямоугольного импульса.
Табл.1. Данные для описания сигналов
| № | s(t) | Ts | M |
| 1 | rect((t-6)/5) | 12 | 11 |
| 2 | rect((t-10)/10) | 20 | 20 |
| 3 | rect((t-20)/20) | 40 | 40 |
2.
Табл.2. Результаты измерений
| Метод | Котельникова | Сплайн 1 с. г. | Сплайн 2 с. г. | Сплайн 3 с. г. | Сплайн 4 с. г. | ||||||||||
| № | 1 | 2 | 3 | 1 | 2 | 3 | 1 | 2 | 3 | 1 | 2 | 3 | 1 | 2 | 3 |
| Δ(-)Ф | 0.16 | 0.12 | 0.14 | 0.4 | 0.4 | 0.4 | 0.8 | 0.8 | 0.8 | 0.6 | 0.6 | 0.6 | 0.14 | 0.10 | 0.10 |
| Δ(+)Ф | 0.10 | 0.16 | 0.14 | 0.4 | 0.4 | 0.4 | 0.8 | 0.8 | 0.8 | 0.6 | 0.6 | 0.6 | 0.11 | 0.10 | 0.10 |
| Δ(-)С | 0.10 | 0.16 | 0.14 | 0.4 | 0.4 | 0.4 | 0.8 | 0.8 | 0.8 | 0.6 | 0.6 | 0.6 | 0.11 | 0.10 | 0.10 |
| Δ(+)С | 0.16 | 0.12 | 0.14 | 0.4 | 0.4 | 0.4 | 0.8 | 0.8 | 0.8 | 0.6 | 0.6 | 0.6 | 0.14 | 0.10 | 0.10 |
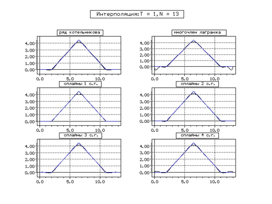
3. Восстановление симметричного треугольного импульса
Табл.3. Данные для описания сигналов
| № | S(t) | Ts | M |
| 1 | 2*(1-abs(t-4)/2)*rect((t-4)/4) | 8 | 9 |
| 2 | 3*(1-abs(t-5)/3)*rect((t-5)/6) | 10 | 11 |
| 3 | 3.5*(1-2*abs(t-5.5)/7)*rect((t-5.5)/7) | 11 | 12 |
| 4 | 4.5*(1-2*abs(t-6.5)/9)*rect((t-6.5)/9) | 13 | 14 |
1.
4.
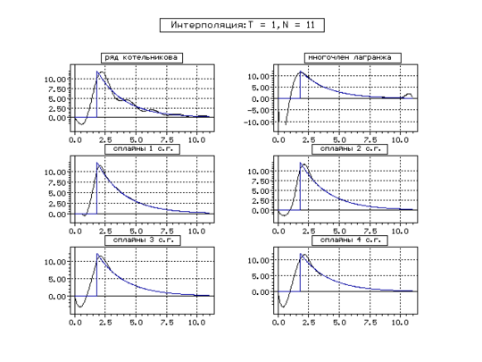
4. Восстановление экспоненциального импульса
Табл.4. Данные для описания сигналов
| № | s(t) | Ts | M |
| 1 | (rect((t-20)/30))*exp(-(t-20)/6) | 30 | 9 |
| 2 | (rect((t-20)/30))*exp(-(t-20)/6) | 30 | 12 |
| 3 | (rect((t-20)/30))*exp(-(t-20)/6) | 30 | 19 |
| 4 | (rect((t-20)/30))*exp(-(t-20)/6) | 30 | 31 |
| 5 | (rect((t-20)/30))*exp(-(t-20)/6) | 30 | 49 |
1.
| s(0) | s(1) | s(2) | s(3) | s(4) | s(5) | s(6) | s(7) | s(8) |
| 0.000 | 0.000 | 8.031 | 4.298 | 2.301 | 1.231 | .6592 | .3528 | .1888 |
2.
| s(0) | s(1) | s(2) | s(3) | s(4) | s(5) | s(6) | s(7) | s(8) | s(9) | s(10) | s(11) |
| 0.000 | 0.000 | 11.29 | 7.168 | 4.550 | 2.888 | 1.833 | 1.163 | .7385 | .4688 | .2975 | .1888 |
3.
| s(0) | s(1) | s(2) | s(3) | s(4) | s(5) | s(6) | s(7) | s(8) | s(9) | s(10) | s(11) |
| 0.000 | 0.000 | 0.000 | 12.18 | 9.227 | 6.989 | 5.294 | 4.010 | 3.037 | 2.301 | 1.742 | 1.320 |
| s(12) | s(13) | s(14) | s(15) | s(16) | s(17) | s(18) |
| 1.000 | .7574 | .5737 | .4346 | .3291 | .2493 | .1888 |
4.
| s(0) | s(1) | s(2) | s(3) | s(4) | s(5) | s(6) | s(7) | s(8) | s(9) | s(10) | s(11) | s(12) |
| 0.000 | 0.000 | 0.000 | 0.000 | 0.000 | 12.18 | 10.31 | 8.729 | 7.389 | 6.254 | 5.294 | 4.481 | 3.793 |
| s(13) | s(14) | s(15) | s(16) | s(17) | s(18) | s(19) | s(20) | s(21) | s(22) | s(23) | s(24) | s(25) |
| 3.211 | 2.718 | 2.301 | 1.947 | 1.648 | 1.395 | 1.181 | 1.000 | .8486 | .7165 | .6065 | .5134 | .4346 |
Характеристики
Тип файла документ
Документы такого типа открываются такими программами, как Microsoft Office Word на компьютерах Windows, Apple Pages на компьютерах Mac, Open Office - бесплатная альтернатива на различных платформах, в том числе Linux. Наиболее простым и современным решением будут Google документы, так как открываются онлайн без скачивания прямо в браузере на любой платформе. Существуют российские качественные аналоги, например от Яндекса.
Будьте внимательны на мобильных устройствах, так как там используются упрощённый функционал даже в официальном приложении от Microsoft, поэтому для просмотра скачивайте PDF-версию. А если нужно редактировать файл, то используйте оригинальный файл.
Файлы такого типа обычно разбиты на страницы, а текст может быть форматированным (жирный, курсив, выбор шрифта, таблицы и т.п.), а также в него можно добавлять изображения. Формат идеально подходит для рефератов, докладов и РПЗ курсовых проектов, которые необходимо распечатать. Кстати перед печатью также сохраняйте файл в PDF, так как принтер может начудить со шрифтами.
















