ТОЭ-Задача 3.6 (1082569)
Текст из файла
ТОЭ. Переходные процессы в линейных электрических цепях, спектральный метод, линии с распределёнными параметрами, синтез цепей. Задача 3.6 5
ГОСУДАРСТВЕННЫЙ КОМИТЕТ РОССИЙСКОЙ ФЕДЕРАЦИИ
ПО ВЫСШЕМУ ОБРАЗОВАНИЮ
МОСКОВСКИЙ ГОСУДАРСТВЕННЫЙ ИНСТИТУТ РАДИОТЕХНИКИ, ЭЛЕКТРОНИКИ И АВТОМАТИКИ
(ТЕХНИЧЕСКИЙ УНИВЕРСИТЕТ)
ФАКУЛЬТЕТ: ВАВТ
ГРУППА: ВСС-2-97
СТУДЕНТ: ГОЛИЦЫН А. Ф.
РУКОВОДИТЕЛЬ: ЕЙВИН В. И.
Москва, 2000
Вариант №81
По данным в таблице 3.5 параметрам линии
, частоте
, длине линии
, комплексным значениям напряжения
и тока
в конце линии, сопротивлению нагрузки
требуется:
-
Рассчитать напряжение
и ток
в начале линии, активную
и полную
мощности в начале и конце линии, а также КПД линии. -
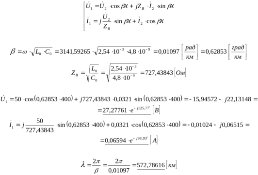
Полагая, что линия п.1 стала линией без потерь
, а нагрузка на конце линии стала активной и равной модулю комплексной нагрузки в п.1, определить напряжение
и ток
в начале линии, а также длину электромагнитной волны
. -
Для линии без потерь п.2 построить график распределения действующего значения напряжения вдоль линии в функции координаты
.
Таблица 3. 5
-
Расчёт напряжения
и тока
в начале линии, активной
и полной
мощности в начале и конце линии, а также КПД линии.
-
График распределения действующего значения напряжения вдоль линии в функции координаты
для линии без потерь.
| 0 | 30 | 60 | 90 | 120 | 150 | 180 | 210 | 240 | 252 | |
| 0 | 48 | 96 | 144 | 192 | 240 | 288 | 336 | 384 | 400 | |
| 50 | 45 | 32 | 23 | 32 | 45 | 50 | 45 | 32 | 27 |
Характеристики
Тип файла документ
Документы такого типа открываются такими программами, как Microsoft Office Word на компьютерах Windows, Apple Pages на компьютерах Mac, Open Office - бесплатная альтернатива на различных платформах, в том числе Linux. Наиболее простым и современным решением будут Google документы, так как открываются онлайн без скачивания прямо в браузере на любой платформе. Существуют российские качественные аналоги, например от Яндекса.
Будьте внимательны на мобильных устройствах, так как там используются упрощённый функционал даже в официальном приложении от Microsoft, поэтому для просмотра скачивайте PDF-версию. А если нужно редактировать файл, то используйте оригинальный файл.
Файлы такого типа обычно разбиты на страницы, а текст может быть форматированным (жирный, курсив, выбор шрифта, таблицы и т.п.), а также в него можно добавлять изображения. Формат идеально подходит для рефератов, докладов и РПЗ курсовых проектов, которые необходимо распечатать. Кстати перед печатью также сохраняйте файл в PDF, так как принтер может начудить со шрифтами.
















