ТОЭ-Задача 3.1 (1082565)
Текст из файла
ТОЭ. Переходные процессы в линейных электрических цепях, спектральный метод, линии с распределёнными параметрами, синтез цепей. Задача 3.1 7
ГОСУДАРСТВЕННЫЙ КОМИТЕТ РОССИЙСКОЙ ФЕДЕРАЦИИ
ПО ВЫСШЕМУ ОБРАЗОВАНИЮ
МОСКОВСКИЙ ГОСУДАРСТВЕННЫЙ ИНСТИТУТ РАДИОТЕХНИКИ, ЭЛЕКТРОНИКИ И АВТОМАТИКИ
(ТЕХНИЧЕСКИЙ УНИВЕРСИТЕТ)
ФАКУЛЬТЕТ: ВАВТ
ГРУППА: ВСС-2-97
СТУДЕНТ: ГОЛИЦЫН А. Ф.
РУКОВОДИТЕЛЬ: ЕЙВИН В. И.
Москва, 2000
Вариант №81
Дана электрическая цепь, в которой происходит коммутация. В цепи действует постоянная ЭДС
. Параметры цепи приведены в таблице 3.1.
Рассмотреть переходный процесс в цепи второго порядка, когда
, т.е. участок
схемы закорочен, и когда
, т.е. ветвь
с конденсатором
разомкнута. При вычерчивании схемы элементы должны отсутствовать. Определить закон изменения во времени указанной в таблице величины (тока или напряжения).
Задачу решить двумя методами: классическим и операторным. На основании полученного аналитического выражения требуется построить график изменения искомой величины в функции времени в интервале от
до
, где
– меньший по модулю корень характеристического уравнения.
Таблица 3. 1
| Рис. | E, В | L1, мГн | С1, мкФ | R1 | R2 | R3 | R4 | Определить |
| Ом | ||||||||
| 3.5 | 100 | 1 | 10 | 20 | 15 | 5 | 2 | i |
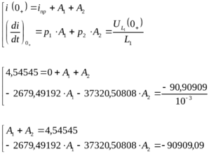
Классический метод
-
Составление характеристического уравнения и определение его корней.
Операторный метод
Применяем теорему разложения:
График изменения тока
в функции времени в интервале от
до
Характеристики
Тип файла документ
Документы такого типа открываются такими программами, как Microsoft Office Word на компьютерах Windows, Apple Pages на компьютерах Mac, Open Office - бесплатная альтернатива на различных платформах, в том числе Linux. Наиболее простым и современным решением будут Google документы, так как открываются онлайн без скачивания прямо в браузере на любой платформе. Существуют российские качественные аналоги, например от Яндекса.
Будьте внимательны на мобильных устройствах, так как там используются упрощённый функционал даже в официальном приложении от Microsoft, поэтому для просмотра скачивайте PDF-версию. А если нужно редактировать файл, то используйте оригинальный файл.
Файлы такого типа обычно разбиты на страницы, а текст может быть форматированным (жирный, курсив, выбор шрифта, таблицы и т.п.), а также в него можно добавлять изображения. Формат идеально подходит для рефератов, докладов и РПЗ курсовых проектов, которые необходимо распечатать. Кстати перед печатью также сохраняйте файл в PDF, так как принтер может начудить со шрифтами.
















