toe4-1var51 (1082550)
Текст из файла
Халилов Анатолий ВСС 2-97 МИРЭА 2000г.
МОСКОВСКИЙ ГОСУДАРСТВЕННЫЙ ИНСТИТУТ РАДИОТЕХНИКИ, ЭЛЕКТРОНИКИ И АВТОМАТИКИ
(ТЕХНИЧЕСКИЙ УНИВЕРСИТЕТ)
Контрольная работа № 4.1
по предмету
« Электротехника »
студента группы ВСС 2-97
Халилова Анатолия
Москва, 2000 г.
Вариант 51
-
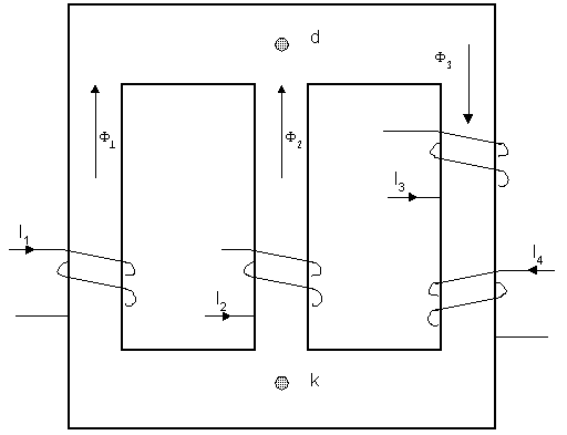
Рассчитать магнитную цепь методом двух узлов и определить величины I2, Ф1.
-
Для принятых в п.1 положительных направлений потоков и заданного направления МДС составить систему уравнений по законам Кирхгофа.
Дано:
| l1,см | S1 см2 | 1 | I1, А | l2,см | S2 см2 | 2 | I2, А | l3,см | S3 см2 | 3 | I3, А | 4 | I4 A | l | доп.усл |
| 10 | 1,92 | 100 | - | 4,5 | 1,015 | 200 | 0,1 | 14 | 1,26 | 68 | 0,2 | 60 | 0,1 | -- | Ф1=25*10-5 |
Найти
I1 –? , Ф2 -?.
М
агнитные свойства стали
Для данной задачи
по вышеприведённым формулам рассчитаем значения Ф2, Ф3, Um2, Um3, Umdk2, Umdk3 данные расчётов в таблице 1.1.Таблица 1.1.
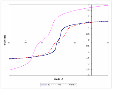
Построим Вебер-Амперную характеристику.
| H | B | Ф1 | Ф2 | Ф3 | Um1 | Um2 | Um3 | Umdk2 | Umdk3 | ||||||||||
| 0 | 0 | 0 | 0 | 0 | 0 | 0 | 0 | ||||||||||||
| -1200 | -1.6 | -3.072 | -1.624 | -2.016 | -12 | -54 | -168 | -74 | -187.6 | ||||||||||
| -800 | -1.6 | -3.014 | -1.594 | -1.978 | -8 | -36 | -112 | -56 | -131.6 | ||||||||||
| -600 | -1.5 | -2.938 | -1.553 | -1.928 | -6 | -27 | -84 | -47 | -103.6 | ||||||||||
| -400 | -1.5 | -2.822 | -1.492 | -1.852 | -4 | -18 | -56 | -38 | -75.6 | ||||||||||
| -200 | -1.3 | -2.458 | -1.299 | -1.613 | -2 | -9 | -28 | -29 | -47.6 | ||||||||||
| -120 | -1.1 | -2.189 | -1.157 | -1.436 | -1.2 | -5.4 | -17 | -25.4 | -36.4 | ||||||||||
| -80 | -1 | -1.958 | -1.035 | -1.285 | -0.8 | -3.6 | -11 | -23.6 | -30.8 | ||||||||||
| -60 | -0.9 | -1.786 | -0.944 | -1.172 | -0.6 | -2.7 | -8.4 | -22.7 | -28 | ||||||||||
| -40 | -0.8 | -1.44 | -0.761 | -0.945 | -0.4 | -1.8 | -5.6 | -21.8 | -25.2 | ||||||||||
| -20 | -0.2 | -0.422 | -0.223 | -0.277 | -0.2 | -0.9 | -2.8 | -20.9 | -22.4 | ||||||||||
| 0 | 0 | 0 | 0 | 0 | 0 | 0 | 0 | -20 | -19.6 | ||||||||||
| 20 | 0.22 | 0.422 | 0.223 | 0.277 | 0.2 | 0.9 | 2.8 | -19.1 | -16.8 | ||||||||||
| 40 | 0.75 | 1.44 | 0.761 | 0.945 | 0.4 | 1.8 | 5.6 | -18.2 | -14 | ||||||||||
| 60 | 0.93 | 1.786 | 0.944 | 1.172 | 0.6 | 2.7 | 8.4 | -17.3 | -11.2 | ||||||||||
| 80 | 1.02 | 1.958 | 1.035 | 1.285 | 0.8 | 3.6 | 11 | -16.4 | -8.4 | ||||||||||
| 120 | 1.14 | 2.189 | 1.157 | 1.436 | 1.2 | 5.4 | 17 | -14.6 | -2.8 | ||||||||||
| 200 | 1.28 | 2.458 | 1.299 | 1.613 | 2 | 9 | 28 | -11 | 8.4 | ||||||||||
| 400 | 1.47 | 2.822 | 1.492 | 1.852 | 4 | 18 | 56 | -2 | 36.4 | ||||||||||
| 600 | 1.53 | 2.938 | 1.553 | 1.928 | 6 | 27 | 84 | 7 | 64.4 | ||||||||||
| 800 | 1.57 | 3.014 | 1.594 | 1.978 | 8 | 36 | 112 | 16 | 92.4 | ||||||||||
| 1200 | 1.6 | 3.072 | 1.624 | 2.016 | 12 | 54 | 168 | 34 | 148.4 | ||||||||||
Согласно (1) строим Ф2+Ф3=2,5*10(-4) Вб
Ф2=-1,3*10-4 [Вб].
Umdk=-10 [A].
Расчет 1–го стержня
Тогда
Проверка
Характеристики
Тип файла документ
Документы такого типа открываются такими программами, как Microsoft Office Word на компьютерах Windows, Apple Pages на компьютерах Mac, Open Office - бесплатная альтернатива на различных платформах, в том числе Linux. Наиболее простым и современным решением будут Google документы, так как открываются онлайн без скачивания прямо в браузере на любой платформе. Существуют российские качественные аналоги, например от Яндекса.
Будьте внимательны на мобильных устройствах, так как там используются упрощённый функционал даже в официальном приложении от Microsoft, поэтому для просмотра скачивайте PDF-версию. А если нужно редактировать файл, то используйте оригинальный файл.
Файлы такого типа обычно разбиты на страницы, а текст может быть форматированным (жирный, курсив, выбор шрифта, таблицы и т.п.), а также в него можно добавлять изображения. Формат идеально подходит для рефератов, докладов и РПЗ курсовых проектов, которые необходимо распечатать. Кстати перед печатью также сохраняйте файл в PDF, так как принтер может начудить со шрифтами.
















