Занятия 5 – 6. Производная сложной и неявной ФНП. Производная по направлению и градиент ФНП (1079459)
Текст из файла
Занятия 5 – 6. Производная сложной и неявной ФНП. Производная по направлению и градиент ФНП. Касательная плоскость и нормаль к поверхности.
Сложные функции одной и нескольких независимых переменных. Если u = f(x1, x2, ..., xn) ‑ дифференцируемая функция переменных x1, x2, ..., xn, которые сами являются дифференцируемыми функциями независимой переменной t:
,
, ...,
, то производная сложной функции
вычисляется по формуле
В частности, если t совпадает, например, с переменной xn, то полная производная функции и по x1, равна
Неявные функции одной и нескольких независимых переменных. Пусть уравнение f(x, y) = 0, где f ‑ дифференцируемая функция переменных x и y, определяет у как функцию х. Первая производная этой неявной функции у = у(х) в точке x0 выражается по формуле
при условии, что
, где у0 = у(х0) f(x0, y0) = 0.
Производная по направлению и градиент скалярного поля. Пусть s = icos α + jcos β + kcos γ ‑ единичный вектор данного направления s, r0 = x0i + y0j + z0k ‑ радиус-вектор точки Р0(х0, y0, z0).
Производная скалярного поля и(Р) в точке Р0 по направлению s, обозначаемая через
, определяется соотношением
и характеризует скорость изменения функции и(Р) в направлении s. Производная
вычисляется по формуле
Градиентом скалярного поля u(P), обозначаемым символом grad и, называется вектор, проекциями которого на координатные оси являются соответствующие частные производные функции и(Р), т. е.
Аналогично определяется производная по направлению и градиент для n-мерных скалярных полей.
Геометрические приложения частых производных. Касательной плоскостью к поверхности в ее точке M0 (точка касания) называется плоскость, содержащая в себе все касательные к кривым, проведенным на поверхности через эту точку.
Нормалью к поверхности называется прямая, перпендикулярная к касательной плоскости и проходящая через точку касания.
Если уравнение поверхности имеет вид F(x, y, z) = 0, то уравнение касательной плоскости в точке M0(x0, y0, z0) есть
В случае задания поверхности в явной форме z = f(x, y) уравнение касательной плоскости в точке M0(x0, y0, z0) имеет вид
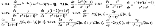
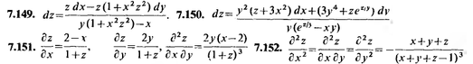
Задачи ОЛ-1, гл. 7: 7.114, 7.119, 7.122, 7.129, 7.135, 7.141, 7.145, 7.149, 7.152, ОЛ-3,гл. 10: 10.31–10.39 (неч.), ОЛ-1, гл. 7: 7.229 (а), 7.233 (а), 7.232, 7.234 или ОЛ-2: 1834,1836, 1838, 1839, 1844, 1846, 1856, 1861, 1864, 1865, 1870, 1944, 1946, 1948, 1950, 1955, 1876, 1878,1880, 1882 (а), 1886, 1887.
Решить дифференциальные уравнения, предварительно убедившись, что они являются уравнениями в полных дифференциалах:
7.129. Показать, что функция
удовлетворяет уравнению
.
7.135. Показать, что функция
удовлетворяет уравнению
.
Найти производные от следующих полей в заданных точках по заданному направлению:
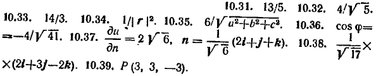
10.31. u = x2 + y2/2 в точке P0(2, −1) по направлению вектора P0P1, где P1(6, 2).
10.33.
в точке P0(1, 3, 2, −1) по направлению вектора a = 2e1 + e2 − 2e4.
10.35. Найти производную скалярного поля
в точке P(a, b, c) по направлению радиус-вектора этой точки.
10.37. Найти скорость и направление наибыстрейшего возрастания поля и = xyz в точке Р0(1, 2, 2).
10.39. Найти стационарные точки поля и = 2х2 ‑ 4хy +y2 ‑ 2yz + 6z.
7.229. Найти уравнения касательной плоскости и нормали к следующим поверхностям в указанных точках:
а) z = sin x cos y в точке (π/4, π/4, 1/2); б) z = ex cos y в точке (1, π, 1/е)
7.233. Найти уравнения касательной плоскости и нормали к следующим поверхностям в указанных точках:
а) x(y + z)(xy − 2) + 8 = 0 в точке (2, 1, 3); б) 2x/z + 2y/z = 8 в точке (2, 2, 1);
в) z2 + 4z + x2 = 0 в точках пересечения с осью Оz.
7.232. Для поверхности z = 4x − xy + y2 найти уравнение касательной плоскости, параллельной плоскости 4x + y + 2z + 9 = 0.
7.234. Для поверхности x2 − z2 − 2х +6y = 4 найти уравнения нормали, параллельной прямой
.
Домашнее задание ОЛ-1, гл. 7: 7.116, 7.118, 7.123, 7.130, 7.136, 7.140, 7.146, 7.150, 7.151, ОЛ-3 гл. 10: 10.32–10.44 (четн.), ОЛ-1, гл. 7: 7.229 (б), 7.233 (б), 7.235 или ОЛ-2: 1833, 1837, 1840, 1841, 1845, 1847, 1857, 1862, 1863, 1871, 1943, 1947, 1949, 1956, 1877, 1879, 1882 (6), 1883, 1888, 1981 (б), 1984, 1987.
7.130. Показать, что функция
удовлетворяет уравнению
.
7.136. Показать, что функция
удовлетворяет уравнению
.
10.32. и = 0.5х2 ‑ у2 + z в точке P0(2, 1, 1) по направлению прямой
в сторону возрастания поля.
10.34. Найти производную скалярного поля и = 1/|r| по направлению его градиента.
10.36. Найти угол между градиентами поля
в точках P1(2, 3, −1) и P2(1, −1, 2).
10.38. Найти единичный вектор нормали к поверхности уровня поля
в точке P0(1, 1, −1), направленный в сторону возрастания поля.
10.40. и = х2 − у2, v = xy. 10.42. и = x2 + у2 − z2, v = xz + yz.
7.229 (б), 7.233 (б) − условия этих задач даны выше.
7.235. На поверхности x2 + 2у2 + 3z2 + 2xy + 2хz + 4уz = 8 найти точки, в которых касательные плоскости параллельны координатным плоскостям.
Ответы:
Характеристики
Тип файла документ
Документы такого типа открываются такими программами, как Microsoft Office Word на компьютерах Windows, Apple Pages на компьютерах Mac, Open Office - бесплатная альтернатива на различных платформах, в том числе Linux. Наиболее простым и современным решением будут Google документы, так как открываются онлайн без скачивания прямо в браузере на любой платформе. Существуют российские качественные аналоги, например от Яндекса.
Будьте внимательны на мобильных устройствах, так как там используются упрощённый функционал даже в официальном приложении от Microsoft, поэтому для просмотра скачивайте PDF-версию. А если нужно редактировать файл, то используйте оригинальный файл.
Файлы такого типа обычно разбиты на страницы, а текст может быть форматированным (жирный, курсив, выбор шрифта, таблицы и т.п.), а также в него можно добавлять изображения. Формат идеально подходит для рефератов, докладов и РПЗ курсовых проектов, которые необходимо распечатать. Кстати перед печатью также сохраняйте файл в PDF, так как принтер может начудить со шрифтами.








