Занятие 4. Дифференциал первого порядка ФНП. Частные производные высших порядков. Матрица Гессе (1079445)
Текст из файла
Занятие 4. Дифференциал первого порядка ФНП. Частные производные высших порядков. Матрица Гессе.
Дифференциал функции и его применение. Полным приращением функции u = f(x1, ..., хn) в точке P(x1, ..., хn). соответствующим приращениям аргументов
,
, ...,
называется разность
Функция и = f(Р) называется дифференцируемой в точке (x1, ..., хn), если всюду в некоторой окрестности этой точки полное приращение функции может быть представлено в виде
где
, A1, A2, ..., An ‑ числа, не зависящие от
,
, ...,
.
Дифференциалом du 1-го порядка функции u = f(x1, ..., хn) в точке (x1, ..., хn) называется главная часть полного приращения этой функции в рассматриваемой точке, линейная относительно
,
, ...,
, т. е.
Дифференциалы независимых переменных равны их приращениям:
Для дифференциала функции u = f(x1, ..., хn) справедлива формула
Дифференциалом 2-го порядка d2u функции u = f(x1, ..., хn) называется дифференциал от ее дифференциала 1-го порядка, рассматриваемого как функция переменных x1, ..., хn при фиксированных значениях dx1, .., dхn:
d2u = d(du).
Аналогично определяется дифференциал m-го порядка:
dmu = d(dm ‑ 1u).
Дифференциал т-гo порядка функции u = f(x1, ..., хn), где x1, ..., хn ‑ независимые переменные, выражаемся символической формулой
которая формально раскрывается по биномиальному закону.
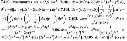
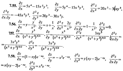
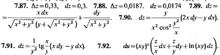
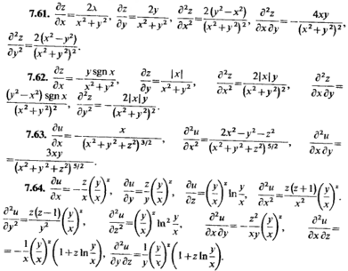
Задачи ОЛ-1, гл. 7: 7.57, 7.60, 7.61(составить матрицу Гессе в произвольной точке), 7.63(составить матрицу Гессе в точке М(1,1,1)), 7.89, 7.91 и 7.103, 7.105 – только первого порядка или ОЛ-2: 1801–1825 (неч), 1892(составить матрицу Гессе в произвольной точке), 1894(составить матрицу Гессе в точке М(0,5;0,5), 1897, 1834,1836, 1838, 1839, 1844, 1846.
Найти частные производные первого и второго порядков от заданных функций:
7.57.
7.60. z = yx. 7.61.
. 7.63.
Найти дифференциалы функций:
Найти дифференциалы 1-го и 2-го порядков следующих функций (x, у, z ‑ независимые переменные):
Проверить функцию
на дифференцируемость в точке (0, 0).
Домашнее задание ОЛ-1, гл. 7: 7.56, 7.58 (составить матрицу Гессе в произвольной точке), 7.59, 7.62, 7.64 (составить матрицу Гессе в точке М(1,1,1), 7.90, 7.92 и 7.102, 7.107 – только первого порядка или ОЛ-2: 1802–1814 (четн.), 1818 (составить матрицу Гессе в точке М(1,1)), 1891(составить матрицу Гессе в произвольной точке), 1893, 1898, 1833, 1837, 1840, 1841, 1845, 1847.
7.56.
. 7.58.
. 7.59.
. 7.62.
. 7.64.
.
Ответы
Характеристики
Тип файла документ
Документы такого типа открываются такими программами, как Microsoft Office Word на компьютерах Windows, Apple Pages на компьютерах Mac, Open Office - бесплатная альтернатива на различных платформах, в том числе Linux. Наиболее простым и современным решением будут Google документы, так как открываются онлайн без скачивания прямо в браузере на любой платформе. Существуют российские качественные аналоги, например от Яндекса.
Будьте внимательны на мобильных устройствах, так как там используются упрощённый функционал даже в официальном приложении от Microsoft, поэтому для просмотра скачивайте PDF-версию. А если нужно редактировать файл, то используйте оригинальный файл.
Файлы такого типа обычно разбиты на страницы, а текст может быть форматированным (жирный, курсив, выбор шрифта, таблицы и т.п.), а также в него можно добавлять изображения. Формат идеально подходит для рефератов, докладов и РПЗ курсовых проектов, которые необходимо распечатать. Кстати перед печатью также сохраняйте файл в PDF, так как принтер может начудить со шрифтами.
















