УСС - ДЗ (1072051)
Текст из файла
Министерство образования РФ
Государственное образовательное учреждение
высшего профессионального образования
"Московский государственный технический университет
им. Н. Э. Баумана"
Домашнее задание
по предмету: "Управление сложными системами"
Выполнил студент группы ИУ5-69:
Сидякин А.А.
Проверил преподаватель:
Пролетарский О.В.
Москва 2011
Расчёт линейной стационарной системы управления угловым положением объекта
Дана линейная следящая САР для дистанционного управления угловым положением объекта. Задающее устройство (вал) связано по угловому положению с выходом (тоже валом) объекта датчиками углового положения, реализующими обратную связь. В результате сравнения напряжений на выходах датчиков вырабатывается сигнал ошибки, который усиливается в двухкаскадном УПТ. Далее сигнал поступает на якорную обмотку двигателя постоянного тока с независимым возбуждением. Двигатель через редуктор связан с объектом.
Рис.1. Структурная схема
Уравнения функционирования:
1) датчики с устройством сравнения:
2) предварительный усилитель и усилитель мощности:
3) двигатель постоянного тока:
Таблица 1. Параметры устройств
Задание к расчёту:
Часть 1:
1) составить передаточные функции элементов. Найти передаточные функции разомкнутой САР, замкнутой, по ошибке;
- идеальное усилительное безынерционное звено
по преобразованию Лапласа получим:
- апериодическое инерционное звено
- инерционное интегрирующее звено
- идеальное усилительное звено
Составим передаточную функцию разомкнутой САР:
Замкнём цепь. Получим передаточную функцию замкнутой САР:
Передаточная функция по ошибке:
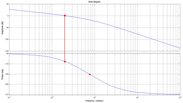
2) построить логарифмические амплитудно-фазовые характеристики (ЛАФЧХ) разомкнутой САР;
Построим ЛАФЧХ, используя MatLab:
>> W=tf([2.4],[0.018,0.315,1,0])
Transfer function:
2.4
-------------------------
0.018 s^3 + 0.315 s^2 + s
>> bode(W)
>>
Фаза на частоте среза находится выше
, значит, система устойчива.
3) Определить устойчивость исходной САР (замкнутой) по критериям Рауса-Гурвица, Михайлова, по ЛАФЧХ разомкнутой САР;
Критерий Михайлова:
Все
, значит, необходимое условие устойчивости выполнено.
Найдём корни:
при
(отрицательный корень не учитываем)
при
и
(отрицательный корень не учитываем)
Чередование есть, значит, САР устойчива.
Критерий Рауса-Гурвица:
В первом столбце нет изменения знака, значит, САР устойчива.
Часть 2:
4) Спроектировать последовательное корректирующее устройство, обеспечивающее следующие качественно-точностные показатели работы САР:
в) установившаяся ошибка по скорости
при заданной скорости вращения задающего вала 10 град/сек
Таблица 2. Требования к качеству переходного процесса
Схема в МВТУ:
Для улучшения показателей введем в систему ПИД регулятор:
Рассчитаем требуемый коэффициент усиления:
Так как
, то есть, степень астатизма системы
Так как существует
, следовательно, требуемый порядок астатизма достигнут.
5) Построить переходные процессы исходной САР и САР с коррекцией. Сделать выводы по удовлетворению предъявляемым требованиям.
Переходной процесс исходной САР:
Введём рассчитанный коэффициент в ПИД-регуляторе в систему, при этом интегральную составляющую не учитываем. Продолжаем моделировать переходной процесс, подбирая оптимальное значение дифференциальной составляющей.
Проверка на соответствие требованиям:
а) перерегулирование
б) время переходного процесса
Примем
, тогда в момент времени
секунды значение функции не должно быть меньше:
Полученная САР полностью удовлетворяет предъявленным требованиям.
Характеристики
Тип файла документ
Документы такого типа открываются такими программами, как Microsoft Office Word на компьютерах Windows, Apple Pages на компьютерах Mac, Open Office - бесплатная альтернатива на различных платформах, в том числе Linux. Наиболее простым и современным решением будут Google документы, так как открываются онлайн без скачивания прямо в браузере на любой платформе. Существуют российские качественные аналоги, например от Яндекса.
Будьте внимательны на мобильных устройствах, так как там используются упрощённый функционал даже в официальном приложении от Microsoft, поэтому для просмотра скачивайте PDF-версию. А если нужно редактировать файл, то используйте оригинальный файл.
Файлы такого типа обычно разбиты на страницы, а текст может быть форматированным (жирный, курсив, выбор шрифта, таблицы и т.п.), а также в него можно добавлять изображения. Формат идеально подходит для рефератов, докладов и РПЗ курсовых проектов, которые необходимо распечатать. Кстати перед печатью также сохраняйте файл в PDF, так как принтер может начудить со шрифтами.
















