Шпоры по основам оптики (1070896)
Текст из файла
Билет 1
Вопрос1
Вопрос 2
В каждой точке сферы своя поляризация, на каждой меридиане - свой угол.
Поляризованным называется свет у которого ориентация электрического и магнитного векторов упорядочена во времени. Поскольку направления электрического и магнитного векторов однозначно связаны между собой, для определения состояния поляризации достаточно знать закон изменения электрического вектора. В общем случае для описания электрического вектора электромагнитной волны необходимо использовать две его составляющие дволь осей прямоугольной системы координат в плоскости, перпендикулярной направлению распространения волны
Таким образом, в общем случае конец электромагнитного вектора описывает во времени эллипс в плоскости, перпендикулярной направлению распространения волны.Такая волна называется эллиптически поляризованной.
Свет обычных источников можно представить в виде суммы монохроматических составляющих со всевозможными состояниями поляризации. Его электрический и магнитный векторы хаотически меняют свое направление. Такой свет является неполяризованным и называется естественным. Линейно поляризованный свет можно получить из естественного, использую поляризатор, пропускающий излучение , электрический вектор которого параллелен его собственной оси.
БИЛЕТ 2.
Вопрос 1
Вопрос 2
Принцип гюйгенса.
Каждая точка, до которой доходит световое возбуждение, может рассматриваться как центр соответствующих вторичных волн. Для определения волнового фронта распространяющейся волны в последующие моменты времени следует построить огибающую этих вторичных волн.
Билет 3
вопрос 1
Покажем что решение данной системы является электромагнитной волной
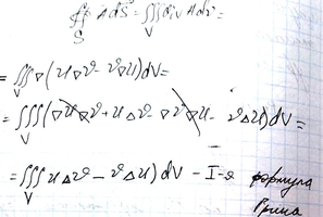
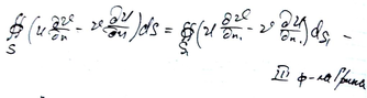
интегральная формула киргофа
Вопрос 2
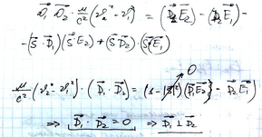
Оптически анизотропной называется среда, в которой скорость распространения световой волны зависит от направления колебаний электрического вектора, т.е. от состояния ее поляризации. Направление в среде, вдоль которого скорость света не зависит от направления колебаний электического вектора, т.е. от его поляризации, называется оптической осью. Различают одноосные и двуосные среды, которые соответственно имеют одну или две оптические оси.
В любом направлении, не совпадающем с направлением оптической оси, в анизотропной среде могут распространяться две ортогональные линейно поляризованные волны с различными скоростями. В одноосной среду скорость V0 одной из таких волн не зависит от направления. Эта волна называется обыкновенной. Волна, скорость которой зависит от направления распространения , называется необыкновенной. Скорость такой волны изменяется от значения V0 в направлении, совпадающем с направлением оптической оси, до минимального или максимального значения Ve в направлении, перпендикулярном оптической оси. Если V0>Ve ото среда называется положительной, если V0<Ve то отрицательной.
Направление поляризации обыкновенной и необыкновенной волн в одноосных средах определяют с помощью главного сечения – плоскости, проходящую через оптическую ось параллельно направлению распространения света. Обыкновенна волна поляризована перпендикулярно, а необыкновенная параллельно главному сечению.
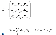
Тензором диэлектрической проницаемости является матрица вида
Если система прозрачна то матрицу можно привести к диагональному виду.
Выбранные направления осей - главные направления, а значения
главные значения.
Билет 4
Вопрос 1
Приближение Френеля.
Мы рассматриваем малоугловое приближение.
Вопрос 2
Характеристики
Тип файла документ
Документы такого типа открываются такими программами, как Microsoft Office Word на компьютерах Windows, Apple Pages на компьютерах Mac, Open Office - бесплатная альтернатива на различных платформах, в том числе Linux. Наиболее простым и современным решением будут Google документы, так как открываются онлайн без скачивания прямо в браузере на любой платформе. Существуют российские качественные аналоги, например от Яндекса.
Будьте внимательны на мобильных устройствах, так как там используются упрощённый функционал даже в официальном приложении от Microsoft, поэтому для просмотра скачивайте PDF-версию. А если нужно редактировать файл, то используйте оригинальный файл.
Файлы такого типа обычно разбиты на страницы, а текст может быть форматированным (жирный, курсив, выбор шрифта, таблицы и т.п.), а также в него можно добавлять изображения. Формат идеально подходит для рефератов, докладов и РПЗ курсовых проектов, которые необходимо распечатать. Кстати перед печатью также сохраняйте файл в PDF, так как принтер может начудить со шрифтами.
















