инт Фабри перо (1070588)
Текст из файла
интерферометр фабри - перо
ИНТЕРФЕРОМЕТР ФАБРИ - ПЕРО - многолучевой интерференц. спектральный прибор с двумерной дисперсией, обладающий высокой разрешающей способностью. Используется как прибор с пространств, разложением излучения в спектр и фотогр. регистрацией и как сканирующий прибор с фотоэлектрич. регистрацией. И. Ф.- П. представляет собой плоскопараллельный слой из оптически однородного прозрачного материала, ограниченный отражающими плоскостями. Наиб, широко применяемый воздушный И. Ф.- П. состоит из двух стеклянных или кварцевых пластинок, расположенных на нек-ром расстоянии d друг от друга
Рис. 1. Схема интерферометра Фабри-Перо.
(рис. 1). На обращённые друг к другу плоскости (изготовленные с точностью до 0,01 длины волны) нанесены высокоотражающие покрытия. И. Ф.- П. располагается между коллиматорами; в фокальной плоскости входного коллиматора устанавливается освещённая диафрагма, служащая источником света для И. Ф.- П. Плоская волна, падающая на И. Ф.- П., в результате многократных отражений от зеркал и частичного выхода после каждого отражения разбивается на большое число плоских когерентных волн, отличающихся по амплитуде и по фазе. Амплитуда когерентных волн убывает по закону геом. прогрессии, а разность хода между каждой соседней парой когерентных волн, идущих в данном направлении, постоянна и равна D=2dncosq, где n - показатель преломления среды между зеркалами (для воздуха n=1), q - угол между лучом и нормалью к зеркалам. Пройди через объектив выходного коллиматора, когерентные волны интерферируют в его фокальной плоскости F и образуют пространств, интерференц. картину в виде колец равного наклона (рис. 2). Распределение интенсивности (освещённости) в интерференц. картине описывается выражением I=tкВТs/f22, где В - яркость источника, tк - коэф. пропускания объективов коллиматоров, s - площадь сечения осевого параллельного пучка, f2 - фокусное расстояние объектива выходного коллиматора, Т - ф-ция пропускания И. Ф.- П.
Рис. 2. Структура интерференционных полос в фокальной плоскости выходного коллиматора.
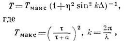
h=2(Цr)/(1-r), t, r и a - соответственно коэф. пропуощения зеркал, причём t+r+а=1. Ф-ция пропускания Т, а следовательно, и распределения интенсивности имеет осциллирующий характер с резкими максимумами интенсивности (рис. 3), положение к-рых определяется из условия Dмакс=2dncosqмакс=bml, где m (целое число) - порядок спектра, l - длина волны. Посредине между соседними максимумами ф-ция Т имеет минимумы Tмин=[t/(1+r)]2. Поскольку положение интерференц. максимумов зависит от угла q и равного ему угла c выхода лучей из второй стеклянной пластинки, то интерференц. картина имеет форму концентрич. колец (рис. 2), определяемых из условия qмакс=cмакс=const, локализованных в области геом. изображения входной диаграммы
=Dвхf2/f1 (рис. 1). Радиус этих колец равен rm=
, откуда следует, что при m=const имеется однозначная зависимость между rm и l и, следовательно, И. Ф.- П. производит пространств, разложение излучения в спектр. Линейное расстояние между максимумами соседних колец и ширина этих колец (рис. 3) уменьшаются с увеличением радиуса, т. е. с увеличением rm интерференц. кольца становятся уже и сгущаются. Ширина колец Dr зависит также от коэф.
Рис. 3. Схема сечения интерференционной картины и её параметры; d0 - диаметр выходной диафрагмы D.
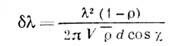
отражения r и уменьшается с увеличением r. Разность квадратов радиусов соседних колец r2m-r2m+a=f22l/d линейно связана с длиной волны, и потому это соотношение используется при определении разностей длин волн. Смещение максимумов пропускания И. Ф.- П. с изменением длины волны определяется угловой дисперсией dc/dl= -(ltgc)-1, к-рая при малых углах (c№10-2рад) значительно превышает угл. дисперсию призменных и дифракц. спектрометров, что является его преимуществом. Линейная дисперсия равна dr/dl№-f22(lr cos2c). Однако область дисперсии Dl=l2/2d cosc обычно очень мала, в этом недостаток И. Ф.- П. Спектральная ширина аппаратной функции И. Ф.- П. (интерференц. максимума) определяется выражением
, а теоретич. разрешающая способность
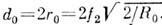
растёт с увеличением коэф. отражения r и расстояния между зеркалами d. Предел увеличения r определяется уменьшением Tмакс=[t/(t+а)]2 и дефектами изготовления плоскостей И. Ф.- П. Увеличение R0 за счёт увеличения d ведёт к уменьшению Dl. При фотогр. регистрации спектра фотопластинка устанавливается в фокальной плоскости F (рис. 1). При фотоэлектрич. регистрации в фокальной плоскости F на оптич. оси И. Ф.- П. обычно устанавливается круговая диафрагма, диаметр к-рой равен линейной ширине центр, максимума
. При этом поток излучения, проходящий через диафрагму и падающий на приёмник излучения, равен Ф=3,4tфTмаксВs/Rи, где Rи - реальная разрешающая сила. Регистрация спектра производится плавным изменением d или n. Светосила реального И. Ф.- П. в несколько сотен раз больше светосилы дифракц. спектрометра при равной разрешающей способности, что является его преимуществом. Т. к. И. Ф.- П., обладая высокой разрешающей силой, имеет очень маленькую область дисперсии, то при работе с ним необходима предварительная монохроматизация, чтобы ширина исследуемого спектра была меньше Dl. Для этой цели применяют часто приборы скрещенной дисперсии, сочетая И. Ф.- П. с призменным или дифракц. спектрографом так, чтобы направления дисперсий И. Ф.- П. и спектрографа были взаимно перпендикулярны. Иногда для увеличения области дисперсии используют систему из двух поставленных друг за другом И. Ф.- П. с разл. величиной расстояния d, так чтобы их отношение d1/d2 равнялось целому числу. Тогда область дисперсии Dl определяется более "топким" И. Ф.- П., а разрешающая сила - более "толстым". При установке двух одинаковых И. Ф.- П. увеличивается разрешающая сила и повышается контраст интерференционной картины. И. Ф.- П. широко применяются в УФ-, видимой п ИК-областях спектра при исследовании тонкой и сверхтонкой структуры спектральных линий (см. Атомные спектры ),для исследования медовой структуры излучения лазеров и т. п. И. Ф.- П. также используется как резонатор в лазерах. Лит.: Тарасов К. И., Спектральные приборы, 2 изд., Л., 1977; Зайдель А. Н., Островская Г. В., Островский Ю. И., Техника и практика спектроскопии, М., 1972; Малышев В. И., Введение в экспериментальную спектроскопию, М., 1979; см. также лит. при ст. Интерферометр. В. II. Малышев.
Характеристики
Тип файла документ
Документы такого типа открываются такими программами, как Microsoft Office Word на компьютерах Windows, Apple Pages на компьютерах Mac, Open Office - бесплатная альтернатива на различных платформах, в том числе Linux. Наиболее простым и современным решением будут Google документы, так как открываются онлайн без скачивания прямо в браузере на любой платформе. Существуют российские качественные аналоги, например от Яндекса.
Будьте внимательны на мобильных устройствах, так как там используются упрощённый функционал даже в официальном приложении от Microsoft, поэтому для просмотра скачивайте PDF-версию. А если нужно редактировать файл, то используйте оригинальный файл.
Файлы такого типа обычно разбиты на страницы, а текст может быть форматированным (жирный, курсив, выбор шрифта, таблицы и т.п.), а также в него можно добавлять изображения. Формат идеально подходит для рефератов, докладов и РПЗ курсовых проектов, которые необходимо распечатать. Кстати перед печатью также сохраняйте файл в PDF, так как принтер может начудить со шрифтами.
















