Конспект_ОПиЭНТО_ч1 (1060535), страница 4
Текст из файла (страница 4)
= 288 шт
в) расчёт времени, когда установка работала и обрабатывала пластины. Определяется в точение какого времени машина обработала zф пластин
= zф ·
= 205· 100 = 20500 с = 20500/3600= 5,69 ч
в) простои:
- всего простои
=
-
= 28800-20500=8300 [c] = 8300/60 = =138,33[мин.] = 138,33/60 = 2,306 ч
- собственные простои по условию задачи отсутствовали
;
- организационно-технические простои:
=
= 2,306 ч
е) снижение фактической производительности из-за простоев
- фактическая производительность
=
= 25,625 шт./ч
- потери фактической производительности из-за простоев ΔQф/п [шт/ч] определим как отношение невыпущенной продукции
Δzп = Qц ·θп [шт] по причине простоев к плановому периоду времени
[шт/c]
60=0,6 [шт/мин]=0,6
60 = 36 шт./ч
= 10,38 шт./ч
д) коэффициент загрузки
=1 – 2,306/8= 0,712
Ответ:
а) потери фактической производительности из-за простоев
= 10,38 шт./ч
б) коэффициент загрузки
0,712
Вопросы для самоконтроля
-
Назовите количественную характеристику технологической машины, определяющую объем выпускаемой продукции.
-
Что такое время рабочего хода установки?
-
На конкретном примере покажите, как определяется время не совмещённых холостых ходов.
-
Перечислите основные показатели производительности технологической машины?
-
Как классифицируются виды простоев технологического оборудования? Назовите их особенности.
-
Что такое собственные простои технологической машины?
-
Определите, к каким видам простоев вакуумной установки может относиться несвоевременная подача полупроводниковых подложек в рабочую зону?
-
Приведите какой-либо пример расчёта собственных потерь установки?
-
Какие данные должен собрать исследователь, чтобы оценить простои оборудования от «внешних» причин?
-
Как рассчитывается фактическая производительность установки?
-
Приведите пример, указав, минимум три варианта исходных данных, необходимых для расчёта фактической производительности.
-
Что характеризует коэффициент использования? В чём его отличие от коэффициента технического использования?
-
При оценке работоспособности установки, какие данные следует собрать, чтобы рассчитать коэффициент использования?
3. НАДЕЖНОСТЬ МАШИН
Надёжность – важнейшая характеристика оборудования и его способность выполнять заданные функции, заключающиеся в выпуске годной продукции, отвечающей техническим условиям (ТУ), в объёмах, обусловленных производственной программой или заданием.
-
Определения
Надёжность - свойство сохранять способность объекта выполнять требуемые функции в данных условиях и при обеспечении внешними ресурсами, а также свойства безотказности и ремонтопригодности при поддержке технического обслуживания (по мотивам ГОСТ 27.002-2009).
Два состояния оборудования: работоспособное и неработоспособное:
- работоспособное состояние (работоспособность) объекта, при котором значения всех параметров, характеризующих способность выполнять заданные функции, соответствуют требованиям нормативно-технической и (или) конструкторской (проектной) документации;
- неработоспособное состояние (неработоспособность) объекта, при котором значение хотя бы одного параметра, характеризующего способность выполнять заданные функции, не соответствует требованиям нормативно-технической и (или) конструкторской (проектной) документации.
- отказ - потеря способности изделия выполнить требуемую функцию (или событие, которое приводит к состоянию неисправности);
-
ресурсный отказ – отказ, в результате которого объект достигает предельного состояния в результате предельного значения изнашивания или ухудшений из-за старения («ресурс исчерпан»);
-
полный отказ - характеризуется потерей способности изделия выполнять все требуемые функции;
-
частичный отказ - характеризуется потерей способности изделия выполнять некоторые, не все требуемые функции;
-
постепенный отказ - возникает в результате постепенного изменения значений одного или нескольких параметров объекта;
-
скрытый отказ – отказ, не обнаруживаемый визуально или штатными методами и средствами контроля и диагностирования, но выявляемый при проведении технического обслуживания или специальными методами диагностики;
- повреждение - событие, заключающееся в нарушении исправного состояния объекта при сохранении работоспособного состояния
3.2. Показатели надёжности
Надежность является комплексным свойством, которое в зависимости от назначения объекта и условий его применения может включать
безотказность,
долговечность,
ремонтопригодность и
сохраняемость или определенные сочетания этих свойств
3.1.1. Безотказность: способность изделия выполнить требуемую функцию в заданном интервале времени (наработки) при данных условиях:
- наработка: интервал времени, в течение которого изделие находится в состоянии функционирования;
- наработка до отказа: наработка, накопленная от первого использования изделия или от его восстановления до отказа;
- срок службы: продолжительность эксплуатации изделия или ее возобновления после капитального ремонта до наступления предельного состояния.
- вероятность безотказной работы. Функциональная зависимость вероятности безотказной работы Р(t) носит наименование "функция надежности" и математически описывается следующим образом
где N0 – исходное количество работоспособных объектов (машин, станков, установок), n(t) – количество отказавших объектов за время t.
Графическое изображение функции надежности представлено на рисунке.
Для описания функции надёжности используется экспоненциальная зависимость
P(t) = e-ωt
Рисунок 1 – Вид функции надёжности
Показатели безотказности:
- параметр потока отказов ω. Характеризует интенсивность отказов, как отношение числа отказов
за исследуемый период
:
[отказ/мин]
- среднее наработка на отказ
- это среднее время между отказами.
Правильный ответ – 1 балл
Взаимосвязь параметра потока отказов
и средней наработка на отказ
выражается соотношением
[мин /отказ]
Правильный ответ – 1 балл
Этапы оценки безотказности при эксплуатации:
Оценка безотказности проводится путем проведения испытаний.
Этапы:
- определение целей испытаний для оценки показателей надёжности при заданных режимах и условиях эксплуатации ;
- разработка плана испытаний;
- сбор и накопление необходимых статистических данных в условиях эксплуатации;
- обработка результатов для получения и прогнозирования искомых параметров и заключение об уровне безотказности исследуемого объекта.
3.1.2. Ремонтопригодность. Показатели ремонтопригодности.
Ремонтопригодность - свойство объекта, заключающееся в приспособленности к поддержанию и восстановлению работоспособного состояния путем технического обслуживания и ремонта
Для оценки ремонтопригодности существует ряд показателей. ГОСТ регламентирует два показателя ремонтопригодности:
- вероятность восстановления работоспособности в заданное время P(tв) (вероятность того, что время восстановления работоспособного состояния объекта не превысит заданной величины; например, P(1)=0,8 означает, что вероятность восстановления работоспособности в течение 1 ч составляет 80%);
- среднее время восстановления работоспособности
τв =
Этапы оценки ремонтопригодности при эксплуатации установки:
Оценка ремонтопригодности проводится поэтапно:
- определение целей испытаний при заданных режимах и условиях эксплуатации и налаженной системы восстановления неисправностей;
- разработка плана испытаний;
- сбор и накопление необходимых статистических данных о времени восстановления работоспособности установки в условиях эксплуатации;
- обработка результатов для получения и прогнозирования искомых параметров и заключение об уровне ремонтопригодности исследуемого объекта.
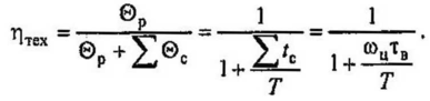
Комплексные показатели надежности объединяют показатели и безотказности (ωц), и ремонтопригодности (τв). Комплексным показателем надежности является коэффициент технического использования ηтех.
Коэффициент технического использования ηтех отражает взаимную связь и включает в себя интенсивность отказов, исчисляемую в рабочих циклах ωц, и быстроту (среднее время τв) восстановления работоспособности
Взаимосвязь показателей надежности. Рассмотрим связь интенсивности отказов (ωц) и среднего времени восстановления работоспособности (τв) с коэффициентом технического использования ηтех.
Для того, чтобы показать эту связь выведем зависимость коэффициента технического использования ηтех от параметров - среднего времени восстановления работоспособности τв [мин/отказ] и ωц интенсивности отказов, измеренной в циклах ωц [отказ/цикл]
где T – время цикла [мин]
3.1.3. Долговечность.
Долговечность – это свойство объекта сохранять работоспособное состояние до наступления предельного состояния при установленной системе технического обслуживания и ремонта.
Показатели долговечности
Долговечность определяется двумя условиями: физическим либо моральным износом
-
Физический износ, измеряемый техническим ресурсом R, суммарное время от начала эксплуатации до предельного состояния.
-
Предельное состояние означает невозможность дальнейшей эксплуатации, после чего должен следовать либо восстановительный ремонт, либо замена
-
Моральный износ означает несоответствие параметров элемента или системы современным условиям их эксплуатации.
Этапы оценки долговечности при эксплуатации установки:
















