[09.09.11] Лекция №2 (1050357)
Текст из файла
Лекция №2 [09.09.11]
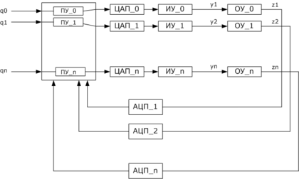
Структура МП-системы с централизованным управлением:
Структура МП-системы с децентрализованным управлением:
Объект управления с несвязанными объектами (позволяет разделить себя на несвязанные между собой).
Структура МП-системы с децентрализованным независимым управлением (автономным):
Виды организации каналов связи в МП-системах управления:
1) последовательная обработка:
2) параллельная обработка:
3) мажоритарная обработка:
Мультипроцессорные системы
Повышается производительность системы, быстрее решаются задачи и всякое такое.
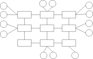
Топологии мультипроцессорных систем:
1) иерархическая:
2) шинная:
3) сетевая:
4) матричная:
Приёмы надёжной передачи в каналах МП-системы:
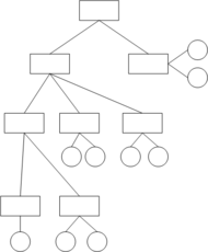
Структура иерархической МП-системы:
Характеристики
Тип файла документ
Документы такого типа открываются такими программами, как Microsoft Office Word на компьютерах Windows, Apple Pages на компьютерах Mac, Open Office - бесплатная альтернатива на различных платформах, в том числе Linux. Наиболее простым и современным решением будут Google документы, так как открываются онлайн без скачивания прямо в браузере на любой платформе. Существуют российские качественные аналоги, например от Яндекса.
Будьте внимательны на мобильных устройствах, так как там используются упрощённый функционал даже в официальном приложении от Microsoft, поэтому для просмотра скачивайте PDF-версию. А если нужно редактировать файл, то используйте оригинальный файл.
Файлы такого типа обычно разбиты на страницы, а текст может быть форматированным (жирный, курсив, выбор шрифта, таблицы и т.п.), а также в него можно добавлять изображения. Формат идеально подходит для рефератов, докладов и РПЗ курсовых проектов, которые необходимо распечатать. Кстати перед печатью также сохраняйте файл в PDF, так как принтер может начудить со шрифтами.
















