Образец_Поясн_Зап_10 (1031967), страница 5
Текст из файла (страница 5)
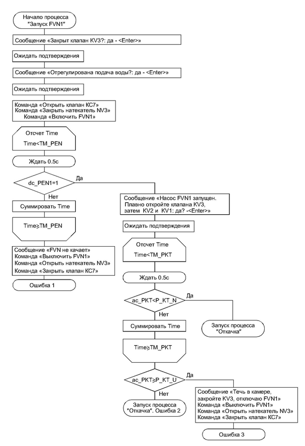
Сообщение «Закрыт клапан KV3?: да - <Enter>» . Ожидать подтверждения.
Сообщение «Отрегулирована подача воды?: да - <Enter>» . Ожидать подтверждения.
Предусмотреть сообщение «Время ожидания больше трех минут ».
Команда «Открыть клапан КС7»
Команда «Закрыть натекатель NV3» .
Процесс «Включить FVN » .
Засечь время ожидания;
каждые 0.5с контролировать срабатывание реле давления VPEV;
если реле сработало то сообщение
«Насос FVN запущен. Откройте клапана KV1 и KV2: да? -<Enter>» ;
Ожидать подтверждения;
Предусмотреть сообщение «Время ожидания больше трех минут ».
Засечь время ожидания.
Каждые 0.5с контролировать давления ac_PKT;
если давление P_KT_N достигнуто, то
сообщение оператору «Откачка запущена »;
запуск процесса «Откачка_КТ» ;
выход их процесса «Запуск FVN» с нормальным завершением;
Если время ожидания превысит TM_PKT то
Сообщение оператору «Течь в камере технологической »;
Если ac_PKT> P_KT_U то
Сообщение «Закройте KV3, отключаю FVN»
Процесс «Выключить FVN » ;
Команда «Открыть натекатель NV3» ;
Команда «Закрыть клапан КС7» ;
Выход их процесса с ошибкой 3
Иначе
Сообщение «Плохой вакуум в камере»;
Сообщение «Откачка запущена »;
тревога, ошибка 2;
запуск процесса «Откачка_КТ»
Если время ожидания превысит TM_PEV то
Сообщение «FVN не качает »;
Команда «Выключить FVN » ;
Команда «Открыть натекатель NV3» ;
Команда «Закрыть клапан КС7» ;
Выход их процесса с ошибкой 1;
Конец процесса «Запуск FVN ».
Блок-схема алгоритма процесса «Запуск FVN» представлена на рис. 3.
Рис. 3. Алгоритм процесса «Запуск FVN».
7.3.2. Процесс откачки камеры технологической «Откачка_КТ»
А. Цель – наблюдение за процессом откачки камеры технологической.
Б. Критерий начала – не аварийное завершение процесса «Запуск_FVN» .
В. Участвуют:
Уставка P_KT_U ;уставка «Плохой вакуум в камере технологической»
Сигналы аналогового контроля АК
ac_PKT ;давление в камере технологической
Г. Сообщения оператору:
#«Течь в камере технологической »
#«Аварийное завершение откачки» с запуском процесса завершения откачки.
# «Плохой вакуум, выключить насос FVN: да -<Enter>, нет <Esc>». Ожидать подтверждения. Тревога.
# «Время ожидания больше трех минут ». Тревога
Д. Содержание процесса.
Инициируется нормальным завершением процесса
«Запуск вакуумного агрегата FVN »
Завершается запуском процесса «Остановка вакуумного агрегата FVN ».
Раз в секунду контролировать давление в камере технологической (сигнал ac_PKT);
Если ac_PKT > уставки P_KT_А то
Сообщение «Аварийное завершение откачки» ;
Процесс «Выключить FVN » ;
Команда «Открыть натекатель NV3» ;
Команда «Закрыть клапан КС7» ;
Выход их процесса с ошибкой 1;
Если ac_PKT > уставки P_KT_U то
Сообщение «Плохой вакуум, выключить насос FVN: да -<Enter>, нет <Esc> »;
Ждать подтверждения;
Предусмотреть сообщение «Время ожидания больше трех минут ».
Если ДА то
Запуск процесса «Остановка вакуумного агрегата FVN »;
Выход их процесса с ошибкой 3
НЕТ то сообщение оператору «Течь в камере технологической ».
7.3.3. Процесс остановки вакуумного агрегата «Остановка_FVN »
А. Цель – завершение работы вакуумного агрегата.
Б. Критерий начала: инициируется оператором или из процесса «Откачка КТ » при аварийном завершении.
В. Участвуют:
Процесс «Выключить FVN »;
Команда «Закрыть клапан КС7 »;
Команда «Открыть натекатель NV3»;
Г. Сообщения оператору:
#«Закройте клапан KV3?: да - <Enter> ». Ожидать подтверждения
# «Время ожидания больше трех минут ». Тревога
Д. Содержание процесса.
Процесс инициируется автоматически или оператором. После инициализации:
Сообщение «Закройте клапан KV3?: да - <Enter> »;
Ожидать подтверждения;
Предусмотреть сообщение «Время ожидания больше трех минут ».
Процесс «Выключить FVN »;
Команда «Закрыть клапан КС7 »;
Команда «Открыть натекатель NV3 »;
Конец процесса «Остановка вакуумного агрегата FVN »
3Система снабжения холодной водой CW (НЭО16и.07.00.00.000)
8.1. Назначение
Холодная вода используется в качестве среды охлаждения конденсора Knd, и питания водокольцевого насоса FVN. Имеется возможность измерения расхода и перепада температур на входе и выходе холодной воды, следовательно – расхода отведенного тепла.
Последовательная пара шаровых кранов на входе водокольцевого насоса (KC6, KC7) позволяет настроить требуемый расход и включать - отключать воду без изменения настройки. Эти краны обеспечивают работоспособность вакуумной системы и были описаны в разделе 6.1.3.
8.2. Описание элементов системы снабжения холодной водой
8.2.1. Расходомер холодной воды dQСW
В системе используется расходомер dQСW (Расходомер тахометрический ВСТН ду 50), подобный описанному в разделе 4.1.1. Подробное описание приведено в Приложении, файл «ВодосчетчикиВСТ.doc»
8.2.2. Датчики температуры холодной воды на входе TCin и выходе Tcout
В качестве датчиков температуры холодной воды на входе Tcin и выходе Tcout используется термосопротивление медное с унифицированным выходм ТСМУ Метран-274-03-100-0,5-Н10-(0…100)гр.С -4-20мА – Т3 – ТУ4211-003-12580824-2001 ГП. Датчик измеряет температуру в диапазоне 0..100°С с погрешностью 0.5% и имеет выходной сигнал 4..20 мА. Подробное описание конструкции, механического, электрического и информационного интерфейса датчика температуры и других элементов приведено в Приложении, файл «ТСМУ.pdf »..
8.3. Процессы системы снабжения холодной водой
Показания датчиков температуры и расходомеров системы CW используются в процессе «Расход тепла», который описан в разделе 4.3.
Пневмосистема PSYS (НЭО16и.06.00.00.000)
9.1. Назначение и интерфейс пневмосистемы
Пневмосистема служит для подачи и коммутации потоков сжатого воздуха потребителям – элементам установки НОВ-01, список которых приведен в таблице 8. При ее изучении следует руководствоваться схемой пневматической принципиальной НЭО16и.06.00.00.000 П3 и приведенными в Приложении файлами описаний компонентов.
Пневмосистема PSYS состоит из винтового компрессора КМ типа Zenith sil. 03, осушителя рефрижераторного DRY 21, осуществляющего предварительную подготовку сжатого воздуха, пневмоагрегата НЭО16и.06.01.00.000, распределяющего потоки по потребителям, список которых приведен в таблице 8.
Энергетический и информационный интерфейс элементов системы приведен в таблице 9.
Таблица 8.
| Обозначение и наименование потребителя | Тип потреби-теля | Потоки сжатого воздуха | Питание катушки распределителя | Управляю-щий сигнал | Примечание |
| Натекатель NV3 | Клапан отсечной J9APG1604 | V_NV3_off | U_NV3_off | dm_NV3_off | Исходное состояние - открыт |
| Клапан KC7 | Клапан отсечной J9CPG1604 | V_KC7_on | U_KC7_on | dm_KC7_on | Исходное состояние - закрыт |
| PZD – пневмо-цилиндр дозатора | 163343 Пневмо-цилиндр DNC-60-160-PPV-A Festo | V_PZD_on | U_PZD_on | dm_PZD_on | Исходное состояние - втянут dm_PZD_on:=0 |
| V_PZD_off | |||||
| PZ1 – пневмо-цилиндр транспортера | V_PZ1_on | U_PZ1_on | dm_PZ1_on | Исходное состояние - втянут dm_PZ1_on:=0 | |
| V_PZ1_off | |||||
| V_PZV_off |
Таблица 9.
| ОБОЗН. | НАИМЕНОВАНИЕ | КОД | УРОВЕНЬ | АДР. | ПРИМЕЧ. |
| V_KC7_on | Воздух на открытие KC7 | P | 500 кПа | KC7 | |
| V_NV3_off | Воздух на закрытие NV3 | P | 500 кПа | NV3 | |
| V_PS | Воздух в пневмосистему | P | 500 кПа | KMP | |
| V_PZ1_off | Воздух на пневмоцилиндр 1 конвейера | P | 500 кПа | PZ1 | Шток назад |
| V_PZ1_on | Воздух на пневмоцилиндр 1 конвейера | P | 500 кПа | PZ1 | Шток вперед |
| V_PZD_off | Воздух на пневмоцилиндр дозатора | P | 500 кПа | PZD | Шток назад |
| V_PZD_on | Воздух на пневмоцилиндр дозатора | P | 500 кПа | PZD | шток вперед |
| V_PZV_off | Воздух на вертикальный пневмоцилиндр конвейера | P | 500 кПа | PZV | Скребок вверху |
| V_PZV_on | Воздух на вертикальный пневмоцилиндр конвейера | P | 500 кПа | PZV | Скребок внизу |
| dc_V_PS | Давление воздуха в пневмосистеме | ДК | НО-НЗ контакт, 5А, 250В | SPU | |
| U_KC7_on | Клапан KC7 открыть | ДУ | +24В, 100мА | SPU | |
| U_NV3_off | Натекатель NV3 закрыть | ДУ | +24В, 100мА | SPU | |
| U_PZ1_on | Пневмоцилиндр выдвинуть | ДУ | +24В, 100мА | SPU | |
| U_PZD_on | Пневмоцилиндр выдвинуть | ДУ | +24В, 100мА | SPU | |
| U_PZV_on | Пневмоцилиндр вподнять | ДУ | +24В, 100мА | SPU | |
| U_DRY | Напряжение питания осушителя DRY | Э | 220 B, 170 Вт | SIN SPU | Без управления |
| U_KM | Напряжение питания Zenith sil 03 | Э | 220/380B, 2.2 кВт | SIN SPU | Без управления |
9.2. Описание элементов пневмосистемы
9.2.1. Компрессор KMP
В качестве источника сжатого воздуха KMP применен компрессор винтовой Zenith sil. 03 с ресивером объемом в 270 литров. Он имеет производительность 0.34 м3/мин. при давлении 8 бар (800 кПа). Его конструкция и инструкция по эксплуатации приведена в Приложении «ZENITH.doc ». Параметры электропитания приведены в таблице 9.
9.2.2. Осушитель рефрижераторный DRY 21
Осушитель рефрижераторный DRY 21 предназначен для эффективного удаления влаги, содержащейся в сжатом воздухе, путем его охлаждения до +3оС. Осушитель снабжен всеми необходимыми устройствами контроля, безопасности и регулировки и не требует вспомогательного оборудования. Его конструкция и инструкция по эксплуатации приведена в Приложении «DRY 16-180.pdf ». Параметры электропитания приведены в таблице 9.
9.2.3. Пневмоагрегат НЭО16И.06.01.00.00
Пневмоагрегат НЭО16и.06.01.00.000 построен на элементах фирмы Festo и предназначен для управляемой коммутации воздушных потоков. Состоит из станции подготовки воздуха SPV типа «162773 Блок подготовки воздуха FRC-3/8-D-5M-MIDI », пневмоострова CPV1 типа «Пневмоостров Type CPV14-VI, Part number 18210, Order code 10P-14-6B-IC-R-U-CC4M+ZU8D », глушителя U1 «2309 Глушитель U-3/8 » и ряда дополнительных элементов, выполняющих вспомогательные функции крепления и коммутации потоков вручную.















