ТЗ_ТП_НОВ01_У (1031941), страница 6
Текст из файла (страница 6)
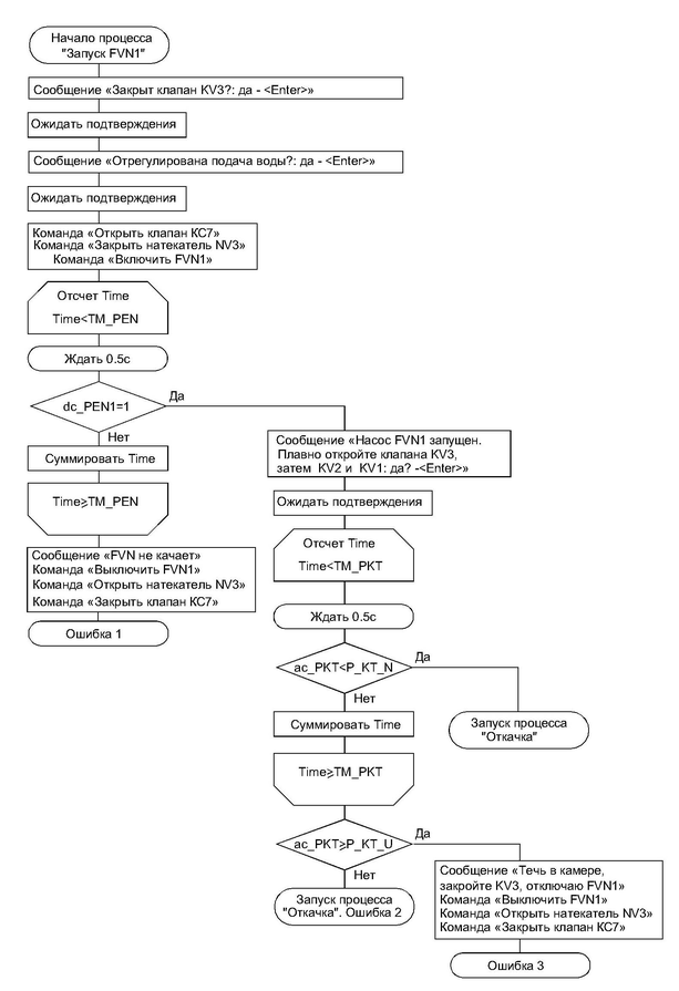
«Насос FVN запущен. Откройте клапана KV1 и KV2: да? -<Enter>» ;
Ожидать подтверждения;
Засечь время ожидания;
каждые 0.5с контролировать давления ac_PKT;
если давление P_KT_N достигнуто, то
сообщение оператору «Откачка запущена »;
запуск процесса «Откачка_КТ» ;
выход их процесса «Запуск FVN» с нормальным завершением;
Если время ожидания превысит TM_PKT то
Сообщение оператору «Течь в камере технологической »;
Если ac_PKT> P_KT_U то
Сообщение «Закройте KV3, отключаю FVN»
Команда «Выключить FVN » ;
Команда «Открыть натекатель NV3» ;
Команда «Закрыть клапан КС7» ;
Выход их процесса с ошибкой 3
Иначе
Сообщение «Плохой вакуум в камере»;
Сообщение «Откачка запущена »;
тревога, ошибка 2;
запуск процесса «Откачка_КТ»
Если время ожидания превысит TM_PEN то
Сообщение «FVN не качает »;
Команда «Выключить FVN » ;
Команда «Открыть натекатель NV3» ;
Команда «Закрыть клапан КС7» ;
Выход их процесса с ошибкой 1;
Конец процесса «Запуск FVN ».
Блок-схема алгоритма процесса «Запуск FVN» представлена на рис. 4.
Рис. 4. Алгоритм процесса «Запуск FVN».
Процесс откачки камеры технологической «Откачка_КТ»
А. Цель – наблюдение за процессом откачки камеры технологической.
Б. Участвуют:
Уставка P_KT_U ;уставка «Плохой вакуум в камере технологической»
В. Сигналы аналогового контроля АК
ac_PKT ;давление в камере технологической
Г. Сообщения оператору:
«Течь в камере технологической »
«Аварийное завершение откачки»
Д. Содержание процесса.
Инициируется нормальным завершением процесса
«Запуск вакуумного агрегата FVN»
Завершается запуском процесса «Остановка вакуумного агрегата FVN».
Раз в секунду контролировать давление в камере технологической (сигнал ac_PKT);
Если ac_PKT > уставки P_KT_А то
Сообщение «Аварийное завершение откачки» ;
Команда «Выключить FVN » ;
Команда «Открыть натекатель NV3» ;
Команда «Закрыть клапан КС7» ;
Выход их процесса с ошибкой 1;
Если ac_PKT > уставки P_KT_U то
Сообщение «Плохой вакуум, выключить насос FVN: да -<Enter>, нет <Esc>»;
Ждать подтверждения;
Если ДА то
Запуск процесса «Остановка вакуумного агрегата FVN»;
Выход их процесса с ошибкой 3
НЕТ то сообщение оператору «Плохой вакуум в камере ».
Процесс остановки вакуумного агрегата «Остановка_FVN»
Д. Содержание процесса.
Процесс инициируется автоматически или оператором.
После инициализации:
Сообщение «Закройте клапан KV3?: да - <Enter>»;
Ожидать подтверждения;
Команда «Выключить FVN»;
Команда «Закрыть клапан КС7»;
Команда «Открыть натекатель NV3»;
Конец процесса «Остановка вакуумного агрегата FVN»
3Система снабжения холодной водой CW (НЭО16в.07.00.00.000)
Холодная вода используется в качестве среды охлаждения конденсора Knd, и питания водокольцевого насоса FVN. Имеется возможность измерения расхода и перепада температур на входе и выходе холодной воды, следовательно – расхода отведенного тепла.
Последовательная пара шаровых кранов на входе водокольцевого насоса (KC6, KC7) позволяет настроить требуемый расход и включать - отключать воду без изменения настройки. Эти краны обеспечивают работоспособность вакуумной системы и были описаны в разделе 6.1.3.
Описание элементов системы снабжения холодной водой
Расходомер холодной воды dQСW
В системе используется расходомер dQСW (Расходомер тахометрический ВСТН ду 50), подобный описанному в разделе 4.1.1. Подробное описание приведено в Приложении, файл «ВодосчетчикиВСТ.doc»
Датчики температуры холодной воды на входе TCin и выходе TCout
В качестве датчиков температуры холодной воды на входе TCin и выходе TCout используется термосопротивление медное с унифицированным выходм ТСМУ Метран-274-03-100-0,5-Н10-(0...100)гр.С -4-20мА - Т3 - ТУ4211-003-12580824-2001 ГПи. Датчик измеряет температуру в диапазоне 0..100°С с погрешностью 0.5% и имеет выходной сигнал 4..20 мА. Подробное описание конструкции, механического, электрического и информационного интерфейса датчика температуры и других элементов приведено в Приложении, файл «ТСМУ.pdf»..
Процессы системы снабжения холодной водой
Показания датчиков температуры и расходомеров системы CW используются в процессе «Расход тепла», который описан в разделе 4.2.
Пневмосистема PSYS (НЭО16в.06.00.00.000)
Пневмосистема служит для подачи и коммутации потоков сжатого воздуха потребителям – элементам установки НОВ-01, список которых приведен в таблице 8. При ее изучении следует руководствоваться листом 3 комплексной принципиальной схемы НЭО16в.00.00.00.00ФС, схемой пневматической принципиальной НЭО16в.06.00.00.000 П3 и приведенными в Приложениями файлами описаний компонентов.
Пневмосистема PSYS состоит из винтового компрессора КМ типа Zenith sil. 03, осушителя рефрижераторного DRY 21, осуществляющего предварительную подготовку сжатого воздуха, пневмоагрегата НЭО16в.06.01.00.000, распределяющего потоки по потребителям, список которых приведен в таблице 8.
Энергетический и информационный интерфейс элементов системы приведен в таблице 9.
Таблица 8.
| Обозначение и наименование потребителя | Тип потреби-теля | Потоки сжатого воздуха | Питание катушки распреде-лителя | Управляю-щий сигнал | Примечание |
| Натекатель NV3 | Клапан отсечной J9APG1604 | V_NV3_off | U_NV3_off | dm_NV3_off | Исходное состояние - открыт |
| Клапан KC7 | Клапан отсечной J9CPG1604 | V_KC7_on | U_KC7_on | dm_KC7_on | Исходное состояние - заткрыт |
| PZD – пневмо-цилиндр PZD | 163343 Пневмо-цилиндр DNC-40-160-PPV-A Festo | V_PZD_on | U_PZD_on | dm_PZD_on | Исходное состояние - втянут dm_PZD_on:=0 |
| V_PZD_off | |||||
| PZ1 – пневмо-цилиндр PZ1 | V_PZ1_on | U_PZ1_on | dm_PZ1_on | Исходное состояние - втянут dm_PZ1_on:=0 | |
| V_PZ1_off | |||||
| PZV – пневмо-цилиндр PZV | 163408Пневмо-цилиндр DNC-63-60-PPV-A | V_PZV_on | U_PZV_off | dm_PZN_off | Исходное состояние – выдвинут dm_PZN_off:=0 |
| V_PZV_off |
Таблица 9.
| ОБОЗН. | НАИМЕНОВАНИЕ | КОД | УРОВЕНЬ | АДР. | ПРИМЕЧ. |
| V_KC7_on | Воздух на открытие KC7 | P | 500 кПа | KC7 | |
| V_NV3_off | Воздух на закрытие NV3 | P | 500 кПа | NV3 | |
| V_PS | Воздух в пневмосистему | P | 500 кПа | KMP | |
| V_PZ1_off | Воздух на пневмоцилиндр 1 конвейера | P | 500 кПа | PZ1 | Шток назад |
| V_PZ1_on | Воздух на пневмоцилиндр 1 конвейера | P | 500 кПа | PZ1 | Шток вперед |
| V_PZD_off | Воздух на пневмоцилиндр дозатора | P | 500 кПа | PZD | Шток назад |
| V_PZD_on | Воздух на пневмоцилиндр дозатора | P | 500 кПа | PZD | шток вперед |
| V_PZV_off | Воздух на вертикальный пневмоцилиндр конвейера | P | 500 кПа | PZV | Скребок вверху |
| V_PZV_on | Воздух на вертикальный пневмоцилиндр конвейера | P | 500 кПа | PZV | Скребок внизу |
| dc_V_PS | Давление воздуха в пневмосистеме | ДК | НО-НЗ контакт, 5А, 250В | SPU | |
| U_KC7_on | Клапан KC7 открыть | ДУ | +24В, 100мА | SPU | |
| U_NV3_off | Натекатель NV3 закрыть | ДУ | +24В, 100мА | SPU | |
| U_PZ1_on | Пневмоцилиндр выдвинуть | ДУ | +24В, 100мА | SPU | |
| U_PZD_on | Пневмоцилиндр выдвинуть | ДУ | +24В, 100мА | SPU | |
| U_PZV_on | Пневмоцилиндр вподнять | ДУ | +24В, 100мА | SPU | |
| U_DRY | Напряжение питания осушителя DRY | Э | 220 B, 170 Вт | SIN SPU | Без управления |
| U_KM | Напряжение питания Zenith sil 03 | Э | 220/380B, 2.2 кВт | SIN SPU | Без управления |
Описание элементов пневмосистемы
Компрессор KMP
В качестве источника сжатого воздуха KMP применен компрессор винтовой Zenith sil. 03 с ресивером объемом в 270 литров. Он имеет производительность 0.34 м3/мин. при давлении 8 бар (800 кПа). Его конструкция и инструкция по эксплуатации приведена в Приложении «ZENITH.doc». Параметры электропитания приведены в таблице 9.
Осушитель рефрижераторный DRY 21
Осушитель рефрижераторный DRY 21 предназначен для эффективного удаления влаги, содержащейся в сжатом воздухе, путем его охлаждения до +3оС. Осушитель снабжен всеми необходимыми устройствами контроля, безопасности и регулировки и не требует вспомогательного оборудования. Его конструкция и инструкция по эксплуатации приведена в Приложении «DRY 16-180.pdf». Параметры электропитания приведены в таблице 9.
Пневмоагрегат НЭО16в.06.01.00.000
Пневмоагрегат НЭО16в.06.01.00.000 построен на элементах фирмы Festo и предназначен для управляемой коммутации воздушных потоков. Состоит из станции подготовки воздуха SPV типа «162773 Блок подготовки воздуха FRC-3/8-D-5M-MIDI», пневмоострова CPV1 типа «18210335 Пневмоостров CPV-14-VI335 10P-14-8B-MP-R-Y-C2MC4M+UZY», глушителя U1 «2309 Глушитель U-3/8» и ряда дополнительных элементов, выполняющих вспомогательные функции крепления и коммутации потоков вручную.
Схема пневмоагрегата приведена в документе НЭО16в.06.00.00.000 П3. Здесь нами использован пневмоостров из состава установки НОВ-5, в котором задействованы только четыре распределителя К1, R4, R5 и R6. Каналы остальных заглушены. В новых модификациях целесообразно использовать пневмоостров из 4-х секций.
Пневмоостров 18210335 CPV-14-VI335 10P-14-8B-MP-R-Y-C2MC4M+UZY содержит 8 пневмораспределителей, объединенных вместе едиными каналами подвода и отвода воздуха и разъемом питания переключающих катушек. На пневмосхеме НЭО16в.06.00.00.000 П3 показаны типы распределителей, входящих в каждый пневмоостров и разводка цепей питания их катушек по разъемам. В Приложении «CPV14_RU.pdf» подробно описаны конструктивные особенности пневмоостровов различного типа, в том числе и примененные в пневмоагрегате. В Приложении «CPV Manual.pdf» - инструкции по монтажу и эксплуатации пневмоостровов, в Приложении «CPV Multipole.pdf» - схемы электрической разводки.
Действия, реализуемые пневмосистемой
Пневмосистема в установке НОВ-01 не реализует каких-либо ее целевых процессов, а осуществляет действия по преобразованию электрических управляющих сигналов в цепи энергопитания пневмоцилиндров (см. НЭО16в.00.00.00.000ФС).















