2005 Таня (2абв, 8абв) (1027698), страница 2
Текст из файла (страница 2)
Среднее время восстановления системы в установившемся режиме рассчитывается как:
Коэффициент готовности.
Для стационарного режима получаем следующую систему уравнений:
Преобразовав ее, получим:
Находим Р4:
Вероятность успешного использования системы рассчитывается по формуле:
Б) С частично нагруженным резервом
элементы 1 - 5 – основные, а элементы 6 - 8 – работают в режиме теплой замены.
Найдем вероятностные характеристики данной системы методом дифференциальных уравнений.
Для этого сначала построим вероятностный граф состояний (ВГС). За состояние примем количество неисправных элементов системы.
На основе приведенного ВГС запишем систему дифференциальных уравнений:
Начальные условия для этой системы таковы:
Проведем для вышеприведенной системы уравнений прямое преобразование Лапласа. В результате получим следующую систему:
Преобразуем систему:
Представим систему в матричном виде:
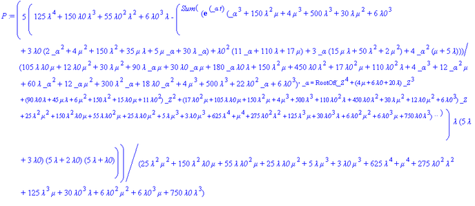
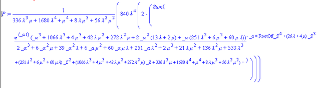
Определим вероятность состояния системы Р4(s) с помощью правила Крамера:
.
Применив обратное преобразование Лапласа и подставив t=4800 часов, получим:
Вероятность безотказной работы системы равна:
Среднее время наработки системы на отказ в установившемся режиме.
Среднее время восстановления системы в установившемся режиме рассчитывается как:
Коэффициент готовности.
Для стационарного режима получаем следующую систему уравнений:
Преобразовав ее, получим:
Находим Р4:
Вероятность успешного использования системы рассчитывается по формуле:
В) С ненагруженным резервом
элементы 1 - 5 – основные, а элементы 6 - 8 – работают в режиме холодной замены.
Найдем вероятностные характеристики данной системы методом дифференциальных уравнений.
Для этого сначала построим вероятностный граф состояний (ВГС). За состояние примем количество неисправных элементов системы.
На основе приведенного ВГС запишем систему дифференциальных уравнений:
Начальные условия для этой системы таковы:
Проведем для вышеприведенной системы уравнений прямое преобразование Лапласа. В результате получим следующую систему:
Преобразуем систему:
Представим систему в матричном виде:
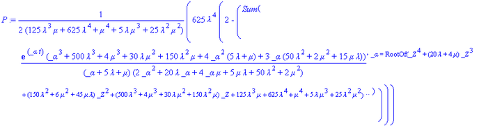
Определим вероятность состояния системы Р4(s) с помощью правила Крамера:
.
Применив обратное преобразование Лапласа и подставив t=4800 часов, получим:
Вероятность безотказной работы системы равна:
Среднее время наработки системы на отказ в установившемся режиме.
Среднее время восстановления системы в установившемся режиме рассчитывается как:
Коэффициент готовности.
Для стационарного режима получаем следующую систему уравнений:
Преобразовав ее, получим:
Находим Р4:
Вероятность успешного использования системы рассчитывается по формуле:
Восстанавливаемая система без резервирования
Найдем вероятностные характеристики данной системы методом дифференциальных уравнений.
Для этого сначала построим вероятностный граф состояний (ВГС). За состояние примем количество неисправных элементов системы.
На основе приведенного ВГС запишем систему дифференциальных уравнений:
Начальные условия для этой системы таковы:
Проведем для вышеприведенной системы уравнений прямое преобразование Лапласа. В результате получим следующую систему:
Преобразуем систему:
Решим систему уравнений:
Проведем для вышеприведенной системы уравнений обратное преобразование Лапласа. В результате получим следующую систему:
Вероятность безотказной работы системы равна:
Среднее время наработки системы на отказ в установившемся режиме.
Среднее время восстановления системы в установившемся режиме рассчитывается как:
Коэффициент готовности равен:
Вероятность успешного использования системы рассчитывается по формуле:
Результаты вычислений
Результаты вычислений можно свести в следующей таблице:
| Параметр | Невосстанавливаемая система без резервирования | Восстанавливаемая система без резервирования | Система 2 (невосстанавливаемая резервированная система с целой кратностью) | Система 8 (восстанавливаемая резервированная система с дробной кратностью при ограниченном ремонте) | ||||
| Нагруженный резерв | Частично нагруженный резерв | Ненагруженный резерв | Нагруженный резерв | Частично нагруженный резерв | Ненагруженный резерв | |||
| Р | 0.1425e-20 | 0.091 | 0.4275e-20 | 0.8551e-20 | 0.1712e-17 | 0.193 | 0.196 | 0.200 |
| mt, час | 0.01 | 20 | 183.33 | 216 | 300 | 67.4 | 80.6 | 93.76 |
| mtв, час | - | 200 | - | - | - | 25 | 25 | 25 |
| KГ | - | 0.167 | - | - | - | 0.193 | 0.196 | 0.200 |
| R | - | 0.015 | - | - | - | 0.037 | 0.038 | 0.040 |
Влияние интенсивности отказов на надежность систем
1) невосстанавливаемая резервированная система с целой кратностью с нагруженным резервом
2) восстанавливаемая резервированная система с дробной кратностью при ограниченном ремонте с нагруженным резервом
Влияние интенсивности отказов при облегченном режиме работы 0 на надежность систем
1) невосстанавливаемая резервированная система с целой кратностью с частично нагруженным резервом
при t=4800 часов, =1/100 1/час
при =1/100 1/час
2) восстанавливаемая резервированная система с дробной кратностью при ограниченном ремонте с частично нагруженным резервом
здесь =1/100, =1/100.
Влияние интенсивности восстановления на надежность систем
1) восстанавливаемая резервированная система с дробной кратностью при ограниченном ремонте с ненагруженным резервом
здесь =1/100 (1/час), 0=5/1000 (1/час)
Сравнение по критериям надежности различных типов систем
| Параметр | Невосстанавливаемая система без резервирования | Восстанавливаемая система без резервирования | Система 2 (невосстанавливаемая резервированная система с целой кратностью) | Система 8 (восстанавливаемая резервированная система с дробной кратностью при ограниченном ремонте) | ||||
| Нагруженный резерв | Частично нагруженный резерв | Ненагруженный резерв | Нагруженный резерв | Частично нагруженный резерв | Ненагруженный резерв | |||
| Р | 0.1425e-20 | 0.091 | 0.4275e-20 | 0.8551e-20 | 0.1712e-17 | 0.193 | 0.196 | 0.200 |
| mt, час | 0.01 | 20 | 183.33 | 216 | 300 | 67.4 | 80.6 | 93.76 |
| KГ | - | 0.167 | - | - | - | 0.193 | 0.196 | 0.200 |
-
Резервированная и нерезервированная система
Рбез резерва < Рнагруженный резерв < Рчастично нагруженный резерв < Рненагруженный резерв
mt без резерва < mt нагруженный резерв < mt частично нагруженный резерв < mt ненагруженный резерв
KГ без резерва < KГ нагруженный резерв < KГ частично нагруженный резерв < KГ ненагруженный резерв
-
Восстанавливаемая и не восстанавливаемая система
Рне восстанавливаемая система < Р восстанавливаемая система
mt не восстанавливаемая система < mt восстанавливаемая система
-
Целая и дробная кратность
Рс целой кратностью < Р с дробной кратностью
mt с дробной кратностью < mt с целой кратностью
Литература
-
Кузовлев В.И. Лекции по курсу «Надежность и достоверность». 2005г.
-
Пример выполнения курсовой работы. Гуськов Ю.О. 2003г.














