КГ_2глава (1024102), страница 2
Текст из файла (страница 2)
Приведем в виде формулы:
где А, В,..., N —константы.
Рассмотрим частные случаи трехмерного аффинного преобразования объектов, |
1. Сдвиг на dx, dy, dz.
2. Растяжение-сжатие на кх, ку, кz:
3. Повороты.
• Поворот вокруг оси х на угол φ (рис. 2.10):
• Поворот вокруг оси у на угол ψ (рис. 2.11):
• Поворот вокруг оси z на угол γ (рис. 2.12):
Формулы для обратных преобразований не приведены, но их несложно получить по аналогии с преобразованиями, которые рассмотрены выше.
2.3. Связь преобразований объектов с преобразованиями координат
Когда пользователь графической системы видит на экране перемещающийся объект, то, как вы считаете, что на самом деле происходит — перемещаются объекты или система координат в обратном направлении? Например, если в кино вы видите объекты, вращающиеся на экране по часовой стрелке, то может в действительности это камера поворачивается против часовой стрелки?
Преобразование объектов и преобразование систем координат тесно связаны между собой. Движение объектов можно рассматривать как движение в обратном направлении соответствующей системы координат.
Такая относительность для объектов отображения и систем координат дает разработчикам компьютерных систем дополнительные возможности для моделирования и визуализации пространственных объектов. С каждым объект том можно связывать как собственную локальную систему координат, так и единую для нескольких объектов. Это можно использовать, например, для моделирования подвижных объектов.
Обычно, того же самого эффекта можно добиться, если использовать различные подходы. Однако в одних случаях удобнее использовать преобразование координат, а в других — преобразование объектов. Не последнюю роль играет сложность обоснования какого-то способа, его понятность.
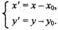
Рассмотрим пример комбинированного подхода. Пусть нам нужно получить функцию расчета координат (X У) для поворота вокруг центра с координатами (хо,уо) (рис. 2.13).
Выше мы рассмотрели поворот относительно центра координат (0, 0). Для решения нашей задачи введем новую систему координат (х',0',у') с центром в точке (х0, у0):
Для такой системы поворот точек происходит вокруг ее центра:
(Преобразуем координаты (X', У') в (X,Y) сдвигом системы координат в точку (0,0):
Если объединить формулы преобразований, то получим результат:
Решение этой задачи можно было бы осуществить и в матричной форме:
Рассмотрим второй пример. Нашей задачей будет вывод формул параметрического описания поверхности тора. Изобразим тор следующим образом (рис. 2.14).
Для произвольной точки Р, лежащей на поверхности тора, требуется выразить координаты (х, у, z) через константы, описывающие размеры фигуры, а также через некоторые параметры. Для поверхности в трехмерном пространстве необходимо использовать два параметра. В качестве таковых выберем угловые величины: φ (широта) и ω (долгота).
Непосредственное определение координат точки Р представляется сложным, поэтому искомые координаты будем искать несколькими шагами преобразований. Рассмотрим окружность, лежащую в плоскости zOy, центр этой окружности совпадает с центром координат. Координаты точки Р" с широтой у составляют
где r — малый радиус тора.
Теперь перенесем окружность на расстояние R (большой радиус тора) по оси у в той же плоскости zOy. Получим точку Р'. Ее координаты:
Окружность, которой принадлежит точка Р', является геометрическим местом точек тора с нулевой долготой ω. Если точку Р' повернуть на угол ω, то получим искомую точку Р поверхности тора с координатами
Подставляя значения (x′, у′, z′) получим искомые формулы
Эту задачу можно было бы решить, используя преобразование координат. Подобный случай мы рассмотрим ниже (пример studex8 в разделе программирования). Однако, как представляется, более ясным здесь выглядит использование операций перемещения точки (из положения Р" в Р′, а затем в Р).
2.4. Проекции
В настоящее время наиболее распространены устройства отображения, которые синтезируют изображения на плоскости — экране дисплея или бумаге. Устройства, которые создают истинно объемные изображения, пока достаточно редки. Но все чаще появляются сведения о таких разработках, например, об объемных дисплеях [37] или даже о трехмерных принтерах [45].
При использовании любых графических устройств обычно используют проекции. Проекция задает способ отображения объектов на графическом устройстве. Мы будем рассматривать только проекции на плоскость.
Мировые и экранные координаты
При отображении пространственных объектов на экране или на листе бумаги с помощью принтера необходимо знать координаты объектов. Мы рассмотрим две системы координат. Первая — мировые координаты, которые описывают истинное положение объектов в пространстве с заданной точностью. Другая — система координат устройства изображения, в котором осуществляется вывод изображения объектов в заданной проекции.
Пусть мировые координаты будут трехмерными декартовыми координатами. Где должен размещаться центр координат, и какими будут единицы измерения вдоль каждой оси, пока для нас не очень важно. Важно то, что для изображения мы будем знать какие-то числовые значения координат отображаемых объектов.
Для получения изображения в определенной проекции необходимо рассчитать координаты проекции. Из них можно получить координаты для графического устройства— назовем их экранными координатами. Для синтеза изображения на плоскости достаточно двумерной системы координат. Однако в некоторых алгоритмах визуализации используются трехмерные экранные координаты, например, в алгоритме Z-буфера.
Основные типы проекций
В компьютерной графике наиболее распространены параллельная и центральная проекции (рис. 2.15).
Для центральной проекции (также называемой перспективной) лучи проецирования исходят из одной точки, размещенной на конечном расстоянии от объектов и плоскости проецирования. Для параллельной проекции лучи проецирования параллельны.
Аксонометрическая проекция
Аксонометрическая проекция — разновидность параллельной проекции. Для нее все лучи проецирования располагаются под прямым углом к плоскости проецирования (рис. 2.16).
[Зададим положения плоскости проецирования с помощью двух углов — α и β, Расположим камеру так, чтобы проекция оси z на плоскости проецирова|ния Х0Y была бы вертикальной линией (параллельной оси ОУ).
Рис. 2.16. Аксонометрическая проекция
Для того чтобы найти соотношения между координатами (х, у, z) и (X, Y, Z) для любой точки в трехмерном пространстве, рассмотрим преобразования системы координат (х, у, z) в систему (X, Y, Z). Зададим такое преобразование двумя шагами.
1-й шаг. Поворот системы координат относительно оси z на угол α. Такой поворот осей описывается матрицей
2-й шаг. Поворачиваем систему координат (x′, у', z') относительно оси х' на угол β — получаем координаты (X, Y, Z). Матрица поворота
Преобразования координат выражаем произведением матриц В * А:
Запишем
преобразование для координат проекции в виде формул:
Как вы считаете, будет ли получена та же проекция, если описывать преобразования координат теми же двумя шагами, но в другой последовательности — сначала поворот системы координат относительно оси х на угол β, а потом поворот системы координат относительно оси z' на угол α? И будут ли вертикальные линии в системе координат (x,y,z) рисоваться также вертикалями в системе координат (X, У, Z)? Иначе говоря, выполняется ли А*В - В*А? Обратное преобразование координат аксонометрической проекции. Для того, чтобы координаты проекции (X, Y, Z) преобразовать в мировые координаты (х, у, z), нужно проделать обратную последовательность поворотов. Вначале выполнить поворот на угол - β а затем — поворот на угол — α. Запишем обратное преобразование в матричном виде
Матрицы поворотов:
Перемножив матрицы А-1 и В-1, получим матрицу обратного преобразования:
Запишем обратное преобразование также и в виде формул
Перспективная проекция
Перспективную проекцию (рис. 2.17) сначала рассмотрим при вертикальном расположении камеры, когда а=β = 0. Такую проекцию можно себе представить как изображение на стекле, через которое смотрит наблюдатель, расположенный сверху в точке (х, у, z) = (0, 0, zk). Здесь плоскость проецирования параллельна плоскости (хОу).
Исходя из подобия треугольников, запишем такие пропорции:
Учитывая также координату Z:
















