Тоэ_кр2 (1021806)
Текст из файла
Рахмуков Владимир ВСС 1-97 МИРЭА 1999г.
МОСКОВСКИЙ ГОСУДАРСТВЕННЫЙ ИНСТИТУТ РАДИОТЕХНИКИ, ЭЛЕКТРОНИКИ И АВТОМАТИКИ
(ТЕХНИЧЕСКИЙ УНИВЕРСИТЕТ)
Контрольная работа № 2.
по предмету
« Электротехника »
студента группы ВСС 1-97
Рахмукова Владимира
Москва, 1999 г.
L2 = 3.47 мГн
С2 = 12 мкФ
С3 = 4,02 мкФ
R1 = 17 Ом
f = 1100 Гц
e1' = 113cos(t-90) В
e1'' = 0 В
e3' = 56.6sin(t-35) В
e3'' = 0 В
-
1. На основании законов составить в общем виде систему уравнений для расчёта токов в ветвях цепи, записав её в двух формах:
а) дифференциальной, б) символической.
-
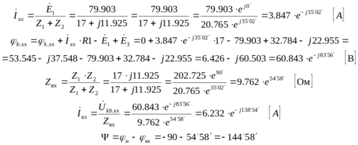
2. Определить комплексы действующих значений токов во всех ветвях, воспользовавшись одним из методов расчёта линейных электрических цепей.
-
3. По результатам полученым в п. 2, определить показание ваттметра
-
4. Построить топографическую диаграмму, совмещённую с векторной диаграммой токов, потенциал точки "а", указанной на схеме, принять равным нулю.
-
5. Построить круговую диаграмму для тока в одном из сопротивлений цепи при изменении модуля этого сопротивления в пределах от 0 до . Сопротивление, подлежащее изменению отмечено на схеме стрелкой.
-
6.Пользуясь круговой диаграммой, построить график изменения тока в изменяющемся сопротивлении в зависимости от модуля этого сопротивления.
| Сопротивление (Ом) | 0 | 2 | 4 | 6 | 8 | 10 | 12 | 14 |
| Т | 3,26 | 3,86 | 4,62 | 5,3 | 5,62 | 5,25 | 4,54 | 3,25 |
-
7. Используя данные расчётов, полученных в п.п. 2, 5, записать выражение для мгновенного значения тока или напряжения. Построить график зависимости указанной величины от t.
-
8. Полагая, что между двумя любыми индуктивными катушками, расположенными в различных ветвях схемы, имеется магнитная связь при взаимной индуктивности, равной М, составить в общем виде систему уравнений по законам Кирхгофа для расчёта токов во всех ветвях схемы, записав её в двух формах: а) дифференциальной, б) символической.
Характеристики
Тип файла документ
Документы такого типа открываются такими программами, как Microsoft Office Word на компьютерах Windows, Apple Pages на компьютерах Mac, Open Office - бесплатная альтернатива на различных платформах, в том числе Linux. Наиболее простым и современным решением будут Google документы, так как открываются онлайн без скачивания прямо в браузере на любой платформе. Существуют российские качественные аналоги, например от Яндекса.
Будьте внимательны на мобильных устройствах, так как там используются упрощённый функционал даже в официальном приложении от Microsoft, поэтому для просмотра скачивайте PDF-версию. А если нужно редактировать файл, то используйте оригинальный файл.
Файлы такого типа обычно разбиты на страницы, а текст может быть форматированным (жирный, курсив, выбор шрифта, таблицы и т.п.), а также в него можно добавлять изображения. Формат идеально подходит для рефератов, докладов и РПЗ курсовых проектов, которые необходимо распечатать. Кстати перед печатью также сохраняйте файл в PDF, так как принтер может начудить со шрифтами.
















