Задание 1 (1021724)
Текст из файла
МОСКВОВСКИЙ ГОСУДАРСТВЕННЫЙ УНИВЕРСИТЕТ ПРИБОРОСТРОЕНИЯ И ИНФОРМАТИКИ
Домашняя работа
по предмету «Основы теории управления»
сдал студент группы ИТ-6(сокр.,будни)
Жукова Д. В.
принял Мельников А.О.
Задание 1.
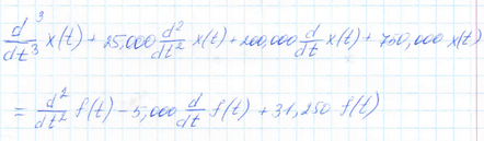
Дана математическая модель динамической системы в виде обыкновенного линейного дифференциального уравнения. Необходимо получить передаточную функцию системы:
Применим к обеим частям уравнения преобразование Лапласа (предполагаем, что начальные условия все равны нулю):
Выносим общий множитель слева и справа:
После элементарных преобразований получаем:
Задание 2.
По заданной передаточной функции найти полюсы и нули. Отобразить их на комплексной плоскости. Определить устойчива ли система.
Полюсы это корни знаменателя:
Нули - это корни числителя:
Отобразим полюсы и нули на комплексной плоскости:
Система устойчива, так как полюсы лежат слева от мнимой оси.
Задание 3.
По заданной передаточной характеристике построить график квадрата модуля частотной характеристики системы.
Частотная характеристика системы может быть получена из передаточной функции простой заменой переменной
на
. Где
- частота в рад/сек. Т.е.:
Для построения графика амплитудно-частотной характеристики (АЧХ) обычно переходят к квадрату модуля частотной характеристики:
Задание 4.
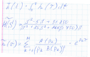
Вам задана передаточная функция системы. Необходимо построить импульсную характеристику системы пользуясь формулой Хэвисайда.
Импульсная характеристика (реакция линейной системы на импульсное воздействие) есть обратное преобразование Лапласа от передаточной функции системы:
Известно, что в случае дробно-рационального представления функции ее оригинал можно найти используя формулу Хэвисайда (вторую теорему разложения)
(*)
где
- числитель передаточной функции,
- знаменатель передаточной функции,
-корни знаменателя передаточной функции. Если присутствуют кратные корни, то формула (*) усложняется. В нашем случае:
окончательно получаем, импульсная характеристика системы:
Задание 5.
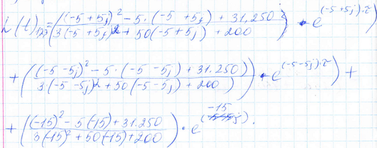
Вам задана передаточная функция системы. Необходимо построить переходную характеристику системы пользуясь формулой Хэвисайда.
Переходная характеристика системы - это реакция системы на единичное ступенчатое воздействие (переход с нуля на 1). Действуем аналогично заданию 4, учитывая тот факт что переходная характеристика - это интеграл от импульсной характеристики системы.
В области изображений интегрирование соответствует делению на
, следовательно для нахождения переходной характеристики системы достаточно вычислить обратное преобразование Лапласа от выражения:
Тогда переходная характеристика исходной системы может быть вычислена так:
Производная знаменателя:
Теперь можно записать выражение для вычисления переходной характеристики системы:
Строим вид кривой по нескольким точкам:
Задание 6.
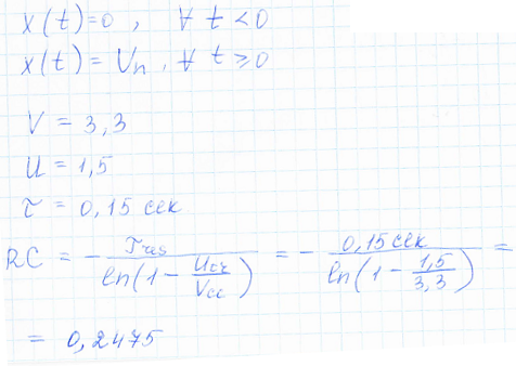
Требуется рассчитать цепь формирования сигнала "сброс" на входе процессора. Эта схема должна удерживать процессор в состоянии "Сброс" в течение
секунд после подачи питания на устройство. Напряжение питания -
вольт. Вход "сброс" активен по уровню нуля, т.е. когда на входе действует напряжение ниже чем пороговое
- процессор находится в состоянии сброса.
Характеристики
Тип файла документ
Документы такого типа открываются такими программами, как Microsoft Office Word на компьютерах Windows, Apple Pages на компьютерах Mac, Open Office - бесплатная альтернатива на различных платформах, в том числе Linux. Наиболее простым и современным решением будут Google документы, так как открываются онлайн без скачивания прямо в браузере на любой платформе. Существуют российские качественные аналоги, например от Яндекса.
Будьте внимательны на мобильных устройствах, так как там используются упрощённый функционал даже в официальном приложении от Microsoft, поэтому для просмотра скачивайте PDF-версию. А если нужно редактировать файл, то используйте оригинальный файл.
Файлы такого типа обычно разбиты на страницы, а текст может быть форматированным (жирный, курсив, выбор шрифта, таблицы и т.п.), а также в него можно добавлять изображения. Формат идеально подходит для рефератов, докладов и РПЗ курсовых проектов, которые необходимо распечатать. Кстати перед печатью также сохраняйте файл в PDF, так как принтер может начудить со шрифтами.
















