Матан типовой расчет (задание) (1021433)
Текст из файла
ФЕДЕРАЛЬНОЕ АГЕНТСТВО ПО ОБРАЗОВАНИЮ
ГОСУДАРСТВЕННОЕ ОБРАЗОВАТЕЛЬНОЕ УЧРЕЖДЕНИЕ ВЫСШЕГО ПРОФЕССИОНАЛЬНОГО ОБРАЗОВАНИЯ «МОСКОВСКИЙ ГОСУДАРСТВЕННЫЙ ИНСТИТУТ РАДИОТЕХНИКИ, ЭЛЕКТРОНИКИ И АВТОМАТИКИ (ТЕХНИЧЕСКИЙ УНИВЕРСИТЕТ)»
МАТЕМАТИЧЕСКИЙ АНАЛИЗ
III СЕМЕСТР
КОНТРОЛЬНЫЕ ЗАДАНИЯ
ДЛЯ СТУДЕНТОВ ВЕЧЕРНЕГО И ЗАОЧНОГО
ОТДЕЛЕНИЙ
МОСКВА 2005
Составители: А.Б.Зайцев, Е.С.Мироненко, А.И.Сазонов, Д.А.Хрычев, А.Л.Шелепин
Редактор Ю.И.Худак
Контрольные задания являются типовыми расчетами по разделам математического анализа (кратные интегралы и векторный анализ), изучаемым студентами вечернего и заочного отделений МИРЭА в третьем семестре. Типовые расчеты выполняются студентами в письменном виде и сдаются преподавателю до начала зачетной сессии. Приведенные в пособии вопросы к экзамену по математическому анализу могут быть уточнены и дополнены лектором. При составлении типовых расчетов были использованы методические разработки коллектива кафедры высшей математики МИРЭА.
Печатаются по решению редакционно-издательского совета университета.
Рецензенты: Б.Н. Фролов, О.В. Бабурова
МИРЭА, 2005
ТИПОВОЙ РАСЧЕТ ПО ТЕМЕ: "КРАТНЫЕ ИНТЕГРАЛЫ"
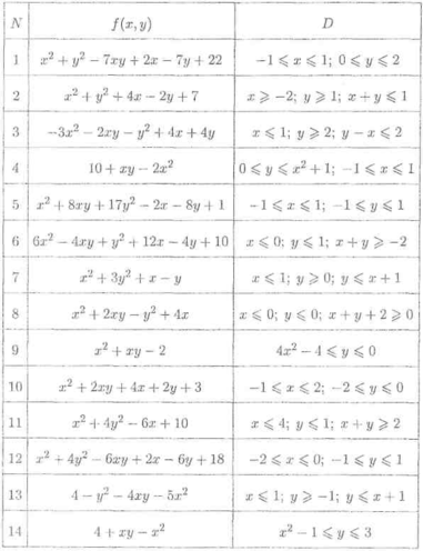
ЗАДАЧА 1. Найти наименьшее и наибольшее значение функции f{x,y) в замкнутой области D. заданной системой неравенств.
ЗАДАЧА 2. В повторном интеграле
рядок интегрирования.
ЗАДАЧА 3. Найти момент инерции плоской однородной пластинки D относительно оси ОХ (варианты 1 — 15) или оси OY (варианты 16 — 30). При вычислении двойного интеграла перейти к полярным координатам.
ЗАДАЧА 4. С помощью тройного интеграла вычислить объем тела G, заданного неравенствами.
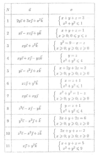
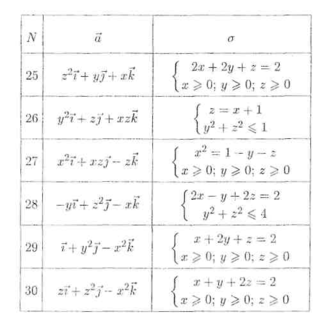
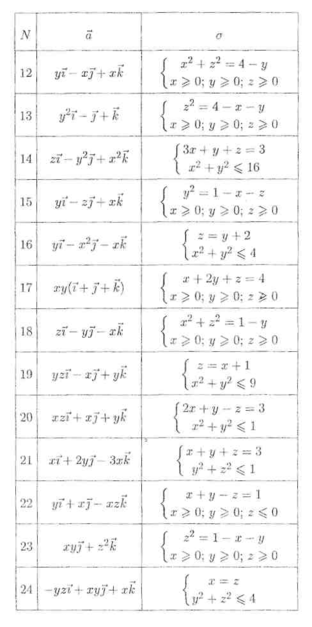
ТИПОВОЙ РАСЧЕТ ПО ТЕМЕ: "ВЕКТОРНЫЙ АНАЛИЗ"
ЗАДАЧА 1. Найти дивергенцию и ротор векторного поля
о, задаваемого векторным произведением
. Вектор
и скалярное поле и указаны в таблице.
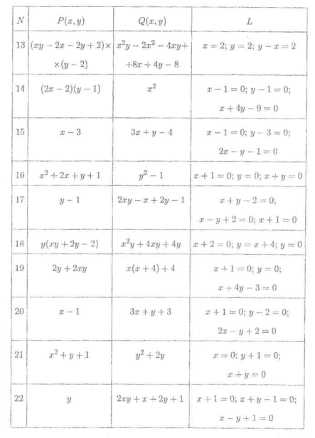
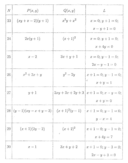
ЗАДАЧА 2. Вычислить криволинейный интеграл
по замкнутому контуру L, пробегаемому против часовой стрелки, двумя способами: непосредственно и по формуле Грина.
ЗАДАЧА 3. Найти поток векторного поля
ЗАДАЧА 4. Найти циркуляцию векторного поля
ТЕОРЕТИЧЕСКИЕ ВОПРОСЫ К ЭКЗАМЕНУ
-
Функция нескольких переменных. Предел и непрерывность функции нескольких переменных.
-
Частные приращения и частные производные функции нескольких переменных. Полное приращение и полный дифференциал функции нескольких переменных.
-
Определение дифференцируемой функции нескольких переменных. Необходимое и достаточное условия дифференцируемое™.
-
Дифференцирование сложной функции нескольких переменных.
-
Неявная функция нескольких переменных и ее частные производные.
-
Частные производные высших порядков. Теорема о независимости смешанных частных производных от порядка дифференцирования.
-
Экстремум функции нескольких переменных. Необходимое условие экстремума. Достаточное условие экстремума функции двух переменных.
-
Нахождение наибольшего и наименьшего значений функции двух переменных в ограниченной замкнутой области.
-
Определение двойного интеграла, его геометрический смысл. Теорема существования двойного интеграла.
-
Вычисление двойного интеграла в декартовых координатах сведением к повторному интегралу.
-
Вычисление двойного интеграла в полярных координатах.
-
Определение тройного интеграла. Теорема существования тройного интеграла.
-
Вычисление тройного интеграла в декартовых координатах сведением к повторному интегралу.
-
Цилиндрические координаты. Вычисление тройного интеграла в цилиндрических координатах.
-
Сферические координаты. Вычисление тройного интеграла в сферических координатах.
-
Свойства кратных интегралов: линейность, аддитивность, интегрирование неравенств.
-
Свойства кратных интегралов: теорема об оценке и теорема о среднем.
-
Физические приложения кратных интегралов: вычисление масс, моментов, координат центра масс.
-
Скалярные и векторные поля. Поверхности уровня и векторные линии.
-
Градиент скалярного поля и его свойства.
-
Производная скалярного поля по направлению, ее связь с градиентом.
-
Градиент скалярного ноля. Теорема об ортогональности градиента к поверхности уровня.
-
Дивергенция векторного поля, ее свойства.
-
Ротор векторного поля, его свойства.
-
Оператор Гамильтона, запись градиента, дивергенции и ротора с его помощью. Вывод формул rot grad u =
и div rot
= 0. -
Определение криволинейного интеграла по длине дуги. Теорема существования криволинейного интеграла по длине дуги.
-
Свойства криволинейного интеграла по длине дуги. Его вычисление с помощью интегрирования по параметру.
-
Определение поверхностного интеграла 1-го рода. Теорема существования поверхностного интеграла 1-го рода.
-
Свойства поверхностного интеграла 1-го рода. Его вычисление методом проектирования на одну из координатных плоскостей.
-
Определение потока векторного поля через ориентированную поверхность. Вычисление потока методом проектирования на одну из координатных плоскостей.
-
Поток векторного поля через замкнутую поверхность. Теорема Гаусса-Остроградского в векторной и координатной формах.
-
Определение линейного интеграла векторного поля и его вычисление с помощью интегрирования по параметру.
-
Линейный интеграл плоского векторного поля. Теорема Грина.
-
Условия независимости линейного интеграла плоского векторного ноля от формы пути.
-
Теорема Стокса в векторной и координатной формах.
-
Определение и свойства потенциального поля.
-
Определение и свойства соленоидального поля.
Характеристики
Тип файла документ
Документы такого типа открываются такими программами, как Microsoft Office Word на компьютерах Windows, Apple Pages на компьютерах Mac, Open Office - бесплатная альтернатива на различных платформах, в том числе Linux. Наиболее простым и современным решением будут Google документы, так как открываются онлайн без скачивания прямо в браузере на любой платформе. Существуют российские качественные аналоги, например от Яндекса.
Будьте внимательны на мобильных устройствах, так как там используются упрощённый функционал даже в официальном приложении от Microsoft, поэтому для просмотра скачивайте PDF-версию. А если нужно редактировать файл, то используйте оригинальный файл.
Файлы такого типа обычно разбиты на страницы, а текст может быть форматированным (жирный, курсив, выбор шрифта, таблицы и т.п.), а также в него можно добавлять изображения. Формат идеально подходит для рефератов, докладов и РПЗ курсовых проектов, которые необходимо распечатать. Кстати перед печатью также сохраняйте файл в PDF, так как принтер может начудить со шрифтами.















