типовик интегралы 3 вариант (1021222)
Текст из файла
ВАРИАНТ №3
ТИПОВОЙ РАСЧЕТ ПО ТЕМЕ "КРАТНЫЕ ИНТЕГРАЛЫ"
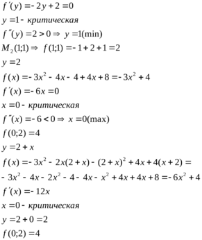
Задача №1. Найти наименьшее и наибольшее значение функции f (x, y) в замкнутой области D, заданной системой неравенств.
Решение: Начертим обозначенную в условии область D
Угловые точки области имеет координаты:
А(0;2) В(1;2)
Найдем координаты точки С:
Найдем частные производные функции.
Решим систему уравнений.
-6x-2y+4 = 0
-2x-2y+4 = 0
Из первого уравнения выражаем x и подставляем во второе уравнение:
x = -1/3y+2/3
-4/3y+8/3 = 0
Откуда y = 2
Данные значения y подставляем в выражение для x. Получаем: x = 0
Количество критических точек равно 1.
M1(0;2)
Найдем частные производные второго порядка.
Вычислим значение этих частных производных второго порядка в критической точке (0;2)
AC - B2 = 8 > 0 и A < 0 , то в точке (0;2) имеется глобальный максимум f(0;2) = 4
Исследуем поведение функции на границе области
х=1
Подставим в функцию
Рассчитаем значения в угловых точках
Из полученных значений в глобальном максимуме и условных экстремумах выбираем максимальное и минимальное значение
Ответ:
Задача №2. В повторном интеграле
изменить порядок интегрирования.
Решение:
Область интегрирования ограничена линиями:
Ответ:
Задача №3. Найти момент инерции плоской однородной пластинки D относительно оси OX. При вычислении двойного интеграла перейти к полярным координатам.
Решение:
Область интегрирования симметрична относительно оси абсцисс, следовательно, двойной интеграл равен нулю.
Задача №4. С помощью тройного интеграла вычислить объем тела G заданного неравенствами.
Ответ: V=0
ТИПОВОЙ РАСЧЕТ ПО ТЕМЕ "ВЕКТОРНЫЙ АНАЛИЗ"
Задача № 1. Найти дивергенцию и ротор векторного поля
, задаваемого векторным произведением
.
Решение:
Найдем частные производные и градиент:
Ответ:
Задача №2. Вычислить криволинейный интеграл
по замкнутому контуру L:х=0,у=0, х-у=2 пробегаемому против часовой стрелки двумя способами: непосредственно и по формуле Грина.
Решение:
Ответ: 4.
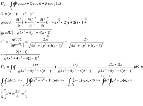
Задача № 3. Найти поток векторного поля,
через замкнутую поверхность, ограничивающую указанное тело G:
, в направлении внешней нормали к поверхности. Задачу решить двумя способами: непосредственно, вычислив поток через все гладкие куски поверхности, и с помощью теоремы Гаусса-Остроградского.
Решение:
Рассчитаем поток с помощью теоремы Гаусса-Остроградского
Высота конуса
в основании круг радиусом 1.
Представим искомый поток как сумму потоков
и
через гладкие куски, соответственно
(круг
) и
поверхность конуса
Ответ:
Задача № 4. Найти циркуляцию векторного поля
по замкнутому контуру, ограничивающему указанную поверхность σ. Задачу решить двумя способами: вычислив непосредственно линейный интеграл векторного поля и применив формулу Стокса. Направление обхода контура выбрать произвольно.
Решение:
Ответ: 85,5
11
Характеристики
Тип файла документ
Документы такого типа открываются такими программами, как Microsoft Office Word на компьютерах Windows, Apple Pages на компьютерах Mac, Open Office - бесплатная альтернатива на различных платформах, в том числе Linux. Наиболее простым и современным решением будут Google документы, так как открываются онлайн без скачивания прямо в браузере на любой платформе. Существуют российские качественные аналоги, например от Яндекса.
Будьте внимательны на мобильных устройствах, так как там используются упрощённый функционал даже в официальном приложении от Microsoft, поэтому для просмотра скачивайте PDF-версию. А если нужно редактировать файл, то используйте оригинальный файл.
Файлы такого типа обычно разбиты на страницы, а текст может быть форматированным (жирный, курсив, выбор шрифта, таблицы и т.п.), а также в него можно добавлять изображения. Формат идеально подходит для рефератов, докладов и РПЗ курсовых проектов, которые необходимо распечатать. Кстати перед печатью также сохраняйте файл в PDF, так как принтер может начудить со шрифтами.
















