Ful_V_Kuchu (1) (1021128), страница 3
Текст из файла (страница 3)
Отношение этой мощности к плотности потока мощности первичной волны у цели называется ЭПР:
Таким образом, под ЭПР понимают площадь воображаемого вторичного излучателя, равномерно рассеивающего всю падающую на него мощность и создающего в точке приема такую же плотность потока мощности, что и реальная цель.
Выразив Ппр и Пц через квадраты амплитуд соответствующих полей, можно записать следующее:
Величина σц не зависит от дальности до цели rц, так как величина Ппр при заданной Пц обратно пропорциональна величине rц2.
ЭПР цели существенно зависит от ориентации цели относительно направления на РЛС.
Факторы, определяющие ЭПР:
1. Электрические и магнитные свойства материала цели.
2. Характер поверхности цели.
3. Относительные размеры цели, которые определяются отношением ее линейного размера ℓ к длине волны λ: ℓ/λ.
15. Что называют «блестящей» точкой цели? Что является одной из важных причин изменения спектральных характеристик отраженного сигнала по отношению к спектральной характеристике зондирующего сигнала?
Область локализации вторичного излучения на поверхности цели («светящийся» элемент поверхности), (например у шара - первая зона Френеля) называется «блестящей» точкой.
В радиолокации используется также такое физическое свойство радиоволн, как изменение частоты принимаемых электромагнитных колебаний, обусловленное движением цели (эффект Доплера). Эффект Доплера проявляется в изменении частоты отраженного от движущейся цели сигнала fс относительно частоты f0 излучаемого сигнала РЛС на величину добавки Fд: fс = f0 ± Fд.
16. Каким образом взаимосвязаны спектральные и временные характеристики флюктуаций отраженного сигнала? Дать определение АКФ флюктуаций отраженного сигнала.
П
о мере увеличения τ происходит уменьшение значений, принимаемых АКФ.
Из взаимосвязи энергетического спектра с АКФ сигнала следует важный вывод: чем шире энергетический спектр, тем ýже пик АКФ, т. е. тем меньше время корреляции зондирующего сигнала
АКФ и энергетический спектр флюктуаций отраженного сигнала. Эти характеристики показывают степень случайности флюктуаций отраженного сигнала, т. е. модулирующего множителя.
АКФ задается соотношением
где
– комплексно-сопряженные значения модулирующего множителя; T – интервал усреднения.
17. Изобразить графически произвольную корреляционную функцию и на графике указать время корреляции. Как связаны между собой время корреляции и ширина спектра флюктуаций отраженного сигнала?
Интервал времени, характеризующий ширину пика АКФ, может быть назван временем корреляции. Время корреляции связано с шириной энергетического спектра модулирующего множителя обратно пропорциональной зависимостью. В случае сильной статистической связи последовательных значений сигнала имеет место узкий спектр флюктуаций и наоборот.
18. Изобразить графически корреляционную функцию белого шума. Изобразить графически энергетический спектр белого шума. Изобразить энергетические спектры шумов с большим и малым времени корреляции.
Изобразить графически корреляционную функцию белого шума.
Изобразить графически энергетический спектр белого шума.
Б
елым шумом называется модель флюктуационной помехи с постоянной спектральной мощностью N0 на бесконечном интервале частот (т. е. fmax → ∞).
Изобразить энергетические спектры шумов с большим и малым времени корреляции.
Из взаимосвязи энергетического спектра с АКФ сигнала следует важный вывод: чем шире энергетический спектр, тем уже пик АКФ, т. е. тем меньше время корреляции зондирующего сигнала.
19. В чем заключается задача обнаружения целей? Чем обусловлен стохастический характер задачи обнаружения?
В чем заключается задача обнаружения целей?
Задача оптимального обнаружения состоит в отыскании оптимального в определенном смысле решающего правила
Чем обусловлен стохастический характер задачи обнаружения?
На входе приемного устройства наблюдается смесь полезного сигнала и помех, это приводит к случайному характеру результатов РЛ обнаружения.
20. Что принимают за показатели качества обнаружения? Что означает оптимальность обнаружения?
Что принимают за показатели качества обнаружения?
Качество обнаружения может быть полностью охарактеризовано условными вероятностями правильного обнаружения Д и ложной тревоги F.
Показатели качества обнаружения Д, F, средний риск ȓ
Что означает оптимальность обнаружения?
Оптимальность обнаружения означает минимизацию среднего риска ȓ=>min.
21. Назвать наиболее распространенные критерии оптимальности. Чему равно и что показывает отношение правдоподобия?
1. Критерий минимума среднего риска (критерий Байеса).
2. Критерий идеального наблюдателя (критерий Котельникова).
3. Критерий Неймана-Пирсона.
Отношение правдоподобия представляет собой отношение плотностей вероятности одной и той же реализации y при двух условиях: когда действует сигнал и помеха и когда действует только помеха. Оно характеризует, какую из гипотез о выполнении указанных взаимоисключающих условий следует считать более правдоподобной.
23. Дать определение согласованного фильтра. Что такое импульсная характеристика. Что такое частотная характеристика.
Согласованный фильтр.
Согласованный фильтр – это такой фильтр, который к заданному моменту 0 t обеспечивает максимальное превышение входного сигнала над средней мощностью белых входных шумов, т.е.
Частотная характеристика фильтра.
Частотную характеристику определяют как отношение комплексных амплитуд гармонических напряжений на выходе и входе фильтра для каждой частоты f.
Импульсная характеристика фильтра.
Пусть k(t) – импульсная характеристика фильтра. Величина k(t) представляет отклик на дельтаобразное воздействие δ(t) в момент времени t = 0. Входной сигнал y(s) вызывает следующую реакцию фильтра:
Рис. 4.10. Ожидаемый сигнал и его импульсная характеристика
Величина задержки фильтра t0 ≥ τи. Это необходимо для физической реализуемости фильтра, заключающейся в том, что импульсная реакция фильтра не может опережать «породившее» её воздействие δ-функции.
Величина с выбирается из условия обеспечения требуемого уровня сигнала на выходе фильтра. При выборе с необходимо соответствующим образом корректировать и порог обнаружения.
Корреляционный обнаружитель сигналов с полностью известными параметрами
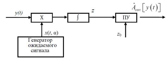
В соответствии с алгоритмом оптимального обнаружения сигнала с полностью известными параметрами α (здесь α – полезные параметры сигнала), x(t, α) должен быть вычислен корреляционный интеграл z[y(t)] и сравнен с порогом z0. Структурная схема простейшего корреляционного обнаружителя, реализующего указанный алгоритм, приведена на рис. 4.1.
На умножитель в качестве опорного подается напряжение x(t, α), соответствующее ожидаемому полезному сигналу.
Непосредственное интегрирование произведения x(t,α)y(t) дает корреляционный интеграл, который сравнивается с порогом z0 в пороговом устройстве. Уровень порога подбирается так, чтобы вероятность F ложного превышения порога была не больше допустимой.
Рис. 4.1. Простейший корреляционный обнаружитель
На практике наиболее широко используется вариант корреляционной обработки со стабилизацией вероятности ложной тревоги F за счет введения схемы автоматической регулировки усиления приемника обнаружителя по уровню шума – шумовая автоматическая регулировка усиления (ШАРУ).
Формально эта операция обеспечивается переходом к нормированному значению корреляционного интеграла
– СКО шума на выходе корреляционного обнаружителя. Соответственно нормированным будет и порог z0н = z0/υ0. Структурная схема такого обнаружителя (рис. 4.2) аналогична схеме рассмотренного выше обнаружителя.
Рис. 4.2. Cхема корреляционного обнаружителя с нормированным порогом
Условная вероятность F в этой схеме не зависит от спектральной плотности мощности помехи N0.
Рассмотрим физические процессы, происходящие в корреляционном обнаружителе. Для этого воспользуемся рисунками, иллюстрирующими корреляционную обработку для двух случаев: приема только помехи y(t) = n(t) и смеси сигнала с помехой y(t) = x(t,α) + n(t).
На рис. 4.3 отражены результаты перемножения функций y(t), x(t) и интегрирования за время существования опорного сигнала (для различных реализаций y(t). Считается, что помеха имеет полосу, существенно большую, чем сигнал.
















