шпаргалка по Дифурам (1019749)
Текст из файла
| 1.Дифференциальные уравнения. Обыкновенным дифференциальным уравнением 1 порядка называется уравнение вида
Частным решением дифференциального уравнения называется любая функция | 2.Уравнения с разделяющимися переменными. Дифференциальное уравнение 1 порядка Уравнение, записанное в симметричной форме Разделить переменные – значит преобразовать уравнение так, чтобы каждая переменная содержалась только в том слагаемом, которое содержит её дифференциал. Вид уравнения: Решение уравнения: приводим к уравнению с разделенными переменными (
В частности, уравнение вида
Пример. Решение: разделим обе части ур-ния на
Потенцируя, найдем общее решение в виде | 3. Уравнения, приводящие к уравнениям с разделяющимися переменными. Многие дифференциальные уравнения путем замены переменных могут быть приведены к уравнениям с разделяющимися переменными. К числу таких уравнений относятся, например, уравнения вида
И переменные разделились. Интегрируя, получим Пример. Разделяя переменные получим и интегрируя получим К уравнен. с разделяющимися переменными приводятся и так называемые однородные дифференциальные урав-ния 1 порядка имеющие вид |
| 4. Линейные дифференциальные уравнения 1 порядка. Линейным дифференциальным уравнением порядка называется уравнение, линейное относительно функции и её производной:
Здесь Однородные линейные уравнения (Q=0) могут быть решены разделением переменных. Неоднородные линейные уравнения можно свести к последовательности двух уравнений с разделяющимися переменными подстановкой
В линейном однородном уравнении переменные разделяются: И интегрируя получаем
При делении на у мы потеряли решение у | 5. Уравнения 1 порядка. Метод вариации произвольной постоянной. Для интегрирования неоднородного линейного уравнения
Может быть применен так называемый метод вариации постоянной При применении этого метода сначала интегрируется соответствующее однородное уравнение
О При постоянном с, функция Где с(х) – новая неизвестная функция х. Вычисляя производную
И подставляя в исходное неоднородное уравнение получим
Или Откуда интегрируя находим
А следовательно
(*) Итак общее решение неоднородного линейного уравнения равно сумме общего решения соответствующего однородного уравнения. и частного решения неоднородного уравнения получающегося из (*) при с1=0. Пример
Интегрируем соответствующее однородное уравнение
Считаем с функцией х, тогда
И подставляя в исходное уравнение после упрощения получаем
Следовательно общее решение
| 6. Уравнение 1 порядка.Метод Бернулли Вид уравнения: Решение уравнения: метод Бернулли. Решение будем искать в виде |
| 10. Дифференциальные уравнение высших порядков. Общие сведения Диф.уравнения n порядка имеют вид Теорема.Существует единственное решение дифференц. уравнения n порядка
Общим решением дифф.уравнения n порядка называется множество решений, состоящее из всех без исключения частных решений. Если правая часть уравнения в некоторой области изменения аргументов удовлетв.условиям теоремы, то общ.решение зависит от n параметров, в качестве которых могут быть выбраны, например начальные значения искомой функции и ее производных. | 11. Уравнения, допускающие понижение порядка.
Пример.
Пример. | 14. Линейные дифференциальные уравнения высших порядков Лин.Диф.Ур-нием n порядка называется уравнение линейное относительно неизвестной функции и ее производных и, следовательно, имеющее вид:
Если правая часть Т1. Если Т2. Если Замечание: Если 2 решения Т3.Если
Т4. Если на каком либо отрезке Т5. Если 1.это выражение явл-ся решением 2.это решение явл-ся общим решением.( |
| 15. Линейные неоднородные дифференциальные уравнения высших порядков. Метод Подбора
Т.Общее решение лин.неоднородного ур-ния может быть представлено как сумма двух решений.
Пусть
Метод подбора.
Если
Пример.
| 16. Линейные неоднородные дифференциальные уравнения высших порядков. Метод вариации произвольной постоянной
Пример.
…
| 17. Уравнение Эйлера
Линейно входящие в ур-ние Эйл.
Пример.
Если уравнение не однородное то переменную x на Если уравнение более высокого порядка, чем 2 то замена |
| 13. Уравнение Клеро
Интегральная кривая определяемая данными уравнениями является огибающей семейства интегральных прямых.(т.е. огибающая некоторого семейства Особое решение. Необходимо исключить параметр Пример. Общее: Особое решение: Исключая параметр | 18. Общее понятие разностных уравнений В качестве аналогов дифф.уров можно рассм. разностные ур-ния. При использовании обратных разностей линейные неоднородные разностные уравнения имеют вид: Это разностное ур-ние можно рассматривать как рекуррентное отношение позволяющее вычислять значения y[n] для любых n по известному значению функции в правой части уравнения и начальным условиям y[n-1],…y[n-m]. Такие вычисления легко выполняются на счетных машинах, а также не представляют никаких принципиальных трудностей и при ручном счете, даже в тех случаях кошда коэффициенты в левой части уравнения меняются по времени. Это отличает разностные уравнения от непрерывных аналогов – дифф.уров. Общее решение однородного разностного уравнения при некратных корнях характеристичесого уравнения может быть записано след.образом
| 19. Решетчатые функции Решетчатая ф-ция не обязательно должна формироваться из некоторой исходной непрерывной функции. Любая числовая посл-ть некоторой величины, определенной в дискретные равноотстоящие моменты времени, может трактоваться как решетчатая функция. Обратная задача – формирование непрерывной функции из решетчатой – не может быть решена однозначно, т.к. ф-ции, заданной в дискретные моменты времени, может соответствовать бесконечное множество непрерывных функций. Непрерывные функции, совпадающие с заданными дискретами, называются огибающими решетчатой функции. Прямая и обратная разности. Аналогом первой производной непрерывной функции для решетчатой функции является либо первая прямая разность
|
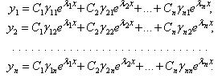
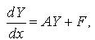
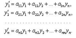
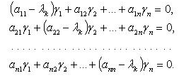
| 24. Линейные стационарные неоднородные разностные уравнения. Метод вариации произвольных постоянных. Общее решение линейного уравнения с правой частью получается из общего решения соответствующего уравнения без правой части с помощью квадратур. Для этого можно применить следующий прием. В общем решении уравнения без правой части заменяем все произвольные постоянные неизвестными функциями. Полученное выражение дифференцируем и попутно подчиняем неизвестные функции добавочным условиям, упрощающим вид последовательных производных. Подставляя выражение производных y’, y’’, y’’’ и т.д. в данное уравнение, получаем еще одно условие, налагаемое на неизвестные функции. Тогда оказывается возможным найти первые производные всех неизвестных функций и остается выполнить квадратуры. Этот метод применим к линейным уравнениям любого порядка как с постоянными, так и с переменными коэффициентами. Рассмотрим уравнение второго порядка: y’’+P(x)y’+Q(x)=R(x) (1) Пусть общее решение соответствующего уравнения без правой части есть y=C1f1(x)+C2f2(x). (2) Ищем общее решения уравнения (1) в виде (2), считая теперь C1 и С2 неизвестными функциями от х. Дифференцируя (2), находим: y’=C1f1’(x)+C2f2’(x)+ C1’f1(x)+C2’f2(x) (3) Вводим добавочное условие C1’f1(x)+C2’f2(x)=0. (4) Тогда вид первой производной упрощается, и мы имеем: y’= C1f1’(x)+C2f2’(x). (5) Дифференцируя еще раз имеем: y’’= C1f1’’(x)+C2f2’’(x)+ C1’f1’(x)+C2’f2’(x) (6) После подстановки выражений (2), (5) и (6) в уравнение (1) все члены, содержащие С1, взаимно уничтожатся (ибо функция y=f1(x) есть решение уравнения y’’+Py’+Qy=0); точно так же взаимно уничтожатся все члены, содержащие С2, и мы получим еще одно условие C1’f1’(x)+C2’f2’(x)=R(x) (7) Условия (4) и (7) позволяют найти выражения производных С1’, C2’ и остается выполнить квадратуры. | 25. Общие сведения о линейных системах. Системой дифференциальных уравнений называется совокупность уравнений, содержащих несколько неизвестных функций и их производные, причем в каждое из уравнений входит хотя бы одна производная. На практике имеют дело с такими системами, где число уравнений равно числу неизвестных. Система называется линейной, если неизвестные функции и их производные входят в каждое из уравнений только в первой степени. Линейная система имеет нормальный вид, когда она решена относительно всех производных. | 26. Метод сведения линейной системы к одному уравнению. Пример 1. Система дифференциальных уравнений
- линейная; она имеет нормальный вид. в этом примере мы имеем линейную систему с постоянными коэффициентами (коэффициенты при неизвестных функциях и их производных постоянны). Из линейной системы (присоединяя к ней уравнения, выведенные дифференцированием) можно исключить все неизвестные (и их производные), кроме одной. Полученное уравнение будет содержать одну неизвестную функцию и ее производную первого и более высоких порядков. Это уравнение тоже будет линейным, а если исходная система была системой с постоянными коэффициентами, то и найденное уравнение высшего порядка будет иметь постоянные коэффициенты. Разыскав неизвестную функцию этого уравнения, подставляем ее выражение в данные уравнения и находим остальные неизвестные функции. Пример 2. Решить линейную систему примера 1. Решение: Чтобы исключить y и
Из уравнения (1) находим выражение y через t, x и
Находим его общее решение x=C1e2t+C2e-3t - Это выражение подставляем в уравнение (1) и находим вторую неизвестную функцию y = - |
Характеристики
Тип файла документ
Документы такого типа открываются такими программами, как Microsoft Office Word на компьютерах Windows, Apple Pages на компьютерах Mac, Open Office - бесплатная альтернатива на различных платформах, в том числе Linux. Наиболее простым и современным решением будут Google документы, так как открываются онлайн без скачивания прямо в браузере на любой платформе. Существуют российские качественные аналоги, например от Яндекса.
Будьте внимательны на мобильных устройствах, так как там используются упрощённый функционал даже в официальном приложении от Microsoft, поэтому для просмотра скачивайте PDF-версию. А если нужно редактировать файл, то используйте оригинальный файл.
Файлы такого типа обычно разбиты на страницы, а текст может быть форматированным (жирный, курсив, выбор шрифта, таблицы и т.п.), а также в него можно добавлять изображения. Формат идеально подходит для рефератов, докладов и РПЗ курсовых проектов, которые необходимо распечатать. Кстати перед печатью также сохраняйте файл в PDF, так как принтер может начудить со шрифтами.
,связывающее независимую переменную x, искомую функцию
и её производную
. При изложении теории дифференциальных уравнений чаще всего рассматриваются уравнения, разрешенные относительно производной
или уравнения в так называемой симметричной форме:
, которая, будучи подставленной вместе со своей производной в уравнение, обращает его в тождество
Любое дифференциальное уравнение имеет бесчисленное множество решений. Множество всех частных решений дифференциального уравнения называется его общим решением. Общее решение дифференциального уравнения 1 порядка является функцией, зависящей от одной произвольной постоянной
Если решение найдено в неявной форме
то его называют общим интегралом дифференциального уравнения.
и
представляют собой произведение функций, из которых одна зависит только от переменной x , другая – от переменной y :
) путем деления общих частей уравнения на
(предполагая что
):
приводим к уравнению
.
- уравнение, линейное относительно
;
- уравнение, линейное относительно
.
- заданные функции или константы. При
уравнение называется однородным, при
- неоднородным.
.
, однако оно может быть включено в найденное семейство решений (2), если считать что с может принимать значение 0.
где
,
– непрерывные функции или постоянные.
, тогда
Подставляя в уравнение получаем
(1).Функцию
будем искать, как частное решение дифф. урав-ния
Тогда
. Подставляя в уравнение (1), имеем
Таким образом, общее решение линейного уравнения
имеет вид:
.
где функции P
и Q
. Левая часть этого уравнения – полный дифференциал некоторой функции
т.е.
. Причем
,
.
Для нахождения
найдем
+
если
, то иногда удается подобрать такую функцию
после умножения на которую всех членов уравнения левая часть уравнения становится полным дифференциалом, общее решение которого совпадает с общим решением первоначального уравнения.
называется интегрирующим множителем ур.(1).
тогда
тогда
.
;
.
:
:
Но по условию
Тогда общий интеграл уравнения будет иметь вид:
а общее решение
, или если они не разрешены относительно старшей производной,
, если в окрестности начальных значений
функция f является непрерывной функцией всех своих аргументов и удовлетворяет условию Липшица(существует число q, 0<= q < 1 такое, что P(F(x), F(y))<= qP(x, y) для всех x, y принадл. X.) по всем аргументам, начиная со второго.
Решение сводится к двукратному интегрированию.
.
(явно не содержит y).При решении применяется замена
. Подставляя в исходное уравнение, получаем уравнение 1 порядка
. Решив его находим
Так как
, получаем общий интеграл исходного уравнения:
(явно не содержит x).При решении применяется замена
(p – функция от y)
Подставляя в исходное получаем
- уравнение 1 порядка. Решая, найдем
Т.к.
то
Разделяя переменные, находим общий интеграл исходного уравнения
.
Возвращаясь к замене имеем:
(1)
, то уравнение называется линейным однородным, т.к.оно однородно относительно неизвестной ф-ии
и ее производных.,иначе называется не однородным. Если
то данное уравнение является нестационарным, а если
то уравнение стационарное.
есть решение диф.ура
. То
также является решением этого этого ур-ния.
есть решение уравнения (1), то
также явл.решением данного ур-ния.
то такие решения называются линейно зависимыми.
–линейно не зависимыми.
при начальных условиях
и определитель Вронского в этой точке
, то во всех остальных точках отрезка опред-ль Вронского
.
)
где
-общее решение,
-к-либо частное решение неоднородн.ур-ния.
есть решения соответств. однородного ур-ния:
(скобка =0).
;
- общее решение для любых началных условий
,
если
не есть корень характеристического ур-ния
(сокращаем на
)
тогда
=>
-общ.решение.
где все
постоянные, называются уравнениями Эйлера. Ур-ние Эйлера заменой независимого переменного x=
(t=lnx; y(x)=y(x(t)))преобразуется в линейное однородное уравнение с постоянными коэффициентами.
с постоянными коэфф.произведения
линейно выражаются через производные функции у по новой независимой переменной t. Отсюда => что преобразованное ур-ние будет линейным однородным ур-нием с постоянными коэффициентами.
на
происходит по аналогичной схеме.
Дифференцируя по
; или
=0; откуда или
=0 и, значит,
или
В первом случае, исключая
- однопараметрическое семейство интегральных прямых (общее решение). Во втором случае решение определяется уравнениями
и
имеют вид
и
и от тех уравнений отличается лишь обозначением параметра (с вместо p))
. Соотношение
определяет дискриминантную кривую, касательными к которой будет общие решения (по отношению к ним дискриминантная кривая - огибающая).
, где
;
-семейство прямых,
- огибающая для семейства прямых.
где f[n] –заданная, а y[n] –искомая решетчатые ф-ции. При
уравнение становится однородным. Другой вид разн. ур-ния
где
-корни характеристического уравнения
а
-произвольные постоянные.
либо первая обратная разность
. Прямая разность определяется в момент времени t=nT по будущему значению решетчатой функции при t=(n+1)T. Это можно сделать в тех случаях, когда будущее значение известно, либо, если это будущее значение нужно вычислить. Обратная разность определяется для момента времени t=nT по прошлому значению решетчатой функции в момент времени (n-1)T. Важная особенность обратных разностей. Если решетчатая ф-ция определена только для положительных значений аргумента, т.е. f[n]
для
положительного k.
имеет вид
, продифференцируем (1). Получим:
=
-
t2 (5)
t2 = - C1e2t + 4C2e-3t + t2 + t (6)
- простой корень характеристического уравнения, то ему соответствует решение
где P1(x), P2(x), ..., Pn(x) - многочлены степени не выше m-1, имеющие в совокупности m произвольных постоянных.
















