д.у. (1019225)
Текст из файла
Задача 1. Найти общее решение или общий интеграл дифференциального уравнения.
Решение.
Это уравнение с разделяющимися переменными. Разделим переменные
,
,
. Интегрируем левую и правую части
, получим общее решение исходного уравнения
,
.
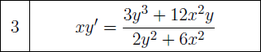
Задача 1. Найти общее решение или общий интеграл дифференциального уравнения.
Решение.
Это однородное уравнение. Преобразуем уравнение, разделив обе части уравнения на
, получим
. Сделаем замену
,
тогда
. Подставим вместо
и
в уравнение, получим:
,
,
,
. Разделим переменные
,
. Интегрируем левую и правую части
. Вычислим сначала каждый из интегралов:
Тогда общее решение уравнения
равно:
,
.
Сделаем обратную замену, получим общее решение исходного уравнения:
,
,
.
Задача 3. Решить задачу Коши
Решение.
Это дифференциальное уравнение первого порядка. Найдем сначала общее решение однородного уравнения
. Разделим переменные:
,
. Интегрируем левую и правую части
, получим общее решение однородного уравнения:
,
.
Общее решение исходного уравнения будем искать в виде
. Дифференцируем
. Подставим в место
и
в исходное уравнение, получим:
Интегрируем
. Общее решение исходного уравнения равно
.
Найдем частное решение, удовлетворяющее начальному условию
, получим:
,
,
. Частное решение равно
.
Задача 4. Найти общее решение или общий интеграл дифференциального уравнения второго порядка
Решение.
Это уравнение допускающее понижение порядка. Сделаем замену
, где
, тогда
. Получим уравнение
,
,
.
Найдем сначала общее решение однородного уравнения
. Разделим переменные:
,
. Интегрируем левую и правую части
, получим общее решение однородного уравнения:
,
.
Общее решение уравнения
будем искать
. Дифференцируем
. Полученные выражения для
и
в уравнение, получим:
Интегрируем
. Тогда общее решение уравнения равно
.
Сделаем обратную замену, получим уравнение
. Разделим переменные:
,
. Интегрируем левую и правую части
, получим
.
Задача 5. Найти общее решение уравнения
, используя характеристическое уравнение и метод вариации произвольных постоянных.
Решение.
Найдем сначала общее решение однородного уравнения
. Составим характеристическое уравнение
. Корни уравнения равны
. Тогда общее решение однородного уравнения равно
.
Общее решение исходного уравнения будем искать в виде
методом вариации постоянных.
Значение
и
найдем из системы уравнений:
Интегрируем первое уравнение, получим
. Интегрируем второе уравнение, получим
.
Тогда общее решение исходного уравнения равно:
Задача 6. Операторным методом найти решение задачи Коши.
Решение.
Пусть
, тогда по правилу дифференцирования оригинала имеем
и
.
По таблице основных оригиналов и их изображения
.
Тогда получим уравнение:
,
,
.
Представим дробь
в виде суммы простых дробей, т.е.
. Найдем коэффициенты
и
:
Получим систему уравнений и найдем ее решения:
По таблице основных оригиналов и их изображения:
,
и
.
Задача 7. Решить задачу Коши для системы уравнений
с начальными условиями
,
двумя способами: методом исключения неизвестных и операторным методом.
Решение.
а) Методом исключения неизвестных.
Из первого уравнения системы выразим
через
и
. получим:
. Дифференцируем
.
Полученные выражения
и
подставим во 2-ое уравнение системы, получим:
,
.
Получим линейное однородное уравнение с постоянными коэффициентами. Запишем характеристическое уравнение
. Корни этого уравнения
. Тогда общее решение равно
.
Вычисли производную функции
, получим:
.
Подставим выражения вместо
и
в уравнение
, получим:
Общее решение системы уравнений равно:
Найдем частное решение, удовлетворяющее начальным условиям
и
, получим:
Тогда получим систему уравнений и найдем ее решение:
Частное решение системы уравнений равно:
б) Операторным методом.
Пусть
и
, тогда
и
. Тогда получим систему:
Используя таблицу основные оригиналы и их изображения
и
, получим искомое решение системы:
.
Характеристики
Тип файла документ
Документы такого типа открываются такими программами, как Microsoft Office Word на компьютерах Windows, Apple Pages на компьютерах Mac, Open Office - бесплатная альтернатива на различных платформах, в том числе Linux. Наиболее простым и современным решением будут Google документы, так как открываются онлайн без скачивания прямо в браузере на любой платформе. Существуют российские качественные аналоги, например от Яндекса.
Будьте внимательны на мобильных устройствах, так как там используются упрощённый функционал даже в официальном приложении от Microsoft, поэтому для просмотра скачивайте PDF-версию. А если нужно редактировать файл, то используйте оригинальный файл.
Файлы такого типа обычно разбиты на страницы, а текст может быть форматированным (жирный, курсив, выбор шрифта, таблицы и т.п.), а также в него можно добавлять изображения. Формат идеально подходит для рефератов, докладов и РПЗ курсовых проектов, которые необходимо распечатать. Кстати перед печатью также сохраняйте файл в PDF, так как принтер может начудить со шрифтами.
















