Курсовая (1018759)
Текст из файла
ФЕДЕРАЛЬНОЕ АГЕНТСТВО ПО ОБРАЗОВАНИЮ
МОСКОВСКИЙ ГОСУДАРСТВЕННЫЙ ИНСТИТУТ РАДИОТЕХНИКИ, ЭЛЕКТРОНИКИ И
АВТОМАТИКИ
(ТЕХНИЧЕСКИЙ УНИВЕРСИТЕТ)
Кафедра РПУ
Курсовая работа
Тема: “Процедуры и функции”
Выполнил(а)_________________
ФИО, группа, дата
Проверил(а)__________________
ФИО, подпись, дата
Защиту утвердили с оценкой: _________________________
Преподаватели______________________________________
ФИО, подпись, дата
Москва 2009
Содержание
1. Содержание
2. Постановка задачи
3. Теория: Метод Ньютона, метод Веддля.
4. Алгоритм
5. Спецификация программ по методу Веддля и методу Ньютона.
6. Программа по методу Веддля
7. Программа по методу Ньютона
8. Спецификация
9. Литература
Постановка задачи. Сформировать матрицу C(5,5), элементы которой являются значениями определенного интеграла
Условие 1. Использовать метод интегрирования – метод Веддля.
Условие 2. Использовать метод интегрирования – метод Ньютона.
Функция: f(x)=1/cos(3x)
Метод Ньютона.
Метод Ньютона (также известный как метод касательных) — это итерационный численный метод нахождения корня (нуля) заданной функции. Метод был впервые предложен английским физиком, математиком и астрономом Исааком Ньютоном (1643—1727), под именем которого и обрёл свою известность. Поиск решения осуществляется путём построения последовательных приближений и основан на принципах простой итерации. Метод обладает квадратичной сходимостью. Улучшением метода является метод хорд и касательных. Также метод Ньютона может быть использован для решения задач оптимизации, в которых требуется определить нуль первой производной либо градиента в случае многомерного пространства.
Описание метода.
Чтобы численно решить уравнение
методом простой итерации, его необходимо привести к следующей форме:
,
где — сжимающее отображение.
Для наилучшей сходимости метода в точке очередного приближения должно выполняться условие
. Решение данного уравнения ищут в виде
, тогда:
В предположении, что точка приближения «достаточно близка» к корню
, и что заданная функция непрерывна
, окончательная формула для
такова:
С учётом этого функция
определяется выражением:
Эта функция в окрестности корня осуществляет сжимающее отображение, и алгоритм нахождения численного решения уравнения
сводится к итерационной процедуре вычисления:
По теореме Банаха последовательность приближений стремится к корню уравнения
.
Иллюстрация метода Ньютона (синим изображена функция
, нуль которой необходимо найти, красным — касательная в точке очередного приближения
). Здесь мы можем увидеть, что последующее приближение
лучше предыдущего
.
Геометрическая интерпретация.
Основная идея метода заключается в следующем: задаётся начальное приближение вблизи предположительного корня, после чего строится касательная к исследуемой функции в точке приближения, для которой находится пересечение с осью абсцисс. Эта точка и берётся в качестве следующего приближения. И так далее, пока не будет достигнута необходимая точность.
Пусть
— определённая на отрезке
и дифференцируемая на нём действительнозначная функция. Тогда формула итеративного исчисления приближений может быть выведена следующим образом:
где α — угол наклона касательной в точке
.
Следовательно искомое выражение для
имеет вид:
Итерационный процесс начинается с некого начального приближения x0 (чем ближе к нулю, тем лучше, но если предположения о нахождении решения отсутствуют, методом проб и ошибок можно сузить область возможных значений, применив теорему о промежуточных значениях).
Алгоритм.
1. Задаются начальным приближением x0.
2. Пока не выполнено условие остановки, в качестве которого можно взять
или
(то есть погрешность в нужных пределах), вычисляют новое приближение:
.
Пример.
| Иллюстрация применения метода Ньютона к функции f(x) = cosx − x3 с начальным приближением в точке x0 = 0,5. | |
| График последовательных приближений. | График сходимости. |
| Согласно способу практического определения скорость сходимости может быть оценена как тангенс угла наклона графика сходимости, то есть в данном случае равна двум. | |
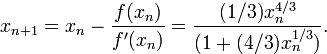
Рассмотрим задачу о нахождении положительных x, для которых cosx = x3. Эта задача может быть представлена как задача нахождения нуля функции f(x) = cosx − x3. Имеем выражение для производной f'(x) = − sinx − 3x2. Так как
для всех x и x3 > 1 для x > 1, очевидно, что решение лежит между 0 и 1. Возьмём в качестве начального приближения значение x0 = 0,5, тогда:
Подчёркиванием отмечены верные значащие цифры. Видно, что их количество от шага к шагу растёт (приблизительно удваиваясь с каждым шагом): от 1 к 2, от 2 к 5, от 5 к 10, иллюстрируя квадратичную скорость сходимости.
Условия применения
Иллюстрация расхождения метода Ньютона, применённого к функции f(x) = x3 − 2x + 2 с начальным приближением в точке x0 = 0.
Рассмотрим ряд примеров, указывающих на недостатки метода.
Контрпримеры.
Если начальное приближение недостаточно близко к решению, то метод может не сойтись.
Пусть
Тогда
Возьмём нуль в качестве начального приближения. Первая итерация даст в качестве приближения единицу. В свою очередь, вторая снова даст нуль. Метод зациклится и решение не будет найдено. В общем случае построение последовательности приближений может быть очень запутанным
График производной функции f(x) = x + x2sin(2 / x) при приближении x к нулю справа.
Если производная не непрерывна в точке корня, то метод может расходиться в любой окрестности корня
Рассмотрим функцию:
Тогда
и
всюду, кроме 0.
В окрестности корня производная меняет знак при приближении x к нулю справа или слева. В то время, как
для
.
Таким образом
не ограничено вблизи корня, и метод будет расходиться, хотя функция всюду дифференцируема, её производная не равна нулю в корне,
бесконечно дифференцируема везде, кроме как в корне, а её производная ограничена в окрестности корня.
Если не существует вторая производная в точке корня, то скорость сходимости метода может быть заметно снижена.
Рассмотрим пример:
Тогда
и
за исключением
, где она не определена.
На очередном шаге имеем
:
Скорость сходимости полученной последовательности составляет приблизительно 4/3. Это существенно меньше, нежели 2, необходимое для квадратичной сходимости, поэтому в данном случае можно говорить лишь о линейной сходимости, хотя функция всюду непрерывно дифференцируема, производная в корне не равна нулю, и
бесконечно дифференцируема везде, кроме как в корне.
Если производная в точке корня равна нулю, то скорость сходимости не будет квадратичной, а сам метод может преждевременно прекратить поиск, и дать неверное для заданной точности приближение.
Пусть
Тогда
и следовательно
. Таким образом сходимость метода не квадратичная, а линейная, хотя функция всюду бесконечно дифференцируема
Ограничения.
Пусть задано уравнение
, где
и надо найти его решение
Ниже приведена формулировка основной теоремы, которая позволяет дать чёткие условия применимости. Она носит имя советского математика и экономиста, лауреата Нобелевской премии по экономике 1975 года «за вклад в теорию оптимального распределения ресурсов» Леонида Витальевича Канторовича (1912—1986) и является одной из многочисленных теорем, ставших результатами его научных изысканий
Теорема Канторовича.
Если существуют такие константы А,В,С, что
1.
на
, то есть
существует и не равна нулю;
2.
на
, то есть
ограничена;
3.
на
, и
;
Причём длина рассматриваемого отрезка
. Тогда справедливы следующие утверждения:
1. на
существует корень x * уравнения
;
2. если
, то итерационная последовательность сходится к этому корню:
;
3. погрешность может быть оценена по формуле
.
Из последнего из утверждений теоремы в частности следует квадратичная сходимость метода:
Тогда ограничения на исходную функцию
будут выглядеть так:
1. функция должна быть ограничена;
2. функция должна быть гладкой, дважды дифференцируемой;
Характеристики
Тип файла документ
Документы такого типа открываются такими программами, как Microsoft Office Word на компьютерах Windows, Apple Pages на компьютерах Mac, Open Office - бесплатная альтернатива на различных платформах, в том числе Linux. Наиболее простым и современным решением будут Google документы, так как открываются онлайн без скачивания прямо в браузере на любой платформе. Существуют российские качественные аналоги, например от Яндекса.
Будьте внимательны на мобильных устройствах, так как там используются упрощённый функционал даже в официальном приложении от Microsoft, поэтому для просмотра скачивайте PDF-версию. А если нужно редактировать файл, то используйте оригинальный файл.
Файлы такого типа обычно разбиты на страницы, а текст может быть форматированным (жирный, курсив, выбор шрифта, таблицы и т.п.), а также в него можно добавлять изображения. Формат идеально подходит для рефератов, докладов и РПЗ курсовых проектов, которые необходимо распечатать. Кстати перед печатью также сохраняйте файл в PDF, так как принтер может начудить со шрифтами.
















