колоквиум_Чертов-Иродов (Мех) (1018263)
Текст из файла
Чертов 1.20
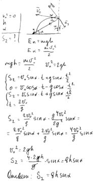
Вертикально вверх с начальной скоростью vo=20 м/с брошен камень. Через =1 с после этого брошен вертикально вверх другой камень с такой же скоростью. На какой высоте h встретятся камни?
Дано: vo=vo1=vo2=20 м/c; =1 c; h=?
Решение:
Чертов 2.36
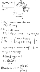
На полу стоит тележка в виде длинной доски, снабжённой лёгкими колёсами. На одном конце доски стоит человек. Масса человека М=60 кг, масса доски m=20 кг. С какой u (относительно пола) будет двигаться тележка, если человек пойдёт вдоль доски со скоростью (относительно доски) v=1 м/с? Массой колёс пренебречь. Трение во втулках не учитывать.
Дано: M=60 кг; m=20 кг; v=1 м/с; u=?
Решение:
Чертов 2.46
Грузик, привязанный к шнуру длиной l=50 см, описывает окружность в горизонтальной плоскости. Какой угол образует шнур с вертикалью, если частота вращения n=1 с-1?
Дано: l=50 см= 0.5 м; n=1 с-1=1 Гц; ?
Решение:
Чертов 2.18
Брусок массой m2=5 кг может свободно скользить по горизонтальной поверхности без трения. На нём находится другой брусок массой m1=1 кг. Коэффициент трения соприкасающихся поверхностей брусков f=0.3. Определить максимальное значение силы Fmax, приложенной к нижнему бруску, при которой начнётся соскальзывание верхнего бруска.
Дано: m2=5 кг; m1=1 кг; f=0.3; Fmax=?
Решение:
Иродов 1.126
Цепочка массы m=1 кг и длины l=1.4 м висит на нити, касаясь поверхности стола своим нижним концом. После пережигания нити цепочка упала на стол. Найти полный импульс, который она передала столу.
Дано: m=1 кг; l=1.4 м; p=?
Решение: t-время падения
Иродов 1.15
Кабина лифта, у которой расстояние от пола до потолка равно 2.7 м, начала подниматься с постоянным ускорением 1.2 м/с2. Через 2 с после начала подъёма с потолка кабины стал падать болт. Найти:
а) время свободного падения болта;
б) перемещение и путь болта за время свободного падения в системе отсчёта, связанной с шахтой лифта.
Дано: h=2.7 м; aл=1.2 м/с2; to=2 с; tx=?; x=?; S=?
Иродов 1.38
Точка движется, замедляясь, по окружности радиуса R так, что в каждый момент времени её тангенциальное и нормальное ускорения по модулю равны друг другу. В начальный момент t=0 скорость точки равна vо. Найти зависимость:
а) скорости точки от времени и от пройденного пути S;
б) полного ускорения точки от скорости и пройденного пути.
Дано: R; an=at; t=0; vо; v(t)=?; v(S)=?; aполн=?
Иродов 1.75
С каким минимальным ускорением следует перемещать в горизонтальном направлении брусок А, чтобы тела 1 и 2 не двигались относительно него? Массы тел одинаковы, коэффициент трения между бруском и обоими телами равен k. Массы блока и нити пренебрежимо малы, трения в блоке нет.
Чертов 3.25
Через блок, имеющий форму диска, перекинут шнур. К концам шнура привязали грузики массой m1=100 г и m2=110 г. С каким ускорением a будут двигаться грузики, если масса m блока равна 400 г? Трение при вращении блока ничтожно мало.
Иродов 1.31
Шарик падает с нулевой начальной скоростью на гладкую наклонную плоскость, составляющую угол а(альфа) с горизонтом. Пролетев расстояние h, он упруго отразился от плоскости. На каком расстоянии от места падения шарик отразится второй раз?
Иродов 1.259
Показать, что для тонкой пластинки произвольной формы имеется следующая связь между моментами инерции: I1+I2=I3, где 1,2,3 – три взаимно перпендикулярное оси, проходящие через одну точку, причём оси 1 и 2 лежат в плоскостях пластинки. Используя эту связь, найти момент инерции тонкого круглого однородного диска радиуса R и массы m относительно оси, совпадающей с одним из его диаметров.
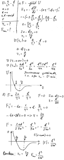
Иродов 1.157
Потенциальная энергия частицы в некотором поле имеет вид U=a/r2-b/r, где a и b – положительные постоянные, r – расстояние от центра поля. Найти:
а) значение ro, соответствующее равновесному положению частицы; выяснить, устойчиво ли это положение;
б) максимальное значение силы притяжения; изобразить примерные графики зависимостей U(r) и Fr(r) – проекции силы на радиус-вектор r.
Иродов 1.141
Локомотив массы m начинает двигаться со станции так, что его скорость меняется по закону
, где постоянная, s – пройденный путь. Найти суммарную работу всех сил, действующих на локомотив, за первые t секунд после начала движения.
Иродов 1.70
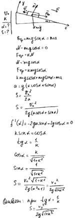
Шайбу положили на наклонную плоскость и сообщили направленную вверх начальную скорость vo. Коэффициент трения между шайбой и плоскостью равен k. При каком значении угла наклона шайба пройдёт по плоскости наименьшее расстояние? Чему оно равно?
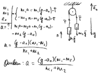
Иродов 1.73(а)
Через блок, прикреплённый к потолку кабины лифта, перекинута нить, к концам которой привязаны грузы с массами m1 и m2. Кабина начинает подниматься с ускорением ao. Пренебрегая массами блока и нити, а также трением, найти:
а) ускорение груза m1 относительно кабины.
Чертов 3.55
Карандаш длиной l=15 см, поставленный вертикально, падает на стол. Какую угловую и линейную v скорости будет иметь в конце падения: 1) середина карандаша? 2) верхний его конец? Считать, что трение настолько велико, что нижний конец карандаша не проскальзывает.
Чертов 3.52
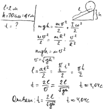
Сколько времени t будет скатываться без скольжения обруч с наклонной плоскости высотой h=1 м.
Чертов 3.35
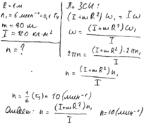
Платформа в виде диска радиусом R=1 м вращается по инерции с частотой n1=6 мин-1. На краю платформы стоит человек, масса m которого равна 80 кг. С какой частотой n будет вращаться платформа, если человек перейдёт в её центр? Момент инерции I платформы равен 120 кг*м2. Момент инерции человека рассчитывать как для материальной точки.
Чертов 2.89
Определить максимальную часть кинетической энергии T1, которую может передать частица массой m1=2*10-22 г, сталкиваясь упруго с частицей массой m2=6*10-22 г, которая до столкновения покоилась.
Чертов 3.14
Определить момент инерции I кольца массой m=50 г и радиусом R=10 см относительно оси, касательной к кольцу.
Чертов 3.17
Найти момент I плоской однородной прямоугольной пластины массой m=800 г относительно оси, совпадающей с одной из её сторон, если длина а другой стороны равна 40 см.
Чертов 3.33
На краю горизонтальной платформы, имеющую форму диска радиусом R=2 м, стоит человек массой m1=80 кг. Масса m2 платформы равна 250 кг. Платформа может вращаться вокруг вертикальной оси, проходящей через её центр. Пренебрегая трением, найти, с какой угловой скоростью будет вращаться платформа, если человек будет идти вдоль её края со скоростью v=2 м/с относительно платформы.
Чертов 2.76
Пуля массой m=10 г, летевшая со скоростью v=600 м/с, попала в баллистический маятник массой M=500 кг и застряла в нём. На какую высоту h, откачнувшись после удара, поднялся маятник?
Чертов 3.23
Вал массой m=100 кг и радиусом R=5 см вращался с частотой n=8 с-1. К цилиндрической поверхности вала прижали тормозную колодку с силой F=40Н, под действием которой вал остановился через t=10 с. Определить коэффициент трения f.
Чертов 3.31
Человек стоит на скамье Жуковского и ловит рукой мяч массой m=0.4 кг, летящий в горизонтальном направлении со скоростью v=20 м/с. Траектория мяча проходит на расстоянии r=0.8 м от вертикальной оси вращения скамьи. С какой угловой скоростью начнёт вращаться скамья Жуковского с человеком, поймавшим мяч, если суммарный момент инерции I человека и скамьи равен 6 кг*м2?
Чертов 2.3
К пружинным весам подвешен блок. Через блок перекинут шнур, к концам которого привязали грузы массами m1=1.5 кг и m2=3 кг. Каково будет показание весок во время движения грузов? Массой блока и шнура пренебречь.
Чертов 2.6
Наклонная плоскость, образующая угол =25o с плоскостью горизонта, имеет длину l=2 м. Тело, двигаясь равноускоренно, соскользнуло с этой плоскости за время t=2 с. Определить коэффициент трения f тела о плоскость.
Чертов 2.39
Снаряд массой m=10 кг обладал скоростью v=200 м/с в верхней точке траектории. В этой точке он разорвался на две части. Меньшая масса m1=3 кг получила скорость u1=400 м/с в прежнем направлении. Найти скорость u2 второй, большей части после разрыва.
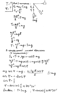
Чертов 2.44
К шнуру подвешена гиря. Гирю отвели в сторону так, что шнур принял горизонтальное положение, и отпустили. Как велика сила натяжения Т шнура в момент, когда гиря проходит положение равновесия? Какой угол с вертикалью составляет шнур в момент, когда сила натяжения шнура равна силе тяжести гири?
Иродов 1.288
Характеристики
Тип файла документ
Документы такого типа открываются такими программами, как Microsoft Office Word на компьютерах Windows, Apple Pages на компьютерах Mac, Open Office - бесплатная альтернатива на различных платформах, в том числе Linux. Наиболее простым и современным решением будут Google документы, так как открываются онлайн без скачивания прямо в браузере на любой платформе. Существуют российские качественные аналоги, например от Яндекса.
Будьте внимательны на мобильных устройствах, так как там используются упрощённый функционал даже в официальном приложении от Microsoft, поэтому для просмотра скачивайте PDF-версию. А если нужно редактировать файл, то используйте оригинальный файл.
Файлы такого типа обычно разбиты на страницы, а текст может быть форматированным (жирный, курсив, выбор шрифта, таблицы и т.п.), а также в него можно добавлять изображения. Формат идеально подходит для рефератов, докладов и РПЗ курсовых проектов, которые необходимо распечатать. Кстати перед печатью также сохраняйте файл в PDF, так как принтер может начудить со шрифтами.
















