Изучение основного закона динамики поступательного движения. (1018164)
Текст из файла
Лабораторная работа 1.12
Изучение основного закона динамики поступательного движения.
Цель работы. Измерение ускорения тел на машине Атвуда.
Задание. Сравнить полученный результат с расчётным значением ускорения, выведенным из законов динамики поступательного и вращательного движения.
Теоретическое введение.
Согласно второму закону Ньютона для поступательного движения, произведение массы тела на его ускорение равно результирующей силе, действующей на тело. При вращательном движении основной закон динамики записывается следующим образом:
где J - момент инерции тела, являющийся его мерой инертности при вращательном движении, относительно данной оси вращения; - угловое ускорение; N - момент внешних сил.
где Т1 и Т2 - силы натяжения нитей; а - линейное ускорение грузов; N - величина результирующего момента сил натяжения нитей. Момент силы Т2 направлен вдоль оси вращения за чертёж, а направление момента силы Т1 - прямо противоположно. Поэтому:
N=(Т2-Т1)R, где R - радиус блока.
Момент инерции блока массы Мбл в данной системе рассчитывается по формуле:
Принципиальная схема установки.
Экспериментальная установка состоит из масштабной линейки, прикреплённой вертикально к стене. Наверху рейки закреплён блок, свободно вращающийся вокруг оси. Через блок перекинута тонкая леска, на концах которой висят два груза одинаковой массы. Массу грузов можно изменять с помощью перегрузков. Измерение интервалов времени производится с помощью секундомеров. В работе экспериментально определяется ускорение а.
Расчётные формулы.
где т - масса перегрузка; М - масса одного из одинаковых грузов; Мбл - масса блока;
g - ускорение свободного падения.
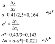
где для вычисления а* проводят вторую прямую, проходящую через нуль, и экспериментальную точку, максимально отклоняющуюся от графика.
Инструментальную погрешность весов брать равной ± 50 мг. Проверяется выполнение неравенства:
Результаты измерений.
| № п/п | 1 | 2 | 3 | 4 | 5 | 6 | 7 |
| 2S, м | 1,6 | 1,4 | 1,2 | 1,0 | 0,8 | 0,6 | 0,4 |
| t1, c | 3,16 | 3,04 | 2,79 | 2,44 | 2,16 | 1,75 | 1,50 |
| t2, c | 3,04 | 2,92 | 2,79 | 2,41 | 2,17 | 1,91 | 1,47 |
| t3, c | 3,16 | 2,99 | 2,79 | 2,42 | 2,03 | 1,72 | 1,53 |
| tср, с | 3,12 | 2,98 | 2,79 | 2,42 | 2,12 | 1,79 | 1,50 |
| t2ср, с | 9,73 | 8.89 | 7,78 | 5,86 | 4,50 | 3.20 | 2,25 |
Характеристики
Тип файла документ
Документы такого типа открываются такими программами, как Microsoft Office Word на компьютерах Windows, Apple Pages на компьютерах Mac, Open Office - бесплатная альтернатива на различных платформах, в том числе Linux. Наиболее простым и современным решением будут Google документы, так как открываются онлайн без скачивания прямо в браузере на любой платформе. Существуют российские качественные аналоги, например от Яндекса.
Будьте внимательны на мобильных устройствах, так как там используются упрощённый функционал даже в официальном приложении от Microsoft, поэтому для просмотра скачивайте PDF-версию. А если нужно редактировать файл, то используйте оригинальный файл.
Файлы такого типа обычно разбиты на страницы, а текст может быть форматированным (жирный, курсив, выбор шрифта, таблицы и т.п.), а также в него можно добавлять изображения. Формат идеально подходит для рефератов, докладов и РПЗ курсовых проектов, которые необходимо распечатать. Кстати перед печатью также сохраняйте файл в PDF, так как принтер может начудить со шрифтами.
















