Глобальная шпаргалка по матану (1017888)
Текст из файла
§1. Множество действительных чисел и его свойства.
§2. Модуль действ. числа и его свойства.
§3. Функция (отображение). Действительные функции.
Действительные переменные и их простейшие свойства.
§4. Числовые последовательности. Предел числовой
числовой последовательности. Число е.
§5. Предел функции в точке. Свойства функций,
имеющих предел в точке. Предел на бесконечности.
Бесконечные пределы.
§6. Бесконечно малые в точке функции и их свойства.
Необходимые и достаточные условия существования
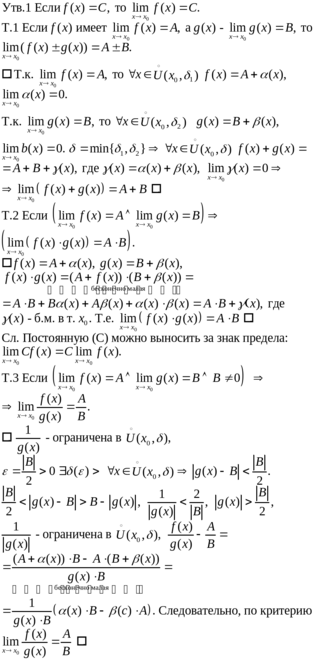
§7. Арифметические операции над пределами.
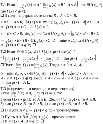
§8. Предельный переход в неравенствах.
§9. Односторонние пределы. Необходимое и достаточное
условия существования предела в точке.
§10. Первый замечательный предел.
§11. Второй замечательный предел и связанные с ним
пределы.
§12. Непрерывность функции в точке. Свойства функций,
непрерывных в точке.
§13 Классификация точек разрыва функции одной
переменной.
§14. Свойства функций, непрерывных на отрезке.
§15. Обратная функция и ее непрерывность.
§1. Определение производной. Геометрический и
механический смысл производной.
§2.Два определения дифференцируемой в точке
функции и их эквивалентность. Дифференциал
1-го порядка и его геометрический смысл.
§3. Производные основных
элементарных функций.
§4. Правила дифференцирования.
§5. Дифференцирование обратной и сложной функции.
§6. Метод логарифмического дифференцирования.
§7. Производные высших порядков. Бином Ньютона.
§8. Дифференцирование функций,
заданных параметрически.
§9. Основные теоремы дифференциального
исчисления.
§10. Условия постоянства и монотонности функций
на интервале.
§11. Экстремум функции. Необходимые и достаточные
условия экстремума.
§12. Наибольшее и наименьшее значения функции
на отрезке.
§13. Выпуклость и вогнутость графика функции.
Точка перегиба.
§14. Асимптоты графика функции. Полное
исследование функции и построение ее графика.
§15. Раскрытие неопределенностей.
Правила Лопиталя.
§1. Первообразная и неопределенный интеграл.
Свойства неопределенного интеграла.
§2. Таблица основных интегралов.
§3. Интегрирование по частям в неопределенном
интеграле.
§4. Замена переменной в неопределенном интеграле.
§5 Интегрирование рациональных функций.
§6 Вычисление интегралов вида:
§
7. Интегрирование выражений вида
. Подстановка Эйлера.
§8 Вычисление интегралов вида
§9 Интегрирование тригонометрических функций.
§10. Определение интеграла по Риману. Ограниченность
интегрируемой функции.
§11. Верхняя и нижняя интегральные суммы и их свойства.
Необходимые и достаточные условия интегрируемости
функции по Риману.
§12. Свойства неопределенного интеграла.
§13. Интеграл с переменным верхним пределом и его
свойства. Основная формула интегрального исчисления.
§14. Интегрирование по частям в определенном
интеграле.
§15. Замена переменной в определенном
интеграле.
§16. Вычисление площадей в прямоугольной
декартовой системе координат.
§17. Вычисление площадей в полярной системе
координат.
§18. Объем тела вращения.
§19. Спрямляемая кривая и ее длина. Вычисление
длины кривой.
§20. Площадь поверхности вращения.
§21. Применение определенных интегралов к решению
физических задач.
§22. Несобственные интегралы 1-го и 2-го рода.
Характеристики
Тип файла документ
Документы такого типа открываются такими программами, как Microsoft Office Word на компьютерах Windows, Apple Pages на компьютерах Mac, Open Office - бесплатная альтернатива на различных платформах, в том числе Linux. Наиболее простым и современным решением будут Google документы, так как открываются онлайн без скачивания прямо в браузере на любой платформе. Существуют российские качественные аналоги, например от Яндекса.
Будьте внимательны на мобильных устройствах, так как там используются упрощённый функционал даже в официальном приложении от Microsoft, поэтому для просмотра скачивайте PDF-версию. А если нужно редактировать файл, то используйте оригинальный файл.
Файлы такого типа обычно разбиты на страницы, а текст может быть форматированным (жирный, курсив, выбор шрифта, таблицы и т.п.), а также в него можно добавлять изображения. Формат идеально подходит для рефератов, докладов и РПЗ курсовых проектов, которые необходимо распечатать. Кстати перед печатью также сохраняйте файл в PDF, так как принтер может начудить со шрифтами.
















