ВторичнаяОбработка (1014432)
Текст из файла
| Вторичная (траекторная) обработка информации 1) Обнаружение (автозахват) траекторий целей 2) Сглаживание и экстраполяция координат и параметров движения — стробирование, обнаружение маневра | Структурная схема алгоритмовобнаружения и сброса траектории |
Структурная схема алгоритмоввторичной обработки | Модели движения цели 1. Полиномиальная - квазидерминированная 2. Со стационарными независимыми приращениями – стохастические: |
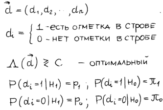
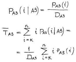
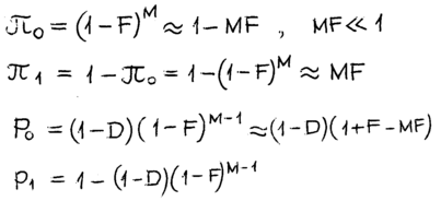
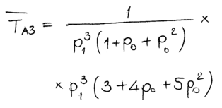
| 2. Вальда – последовательный: Минимальное среднее TАЗ при заданных DАЗ и FАЗ | Анализ алгоритмов автозахватаПолагаем: в стробе - M элементов разрешения Плоскость случайных блужданий |
| 2а. Усеченный Вальда При k = n полагают B = A 3. k из n – типа последовательного анализа Дополняют критерием завязки: L «единиц» подряд 4. k из n со сбросом Сброс накопления – при l «нулях» подряд |
Сглаживание координат
и параметров движения целей
Критерии оптимальности сглаживания
(экстраполяции):
- максимального правдоподобия (МП),
- минимума среднеквадратической ошибки.
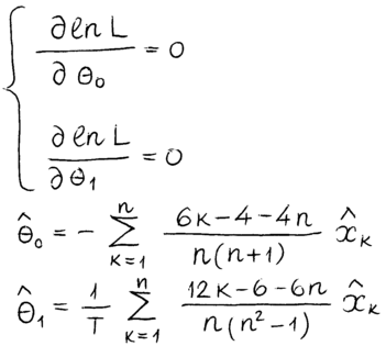
1. Использование критерия МП
Обозначим
x[(k-1)Tобз) = xk, k = 1, 2,…, n, T = Tобз
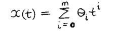
Модель движения
xk = 0 + 1(k-1) T,
где
0 = x1, 1 = v
Функция правдоподобия вектора параметров (0, 1)
Максимум функции правдоподобия находим, решая систему уравнений:
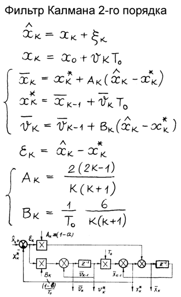
Алгоритм скользящего сглаживания
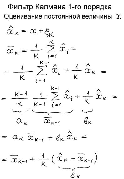
2. Использование критерия минимума СКО
Характеристики
Тип файла документ
Документы такого типа открываются такими программами, как Microsoft Office Word на компьютерах Windows, Apple Pages на компьютерах Mac, Open Office - бесплатная альтернатива на различных платформах, в том числе Linux. Наиболее простым и современным решением будут Google документы, так как открываются онлайн без скачивания прямо в браузере на любой платформе. Существуют российские качественные аналоги, например от Яндекса.
Будьте внимательны на мобильных устройствах, так как там используются упрощённый функционал даже в официальном приложении от Microsoft, поэтому для просмотра скачивайте PDF-версию. А если нужно редактировать файл, то используйте оригинальный файл.
Файлы такого типа обычно разбиты на страницы, а текст может быть форматированным (жирный, курсив, выбор шрифта, таблицы и т.п.), а также в него можно добавлять изображения. Формат идеально подходит для рефератов, докладов и РПЗ курсовых проектов, которые необходимо распечатать. Кстати перед печатью также сохраняйте файл в PDF, так как принтер может начудить со шрифтами.
















