Примеры выполнения заданий a и b (1012884)
Текст из файла
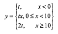
Написать программу печати таблицы значений функции
для аргумента, изменяющегося в заданных пределах с заданным шагом. Если t > 100, должны выводиться целые значения функции.
В приведенном ниже варианте используется цикл while:
#include <stdio.h>
#include <stdlib.h>
#include <math.h>
int main(){
double Xn, Xk, dX, t, y;
printf("Enter Xn, Xk, dX, t \n");
scanf("%lf%lf%lf%lf",&Xn, &Xk, &dX, &t);
printf("-------------------------------\n");
printf("| X | Y |\n");
printf("------------------------------- \n");
double x = Xn; // Начальные установки
while (x <= Xk){
if ( x < 0 ) y = t;
if ( x >= 0 && x < 10) y = t * x;
if ( x >= 10 ) y = 2 * t;
if (t > 100) printf("|%9.2lf |%9d |\n", x, (int)y);
else printf("|%9.2lf |%9.2lf |\n", x, y);
x += dX; // Модификация параметра цикла
}
printf("------------------------------- \n");
system("PAUSE");
return 0;
}
Та же программа с использованием оператора for:
#include <stdio.h>
#include <stdlib.h>
#include <math.h>
int main(){
double Xn, Xk, dX, t, y;
printf("Enter Xn, Xk, dX, t \n");
scanf("%lf%lf%lf%lf",&Xn, &Xk, &dX, &t);
printf("-------------------------------\n");
printf("| X | Y |\n");
printf("------------------------------- \n");
for ( double x = Xn; x <= Xk; x += dX){
if ( x < 0 ) y = t;
if ( x >= 0 && x < 10) y = t * x;
if ( x >= 10 ) y = 2 * t;
if (t > 100) printf("|%9.2lf |%9d |\n", x, (int)y);
else printf("|%9.2lf |%9.2lf |\n", x, y);
}
printf("------------------------------- \n");
system("PAUSE");
return 0;
}
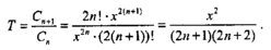
Написать программу вычисления значения функции Ch х (гиперболический косинус) с помощью бесконечного ряда Тейлора с точностью е по формуле:
Этот ряд сходится при | х | < оо. Для достижения заданной точности требуется суммировать члены ряда, абсолютная величина которых больше е. Для сходящегося ряда модуль члена ряда Сп при увеличении n стремится к нулю. При некотором n неравенство |Cn|> перестает выполняться, и вычисления прекращаются.
Для уменьшения количества выполняемых действий следует воспользоваться рекуррентной формулой получения последующего члена ряда через предыдущий Сn+1 = Сn Т, где Т — некоторый множитель. Подставив в эту формулу Сn и Сn+1, получим выражение для вычисления Т.
Ниже приведен текст программы с комментариями. Обратите внимание на заголовок цикла: в нем, кроме части начальных установок, заданы условие выхода из цикла и модификация параметра цикла, то есть в данной программе все составные части цикла присутствуют в явном виде.
#include <cstdlib>
#include <iostream>
#include <cmath>
using namespace std;
int main(){
const int MaxIter = 500; /* максимально допустимое количество итераций */
int n;
double x, eps;
cout << "\nВведите аргумент и точность: ";
cin >> x >> eps;
bool done = true; // признак достижения точности
double ch = 1, y = ch; // первый член ряда и нач. значение суммы
for (n = 0; fabs(ch) > eps; n++) {
ch *= x * x /((2 * n + 1)*(2 * n + 2)); // очередной член ряда
y += ch; // добавление члена ряда к сумме
if (n > MaxIter){
cout << "\nРяд расходится!";
done = false; break;}
}
if (done){
cout << "\nЗначение функции: " << y << " для x = " << x << endl;
cout << "вычислено после " << n << " итераций " << endl;
}
system("PAUSE");
return 0;
}
Характеристики
Тип файла документ
Документы такого типа открываются такими программами, как Microsoft Office Word на компьютерах Windows, Apple Pages на компьютерах Mac, Open Office - бесплатная альтернатива на различных платформах, в том числе Linux. Наиболее простым и современным решением будут Google документы, так как открываются онлайн без скачивания прямо в браузере на любой платформе. Существуют российские качественные аналоги, например от Яндекса.
Будьте внимательны на мобильных устройствах, так как там используются упрощённый функционал даже в официальном приложении от Microsoft, поэтому для просмотра скачивайте PDF-версию. А если нужно редактировать файл, то используйте оригинальный файл.
Файлы такого типа обычно разбиты на страницы, а текст может быть форматированным (жирный, курсив, выбор шрифта, таблицы и т.п.), а также в него можно добавлять изображения. Формат идеально подходит для рефератов, докладов и РПЗ курсовых проектов, которые необходимо распечатать. Кстати перед печатью также сохраняйте файл в PDF, так как принтер может начудить со шрифтами.
















