Курс_ИОиТПР_Комолов_АВ (1006469), страница 2
Текст из файла (страница 2)
Из этих величин составляется столбец совокупных материальных затрат в сфере производства:
Матрица материальных затрат А ≥ 0 называется продуктивной, если найдется такой столбец выпуска х > 0, для которого выполняется неравенство
Ах < х.
Это неравенство означает, что существует хотя бы один режим работы отраслей данной экономической системы, при котором каждого продукта выпускается больше, чем затрачивается на его производство. Другими словами, при этом режиме сфера производства создает положительный столбец прибавочного (конечного) продукта:
х - Ах > О.
Возникает естественный вопрос: как следует поступить, чтобы сравнительно несложным путем и как можно раньше выяснить, является ли предъявленная матрица материальных затрат исследуемой сферы производства продуктивной или, напротив, производство убыточно и совокупные материальные затраты превышают объем выпуска?
Справедлив следующий общий факт.
ТЕОРЕМА. Для любой неотрицательной квадратной матрицы А ≥ 0 формулируемые ниже условия равносильны.
-
Матрица А продуктивна.
-
Для любого столбца с > 0 существует, и притом ровно один,
столбец выпуска х > 0 такой, что
х — Ах = с.
(3) Столбец выпуска х > 0, совокупные затраты на создание которого удовлетворяют условию
Ах ≥ х,
не существует.
(4) Наибольшее собственное значение матрицы А удовлетворяет неравенству
λА = λmax < 1.
Сказанное выше означает, что при выполнении хотя бы одного из этих условий выполняются и три остальных. В частности, выполнение неравенства
λА < 1.
позволяет утверждать, что матрица продуктивна.
В приводимых ниже примерах мы ограничимся рассмотрением случая, когда п = 2, т. е. сфера производства экономической системы состоит из двух отраслей.
П
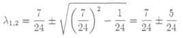
ример 1. Для ответа на вопрос, является ли матрица
продуктивной, найдем ее собственные значения Имеем:
откуда
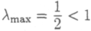
Корни этого уравнения легко вычисляются по формуле
Ответ: матрица А продуктивна.
Из той же теоремы вытекает, что если матрица материальных затрат А продуктивна, то любой столбец прибавочного продукта может быть произведен при соответствующем режиме работы отраслей.
Итак, пусть матрица
продуктивна и
- столбец конечного продукта. Покажем, как найти режим работы отраслей, обеспечивающий этот продукт.
Запишем матричное равенство
х — Ах = с
более подробно:
окончательно получим
Для продуктивной матрицы построенная система имеет решение при любых с1 и с2.
Рассмотрим конкретный пример.
Пример 2. Пусть
К
ак было установлено в примере 1, матрица А продуктивна, , и поэтому система
и
меет решение (всегда совместна).
П
осле простых преобразований получаем:
Найдем решение этой системы методом исключения неизвестной. Умножая первое уравнение на 3/2 и складывая со вторым, получим
и далее
x1 = 12.
П
одобным же образом, умножая первое уравнение на
и складывая со вторым, находим значение второй неизвестной. Имеем:
Отсюда
x2 = 8.
Т
аким образом, для того чтобы обеспечить прибавочный продукт
н
еобходимо, чтобы столбец выпуска был равен
Ограничения на ресурсы
Модель Леонтьева отражает те потенциальные возможности, которые заложены в технологии производственного сектора. В этой модели предполагается, что все промежуточные продукты к тому моменту, когда они оказываются необходимыми, уже произведены. Однако в реальной ситуации нужно принимать в расчет наличие таких ограничительных факторов производства, как мощность каждой отрасли (материальные ресурсы) и общее количество рабочей силы в системе (трудовые ресурсы).
П
усть L — общее число рабочих и
- матрица-строка затрат рабочей силы: каждый ее элемент lk> 0 показывает количество рабочих, необходимое для производства единицы k-го продукта.
В
предположении линейности производства произведение
показывает количество рабочей силы, необходимое в сфере производства при режиме работы х.
Я
сно, что оно не может превосходить общего числа рабочих
О
граничения на мощности отраслей можно описать при помощи столбца
превзойти который столбец выпуска не может,
х ≤ m.
При ограниченных ресурсах уже^нельзя ставить вопрос об удовлетворении любого конечного спроса с > О. Тем не менее продуктивная система может обеспечить любую структуру прибавочного продукта, т. е. соотношение между количеством прибавочных продуктов первой и второй отраслей.
ТЕОРЕМА. Пусть дана продуктивная матрица А > О, столбцы с > О и m > О, строка 1 > О я число L > 0. Тогда задача
имеет, и притом ровно одно, решение.
Рассмотрим на конкретном примере, как можно решать такую задачу.
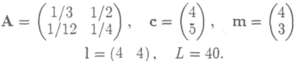
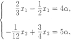
Пример 3. Итак, даны
Начнем с решения системы
или подробнее:
Это можно записать в равносильной форме:
Полученный столбец должен подчиняться условиям
к
оторые в данном случае принимают вид:
Отсюда имеем:
наибольшее значение а. удовлетворяющее всем трем условиям, равно 1/3 (рис. 1).
Ответ: атах = 1/3, столбец выпуска
конечный
Замечание 1. Соотношение между количеством первого и количеством второго прибавочного продукта 4 : 5 -- то же, что и в случае отсутствия каких-либо ограничений на материальные и трудовые ресурсы.
З
амечание 2. При п = 2 соотношения (1) принимают вид:
Решение системы уравнений можно записать так:
г
де b1 и b2 выражаются через элементы матрицы А и столбца с. Отсюда получаем
Полученное равенство на плоскости (x1,x2) описывает прямую, проходящую через начальную точку 0(0,0).
В свою очередь, неравенства (2) можно проиллюстрировать так, как показано на
На рис. 3 представлены все возможные случаи.
Замечание. На рис.2 жирная точка отвечает Qmax.
Прибыльные матрицы
Предположим теперь, что отрасли закупают на внутреннем рынке системы (друг у друга) продукты, которые необходимы им как средства производства.
Пусть pi > 0 — цена единицы г-го продукта. Строка
p = (p1 p2 … pn),
каждый элемент которой является ценой единицы соответствующего продукта, производимого системой, называется строкой цен на продукты или ценовой строкой.
-
матрица материальных затрат системы. Тогда денежные издержки производства единицы k-ro продукта будут равны
Из этих величин и складывается матрица-строка рА издержек производства:
Квадратная матрица А ≥ 0 называется прибыльной, если существует такая строка р>0. что
Э
то означает, что существует хотя бы одна система цен р, при которой цена каждого продукта больше денежных издержек его производства и, следовательно, во всех отраслях обеспечивается положительная прибыль, выражаемая (в расчете на единицу продукции) разностью
Ясно, что возможность получения прибыли неразрывно связана с возможностью получения прибавочного продукта. Более того, условия продуктивности и прибыльности матрицы (материальных затрат) равносильны и всегда справедливо соотношение
о
значающее, что прибыль есть лишь денежное выражение прибавочного продукта, а прибавочный продукт есть материальное выражение прибыли.
Задания и ответы
Сфера производства некоторой экономической системы состоит из двух отраслей. Найти оптимальный режим работы этих отраслей, обеспечивающих структуру прибавочного продукта, заданного столбцом с. при условии, что матрица материальных затрат А и строка рабочей силы 1 имеют следующий вид:
и известно, что мощность первой отрасли не превосходит 24, мощность второй отрасли не превосходит 12, а общее число рабочих L равно 120;
и известно, что мощность первой отрасли не превосходит 8. мощность второй отрасли не превосходит 12, а общее число рабочих L равно 90:
и известно, что мощность первой отрасли не превосходит 20, мощность второй отрасли не превосходит И, а общее число рабочих L равно 72;
и известно, что мощность первой отрасли не превосходит 12. мощность второй отрасли не превосходит 8, а общее число рабочих L равно 96.
















