Методы решения задач условной оптимизации (1006297), страница 2
Текст из файла (страница 2)
Кроме приведенного выше алгоритма для поиска локальных экстремумов, можно также использовать теорему Куна-Такера, которая дает необходимое, но не достаточное условие экстремума функции.
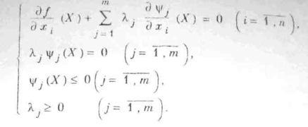
Теорема Куна-Такера. Необходимое условие минимума функции f(X) при ограничениях
имеет вид:
Необходимое условие максимума функции f(X) при
имеет вид: первые два уравнения из предыдущей системы и:
Решая систему уравнений и неравенств, получаем стационарные точки, среди которых могут быть локальные минимумы (максимумы).
3. Метод штрафных функций
Данный метод обладает недостаточно хорошей сходимостью и используется в основном для нахождения первоначального приближения
. Согласно методу штрафных функций задача условной оптимизации функции при ограничениях типа неравенств сводится к задаче безусловной оптимизации вспомогательной функции
- штрафная функция, имеющая вид:
Константы
выбираются положительными при поиске минимума функции (отрицательные при максимуме) и достаточно большими с тем, чтобы штрафная функция быстро возрастала при невыполнении ограничений.
Геометрическая интерпретации метода штрафных функций при n=1 и m=1 приведена на рисунке. Минимум q(x), а значит и f(x) при
, достигается в точке х*.
4. Методы случайного поиска
Для решения задачи условной оптимизации функции при ограничениях типа неравенств используются все методы случайного поиска при решении задач безусловной оптимизации только с некоторым отличием:
1. Метод с возвратом на неудачном шаге
Алгоритм нахождения
и Х(к+1) на каждой итерации к состоит в следующем.
-
Генерируем случайное направление
в n-мерном пространстве, т.е. случайный вектор
, где
- случайная величина с известным законом распределения (для простоты как правило используют равномерное распределение на отрезке [-1;1]. -
Определяем
. Если выполнено условие
,т.е.
, переходим к п.4, иначе полученное Х отбрасывается и переходим к п.1. -
Если
в случае поиска минимума f(X) (или
при максимуме), то переходим к п.1, иначе Х(к+1) =Х -
Конец алгоритма.
2. Метод наилучшей пробы
Алгоритм нахождения
и Х(к+1) на каждой итерации к состоит в следующем.
-
Генерируем s случайных направлений
находим соответствующие им s значений векторов
и s значений f(Xv) функции f(X) в этих точках Xv. -
В случае поиска минимума функции f(X) выберем то
, которое соответствует минимальному значению
среди значений f(Xv), т.е. при
примем
и
; В случае поиска максимума функции f(X) при
примем
и
.
3. Определяем
. Если выполнено условие
,т.е.
, переходим к п.4, иначе полученное Х отбрасывается и переходим к п.1.
4. Если
при поиске минимума f(X) (или
при максимуме), то переходим к п.1, иначе Х(к+1) =Х.
5. Конец алгоритма.
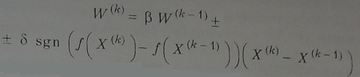
3. Метод с обучением
В отличие от первых двух методов без обучения в данном методе учитывается опыт выбора удачного направления поиска экстремума на двух предыдущих итерациях.
Алгоритм нахождения
и Х(к+1) на каждой итерации к состоит в следующем:
-
Вычисляем , где
- случайный вектор с известной функцией распределения (часто используют равномерное распределение на отрезке от -1 до 1):
- детерминированный вектор, определяемый по формуле
с использованием знака «+» при
в случае поиска максимума функции f(X) и «-» при минимуме f(X);
параметр запоминания;
- параметр обучения,
и
- малые положительные величины, которыми регулируют степень детерминированности и случайности направления
поиска экстремума.
-
Определяем
. Если выполнено условие
,т.е.
, переходим к п.4, иначе полученное Х отбрасывается и переходим к п.1. -
Если
в случае поиска минимума f(X) (или
при максимуме), то переходим к п.1, иначе Х(к+1) =Х -
Конец алгоритма.
Задачи выпуклого программирования и их решение
В частном случае, когда задача нелинейного программирования является задачей выпуклого программирования, ее любой локальный экстремум одновременно будет и глобальным, а зачастую и единственным. Задача выпуклого программирования представляет собой задачу нахождения min f(X) или max f(X) (
)при условии, что f(X) выпуклая функция при поиске ее минимума и вогнутая функция при максимуме, а допустимое множество XD является замкнутым и выпуклым. Множество XD называется выпуклым, если вместе с любыми принадлежащими ему двумя точками, этому множеству принадлежит и соединяющий их.
Функция называется выпуклой на выпуклом множестве XD, если для любых двух точек
и
этого множества и для любого числа
выполнялось соотношение
Функция строго выпукла, если данное неравенство строгое при
. Функция f(X) вогнутая, если функция - f(X)- выпуклая. Пример строго выпуклой функции f(X) при n=1 и при любом х на рисунке (а), строго вогнутой на (б), выпуклой для
и строго выпуклой для
на рисунке (в).
Выпуклая функция на замкнутом и выпуклом множестве XD обладает следующим свойством: ее любой локальный минимум одновременно является и ее глобальным минимумом, а для строго выпуклой функции – и единственным. Любой локальный максимум вогнутой функции на замкнутом и выпуклом множестве XD является одновременно и ее глобальным максимумом, а для строго вогнутой функции – и единственным.
Справедлива теорема. Для того, чтобы непустое множество
было выпукло, достаточно, чтобы все
были выпуклыми функциями. Учитывая данную теорему и задачи выпуклого программирования, получаем два вида задачи:
1)
, при условии, что f(X) и все
- выпуклые функции;
2)
, при условии, что f(X)- вогнутая а все
- выпуклые функции.
Функция строго вогнута, если выполняется условие отрицательной определенности ее матрицы Гессе, и строго выпукла при положительной определенности.
В случае задачи выпуклого программирования необходимое условие экстремума функции в виде теоремы Куна-Такера с приведенной в ней системой уравнений и неравенств является также и достаточным.
10
















