УГФС1 (1001693), страница 4
Текст из файла (страница 4)
Рисунок 12 – Г-образная согласующая цепь
В формуле (146) значения C и L соответствуют емкости и индуктивности соответствующих реактивных элементов согласующей цепи.
-
Расчёт согласующей цепи СЦ2.
Перед расчётом необходимо рассчитать сопротивление R7 цепи смещения транзистора VT3.
Входное сопротивление умножителя вычисляется по формуле:
RВХС=376,875 Ом, RВЫХС=6,358 Ом. Используя формулы (146), вычисляем:
-
Расчёт согласующей цепи СЦ3.
Согласующая цепь СЦ3 включает в себя фильтр-пробку на частоту fП=80 МГц, а также Г-образную цепочку согласования на частоте f=160 МГц. Расчёт фильтра-пробки на выходе удвоителя частоты выполним по формулам:
Перед началом расчётов необходимо задаться емкостью CП. Пусть C14=CП=10 пФ. Произведя расчет по формулам (150) получим:
Расчёт элементов Г-образной цепочки согласования C3-L4 произведем по формулам (146). RВХС=6,41 Ом, RВЫХС=86,358 Ом. Так как RВХС<RВЫХС, средний узел цепочки соединен с базой транзистора VT4, а индуктивность – с коллектором VT3 через CР2. В формулах тогда значения RВХС и RВЫХС меняются местами.
-
Расчёт согласующей цепи СЦ4.
Перед расчётом необходимо рассчитать сопротивление R8 цепи смещения транзистора VT5.
Входное сопротивление умножителя вычисляется по формуле:
RВХС=305,4 Ом, RВЫХС=1,655 Ом. Используя формулы (146), вычисляем:
-
Расчёт согласующей цепи СЦ5.
Согласующая цепь СЦ5 включает в себя фильтр-пробку на частоту fП=160 МГц, а также Г-образную цепочку согласования на частоте f=320 МГц. Расчёт фильтра-пробки на выходе удвоителя частоты выполним по формулам (150). Перед началом расчётов необходимо задаться емкостью CП. Пусть C35=CП=10 пФ. Произведя расчет по формулам (150) получим:
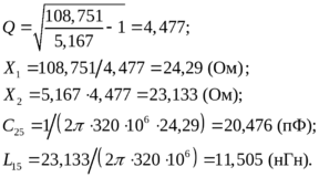
Расчёт элементов Г-образной цепочки согласования C25-L15 произведем по формулам (146). RВХС=108,751 Ом, RВЫХС=5,167 Ом.
-
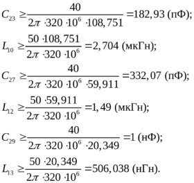
Расчёт согласующей цепи СЦ6.
RВХС=59,911 Ом, RВЫХС=1,963 Ом. Используя формулы (146), вычисляем:
Расчёт номиналов блокирующих реактивностей в цепях питания и разделительных емкостей
Величины разделительной емкости и коллекторной блокировочной индуктивности зависят от частоты сигнала и выходного сопротивления каскада и определяются по формулам:
Тогда, согласно формуле (159), получим:
Емкость C7 можно считать равной емкости C4.
Величина входной блокировочной индуктивности зависит от частоты сигнала и входного сопротивления каскада и определяется по формуле:
Тогда, согласно формуле (161), получим:
Величину коллекторной блокировочной емкости можно определить по формуле
где f – частота, которую необходимо блокировать, RПАР – активное сопротивление между выводами блокировочной ёмкости. Сопротивление RПАР относительно источников напряжения EП1 и EП2 можно вычислить через потребляемые мощности.
где P0ЕП1 – сумма мощностей, потребляемых от источника ЕП1 подключенными к нему каскадами. Аналогично
Произведя вычисления по формулам (164), (165), получаем RЕП1=225/(14,79+1,4+0,6735+0,4275+0,054)=12,972 (Ом), RЕП2=25/(0,046+0,035)=308,642. Мощность, потребляемая оконечным каскадом P01=14,79 Вт. Мощность, потребляемая предоконечным каскадом P02=1,4 Вт. Тогда с учетом модуляции, определим сопротивления каждого из этих каскадов по формуле вида (164). Для оконечного каскада:
Тогда, согласно формуле (163), получаем:
Номиналы блокировочных емкостей C30 и C26 примем равными 330 мкФ. Это обеспечит как хорошую фильтрацию высоких частот, так и частичное ослабление низкочастотных помех.
Расчёт модуляционного трансформатора
Трансформатор Т1 представляет собой трансформатор с одной первичной и одной вторичной обмоткой с промежуточным выводом. Место включения промежуточного вывода определим по формуле:
Коэффициент k определяет виток вторичной обмотки, к которому необходимо подключить вывод. Зададимся длиной вторичной обмотки n2=4800 витков. Тогда промежуточный вывод необходимо подключить к витку r=kn2=3720. Витки отсчитываются от конца обмотки, подключенного к положительному полюсу источника ЕП1. Теперь необходимо определить коэффициент трансформации. Для этого зададимся тем, что максимальная амплитуда входного сигнала модуляции UММАКС равна 1 В. В максимуме модуляции вторичная обмотка должна внести в цепь питания коллектора оконечного каскада напряжение UДОБМАКС=mEП1=0,815=12 В. Коэффициент трансформации d1=UДОБМАКС/UММАКС=12. Трансформатор повышающий. Количество витков первичной обмотки n1 определим по формуле
Коэффициент трансформации части вторичной обмотки, подключенной к коллектору предоконечного каскада, определим по формуле
Итак, требуется трансформатор, удовлетворяющий этим параметрам.
Выбор элементной базы
Так как в согласующих цепях точность номиналов индуктивностей и емкостей имеет большое значение, используются подстроечные емкости, которые перед монтажом устанавливаются на нужную величину емкости, и индуктивности, представляющие собой воздушные катушки провода типа ПЭВ1-0,475 ГОСТ 7262-78. Катушки должны быть изготовлены в соответствии с данными таблицы (Таблица 1) (параметры определяемые таблицей соответствуют размерам, указанным на рисунке (Рисунок 13)). При данных параметрах их индуктивности соответствуют необходимым номинальным значениям. Расчёт производился в программе «Расчёт катушки колебательного контура» авторства Геннадия Марченко, фирма Cyber Tech Group.
Рисунок 13 – Катушка индуктивности согласующих цепей
Таблица 1 – Параметры катушек индуктивности согласующих цепей
| Схемное имя | D, мм | L, мм | Кол-во витков | d, мм |
| L1 | 10 | 24 | 32 | 0,7 |
| L4 | 2 | 6 | 7 | 0,9 |
| L5 | 2 | 12 | 18,1 | 0,7 |
| L6 | 10 | 10 | 8 | 1,3 |
| L14 | 2 | 6 | 6,9 | 0,9 |
| L15 | 2 | 4,8 | 5 | 1 |
| L16 | 2 | 1,7 | 2 | 0,9 |
| L17 | 2 | 13 | 19 | 0,7 |
| L18 | 2 | 5 | 5 | 1 |
Трансформатор Т1 необходимо также предварительно изготовить. В качестве сердечника используем ферритовый тороидальный сердечник МП140-КП-52х36х10 производства ОАО «НИИ «ФЕРРИТ ДОМЕН»» . Для изготовления первичной обмотки (400 витков) используем лакированный провод типа ПЭВ1-0,475 ГОСТ 7262-78. Намотку будем вести на отрезке магнитопровода длиной в 20 мм. Намотка многослойная. Толщина намотки в данном случае составит 7 мм и потребует 28 метров провода (расчёт проводился в программе «Расчёт катушки колебательного контура» авторства Геннадия Марченко, фирма Cyber Tech Group. Для изготовления вторичной обмотки (4800 витков с промежуточным отводом) используем лакированный провод типа ПЭВ1-0,2 ГОСТ 7262-78. Намотку будем вести на отрезке магнитопровода длиной в 20 мм. Намотка многослойная. Толщина намотки в данном случае составит 16,5 мм и потребует 450 метров провода. При монтаже трансформатор нужно закрепить так, чтобы между поверхностью вторичной обмотки и поверхностью платы был зазор не менее 5 мм (для хорошего отвода тепла).
Итак, необходимая элементная база сведена в таблицу (Таблица 2). Схемные имена элементов соответствуют схеме блока МАИР.464100.001Э3, размещенной в приложении.
















