УГФС1 (1001693), страница 3
Текст из файла (страница 3)
Рисунок 7 – Маломощный усилитель
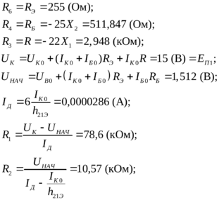
Для расчёта используем формулы, приведенные в [1]. Параметры транзистора даны в приложении (см. Приложение 1). UК0=EП2=5 В, f=160 МГц.
-
Напряженность граничного режима ξгр:
-
Амплитуда напряжения и тока коллектора, эквивалентное сопротивление коллекторной нагрузки и высота импульса коллекторного тока:
Здесь необходимо проверить, не превышает ли величина iКМ величины IКМАКСДОП. Для транзистора ГТ311 IКМАКСДОП=0,05 А. Так как 0,05>0,029, транзистор может работать в данном режиме.
-
Параметры эквивалентной схемы и некоторые параметры для вычислений.
-
С помощью графика, приведенного в [1, стр. 11], получаем коэффициент разложения γ1=0,47. Для него угол отсечки θ=87о, коэффициент формы g1=1,58.
-
Постоянная составляющая коллекторного тока:
-
Амплитуда напряжения возбуждения:
-
Активная и реактивная составляющие входного сопротивления току первой гармоники:
-
Коэффициент усиления по току и по мощности:
-
Мощность, потребляемая от источника питания, мощность возбуждения, мощность рассеяния и электронный КПД:
Расчёт режима маломощного умножителя частоты на транзисторе КТ603А
Принципиальная схема каскада приведена на рисунке 8. Для расчёта используем формулы, приведенные в [2]. Параметры транзистора даны в приложении (см. Приложение 1).
Рисунок 8 – Маломощный умножитель частоты
Поскольку выходная цепь УЧ включает в себя фильтр-пробку [1], её КПД понижен. Примем его равным 0,6. Тогда мощность, отдаваемая в нагрузку, должна составить
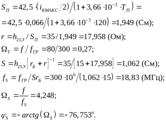
Расчёт ведется для угла отсечки θ=60о. Итак, Pвых2=0,0132 Вт, Uк0=Eк=15 В, f=80 МГц, n=2. Для выбранного угла отсечки α0=0,218, α1=0,391, α2=0,276, γ0=0,109, γ1=0,196, γ2=0,138. g1=1,8, g2=1,27. Расчёт ведется для граничного режима работы. Величина rБ для транзистора КТ603А равна 15 Ом. Величина 2πfГРLЭ равна 2π300106510-9=9,425 Ом. Так как 15>9,425, расчёт ведем без учета индуктивности выводов. Эквивалентная схема умножителя частоты по схеме с ОЭ приведена на рисунке 9.
Рисунок 9 – Эквивалентная схема умножителя частоты по схеме с ОЭ
-
Напряженность граничного режима:
-
Амплитуды напряжения и тока второй гармоники:
-
Сопротивление коллекторной нагрузки
Далее необходимо выполнить некоторую проверку. RКОПТ=1/(2θfГРCКА)=1/(260300106310-12)=6,41 Ом. Так как RК2>RКОПТ, то принимаем величину RK2 равной RKОПТ. При этом транзистор будет работать в недонапряженном режиме.
-
Максимум импульса коллекторного тока:
Для транзистора КТ603А величина IКМАКСДОП=0,6 А. Поскольку 0,6>0,132, транзистор может работать в заданном режиме.
-
Постоянная составляющая коллекторного тока:
-
Параметры эквивалентной схемы и некоторые параметры для вычислений.
-
Амплитуда и фаза первой гармоники коллекторного тока:
-
Амплитуда напряжения возбуждения:
-
Входная проводимость:
-
Мощность возбуждения:
-
Коэффициент усиления по мощности:
-
По таблице [2, стр. 40] определяется параметр cosθН. В нашем случае для полученных ранее параметров γ1 и ΩS получаем cosθН=0,55.
-
Напряжение смещения:
-
Максимальное обратное напряжение на эмиттере:
Для транзистора КТ603А величина UБЭДОП=3 В. Так как |-2,238|<3, транзистор может работать в данном режиме.
-
Мощность, потребляемая от источника питания, мощность рассеяния:
Для транзистора КТ603А величина PРАССДОП=3 Вт. Так как 0,433<3, транзистор может работать в данном режиме.
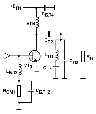
Расчёт режима маломощного усилителя на транзисторе ГТ311 на частоте 80 МГц
Примем КДП согласующей цепи равным 0,7. Тогда усилитель рассчитываем на мощность
Принципиальная схема каскада приведена на рисунке (см. Рисунок 10)
Рисунок 10 – Маломощный усилитель
Для расчёта используем формулы, приведенные в [1]. Параметры транзистора даны в приложении (см. Приложение 1). UК0=EП2=5 В, f=80 МГц.
-
Напряженность граничного режима ξгр:
-
Амплитуда напряжения и тока коллектора, эквивалентное сопротивление коллекторной нагрузки и высота импульса коллекторного тока:
Здесь необходимо проверить, не превышает ли величина iКМ величины IКМАКСДОП. Для транзистора ГТ311 IКМАКСДОП=0,05 А. Так как 0,05>0,024, транзистор может работать в данном режиме.
-
Параметры эквивалентной схемы и некоторые параметры для вычислений.
-
С помощью графика, приведенного в [1, стр. 11], получаем коэффициент разложения γ1=0,27. Для него угол отсечки θ=68о, коэффициент формы g1=1,74.
-
Постоянная составляющая коллекторного тока:
-
Амплитуда напряжения возбуждения:
-
Активная и реактивная составляющие входного сопротивления току первой гармоники:
-
Коэффициент усиления по току и по мощности:
-
Мощность, потребляемая от источника питания, мощность возбуждения, мощность рассеяния и электронный КПД:
Расчёт режима транзистора кварцевого генератора на транзисторе 2Т316А
Принципиальная схема каскада приведена на рисунке (см. Рисунок 11). Расчёт будем вести согласно [3, стр. 65] для автогенератора с КР в цепи положительной обратной связи, работающего на механических гармониках КР на инерционном транзисторе.
Рисунок 11 – Кварцевый автогенератор
Генератор рассчитываем на мощность
Параметры транзистора даны в приложении (см. Приложение 1). UК0=0,8EП2=4 В, f=80 МГц. Выбираем кварцевый резонатор типа РВ-59 на частоту fКВ=80 МГц. Для него rКВ=40 Ом, статическая емкость C0=1,25 пФ, добротность QКВ=125000, допустимая мощность рассеяния PКВДОП=1 мВт.
-
Определяется значение τ0:
-
Согласно рекомендациям раздела, задаем PКВ=0,8 мВт, IКМ=0,012 А, θ=80о, QНЕН =75, ηК=0,4. Для выбранного угла отсечки α0=0,286, α1=0,472, γ0(180-θ)=0,411, γ0(θ)=0,236, γ1=0,39.
-
Аппроксимированные параметры транзистора:
-
Параметры режима работы транзистора:
-
Амплитуда напряжения возбуждения и напряжение смещения на базе:
-
Сопротивление делителя:
-
Мощности, рассеиваемые в сопротивлении rД и в элементах контура и колебательная мощность в цепи коллектора:
-
Мощности, подведенная к транзистору и рассеиваемая на транзисторе:
Для транзистора 2Т316А величина PРАССДОП=0,15 Вт. Так как 0,014<0,15, транзистор может работать в данном режиме.
-
Амплитуда коллекторного напряжения и амплитуда коллекторного напряжения в граничном режиме:
Необходимо проверить существование неравенства 0,8UК1ГР>UK1. В нашем случае неравенство выполняется, что говорит об устойчивой работе транзистора в недонапряженном режиме.
-
Модуль коэффициента обратной связи и резонансное сопротивление контура:
-
Определим коэффициент κ:
-
Сопротивление емкости C2 X2 и плеча контура между коллектором и базой X3:
-
Обобщенная расстройка δ частоты колебаний f=fКВ относительно собственной частоты контура f0 при условии близости f к f0:
-
Собственная частота контура:
-
Сопротивление емкости C1 X1 и индуктивности L3 XL3:
-
Сопротивление емкости C3 XC3:
-
Элементы контура L3, C1, C2, C3:
Для схемы, изображенной на рисунке (см. Рисунок 1), номиналы элементов, соответствующих элементам схемы автогенератора (Рисунок 11) равны:
-
Расчет цепи смещения:
-
Мощность, потребляемая от источника питания, КПД генератора:
Расчёт штыревой антенны на частоту 320 МГц
При расчёте необходимо определиться с длиной антенны. Наиболее оптимальной с точки зрения направленности и КПД антенной является четвертьволновый вибратор [4, стр. 22-29]. Если потерями в металле и диэлектрике можно пренебречь, то входное сопротивление антенны равно сопротивлению излучения RИЗЛ. Для короткой антенны сопротивление излучения равно
где l – длина штыря антенны, λ – длина волны несущей частоты f=320 МГц, RСВ – сопротивление свободного пространства. RCВ=120π. В нашем случае отношение l/λ=¼. Подставляя известные величины в (142), получаем:
Длина антенны в таком случае составит c/2f=3108/(2320106)=0,46875 (м) 47 (см). Волновое сопротивление тракта для удобства согласования его с антенной примем равным 50 Ом. Это удобно тем, что в этом случае согласование с антенной не требуется, и коаксиальные кабели с волновым сопротивлением 50 Ом изготавливаются промышленностью. Согласующую цепь СЦ1 передатчика рассчитываем на выходное сопротивление 50 Ом.
Расчёт согласующих цепей и цепей смещения в умножителях частоты
Расчёт проведём по формулам, приведенным в [1, стр. 14]. Рассчитаем согласующую цепь СЦ1. Исходными данными для расчёта являются активные составляющие выходного сопротивления оконечного каскада RВХС и входного сопротивления тракта RВЫХС. Примем X1=10 Ом.
Номиналы элементов цепи:
Расчёт согласующих цепей СЦ2 – СЦ6 (Рисунок 12) будем проводить по формулам (146). В них RВХС – выходное сопротивление каскада, к которому подключена согласующая цепь, RВЫХС – входное сопротивление следующего за согласующей цепью каскада.
















