Определить как ведет себя метод простой итерации для линейной - Ответ на вопрос по ВМ №6392
-42%
Вопрос
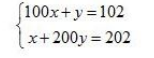
Определить как ведет себя метод простой итерации для линейной системы.
- сходится
- расходится
Ответ

Хочешь зарабатывать на СтудИзбе больше 10к рублей в месяц? Научу бесплатно!
Начать зарабатывать
Начать зарабатывать
zzyxel



















