Ответ на вопрос №6340: Вычислить интеграл с шагом h по формуле центральных прямоугольников -1.8178 -0.4950 0.4950 0.2781 Вычислить интеграл с шагом h по формуле центральных прямоугольников - Ответ на вопрос №6340Вычислить интеграл с шагом h по формуле центральных прямоугольников - Ответ на вопрос №6340
2023-12-252023-12-25СтудИзба
Вычислить интеграл с шагом h по формуле центральных прямоугольников - Ответ на вопрос №6340
-47%
Вопрос
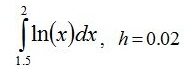
Вычислить интеграл с шагом h по формуле центральных прямоугольников
- -1.8178
- -0.4950
- 0.4950
- 0.2781
Ответ

Хочешь зарабатывать на СтудИзбе больше 10к рублей в месяц? Научу бесплатно!
Начать зарабатывать
Начать зарабатывать
zzyxel





















