Ответ на вопрос №6331: Вычислить интеграл с шагом h по формуле центральных прямоугольников: -1.9734 10.4950 0.9734 0.4950 Вычислить интеграл с шагом h по формуле центральных прямоугольников: - Ответ на вопрос №6331Вычислить интеграл с шагом h по формуле центральных прямоугольников: - Ответ на вопрос №6331
2023-12-252023-12-25СтудИзба
Вычислить интеграл с шагом h по формуле центральных прямоугольников: - Ответ на вопрос №6331
-47%
Вопрос
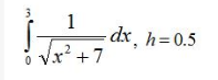
Вычислить интеграл с шагом h по формуле центральных прямоугольников:
- -1.9734
- 10.4950
- 0.9734
- 0.4950
Ответ

Хочешь зарабатывать на СтудИзбе больше 10к рублей в месяц? Научу бесплатно!
Начать зарабатывать
Начать зарабатывать
zzyxel

















